新浪财经

中银消费金融有限公司与天津滨海正信资产管理有限公司债权转让暨催收联合公告

证券时报网

关注

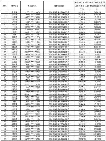
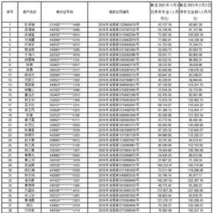
根据中银消费金融有限公司与天津滨海正信资产管理有限公司签订的《个人贷款不良资产批量转让协议》(编号:贷后-ZR202301),中银消费金融有限公司将其对以下公告清单所列借款人的债权(包括但不限于本金、利息、违约金、其他费用等/简称“债权”)转让给天津滨海正信资产管理有限公司,中银消费金融有限公司特公告通知各借款人。

中银消费金融有限公司作为前述债权的出让方,天津滨海正信资产管理有限公司作为上述债权的受让方,现联合公告要求以下公告清单中的借款人,自公告之日起立即向天津滨海正信资产管理有限公司履行相关借款合同约定的偿还义务。

天津滨海正信资产管理有限公司接收还款的银行账户为:户名:天津滨海正信资产管理有限公司,账号:122908457110104007,开户行:招商银行股份有限公司天津十一经路支行。

如有疑问或沟通还款请联系:电话:400-068-9111

特此公告。

中银消费金融有限公司、天津滨海正信资产管理有限公司

2023年 8 月 10 日

注:本公告清单仅列示借款人截至2023年3月2日的欠款余额,借款人实际还款日的应还款金额以借款人与中银消费金融有限公司签订的借款合同的约定为准。

加载中...