新浪财经

烟台中宠食品股份有限公司2023半年度报告摘要

证券时报网

关注

一、重要提示

本半年度报告摘要来自半年度报告全文,为全面了解本公司的经营成果、财务状况及未来发展规划,投资者应当到证监会指定媒体仔细阅读半年度报告全文。

所有董事均已出席了审议本报告的董事会会议。

非标准审计意见提示

□适用 √不适用

董事会审议的报告期普通股利润分配预案或公积金转增股本预案

□适用 √不适用

公司计划不派发现金红利,不送红股,不以公积金转增股本。

董事会决议通过的本报告期优先股利润分配预案

□适用 √不适用

二、公司基本情况

1、公司简介

2、主要财务数据和财务指标

公司是否需追溯调整或重述以前年度会计数据

□是 √否

3、公司股东数量及持股情况

单位:股

4、控股股东或实际控制人变更情况

控股股东报告期内变更

□适用 √不适用

公司报告期控股股东未发生变更。

实际控制人报告期内变更

□适用 √不适用

公司报告期实际控制人未发生变更。

5、公司优先股股东总数及前10名优先股股东持股情况表

□适用 √不适用

公司报告期无优先股股东持股情况。

6、在半年度报告批准报出日存续的债券情况

√适用 □不适用

(1) 债券基本信息

(2) 截至报告期末的财务指标

单位:万元

三、重要事项

证券代码:002891 证券简称:中宠股份 公告编号:2023-056

债券代码:127076 债券简称:中宠转2

本公司及董事会全体成员保证信息披露的内容真实、准确、完整,没有虚假记载、误导性陈述或重大遗漏。

一、董事会会议召开情况

2023年8月3日,烟台中宠食品股份有限公司(以下简称“公司”)第三届董事会第三十二次会议在公司会议室以现场加通讯相结合的方式召开。会议通知已于2023年7月21日通过专人送达、电子邮件等方式送达给董事、监事和高级管理人员,本次会议应参加会议董事9人,实际参加会议董事9人,公司董事长郝忠礼先生主持了本次会议,公司部分监事、高级管理人员列席会议,会议的召开符合《公司法》及《公司章程》的规定。

二、董事会会议审议情况

经与会董事对本次董事会各项议案审议表决,形成如下决议:

1、审议通过《关于公司2023年半年度报告全文及其摘要的议案》。

表决结果:9票赞成,0票反对,无弃权票,一致通过。

《烟台中宠食品股份有限公司2023年半年度报告全文》详见公司指定的信息披露媒体巨潮资讯网(http://www.cninfo.com.cn)。《烟台中宠食品股份有限公司2023年半年度报告摘要》详见公司指定的信息披露媒体《中国证券报》、《上海证券报》、《证券日报》、《证券时报》和巨潮资讯网(http://www.cninfo.com.cn)。

2、审议通过《关于公司2023年半年度募集资金存放与使用情况的专项报告的议案》。

表决结果:9票赞成,0票反对,无弃权票。一致通过。

经审核,董事会认为:公司严格按照《公司法》、《证券法》、《深圳证券交易所上市公司自律监管指引第1号一一主板上市公司规范运作》等规则使用募集资金,并及时、真实、准确、完整履行相关信息披露工作,不存在违规使用募集资金的情形。同意公司2023年半年度募集资金存放与使用情况的专项报告内容。

独立董事对公司募集资金的存放及实际使用情况发表了独立意见,《烟台中宠食品股份有限公司独立董事关于公司第三届董事会第三十二次会议相关事项的独立意见》以及《烟台中宠食品股份有限公司2023年半年度募集资金存放与使用情况的专项报告》详见公司指定的信息披露媒体巨潮资讯网(http://www.cninfo.com.cn)。

3、审议通过《关于公司会计政策变更的议案》。

表决结果:9票赞成,0票反对,无弃权票。一致通过。

董事会认为:本次会计政策变更是公司根据财政部相关文件要求进行的合理变更,执行变更后的会计政策能够客观、公允地反映公司的财务状况和经营成果,不存在损害公司及全体股东利益的情形。

本议案无需提交公司股东大会审议。

独立董事对公司会计政策变更发表了独立意见,《烟台中宠食品股份有限公司独立董事关于公司第三届董事会第三十二次会议相关事项的独立意见》以及《烟台中宠食品股份有限公司关于公司会计政策变更的公告》详见公司指定的信息披露媒体巨潮资讯网(http://www.cninfo.com.cn)。

三、备查文件

1、公司第三届董事会第三十二次会议决议;

2、深圳证券交易所要求的其他文件。

特此公告。

烟台中宠食品股份有限公司

董 事 会

2023年8月4日

证券代码:002891 证券简称:中宠股份 公告编号:2023-057

债券代码:127076 债券简称:中宠转2

烟台中宠食品股份有限公司

关于第三届监事会

第二十四次会议决议的公告

本公司及监事会全体成员保证信息披露的内容真实、准确、完整,没有虚假记载、误导性陈述或重大遗漏。

一、监事会会议召开情况

2023年8月3日,烟台中宠食品股份有限公司(以下简称“公司”)第三届监事会第二十四次会议在公司会议室以现场加通讯相结合的方式召开。会议通知已于2023年7月21日通过专人送达、电子邮件等方式送达全体监事,本次会议应到监事3人,实到监事3人,监事会主席赵雷主持会议。本次会议的召开符合有关法律、法规及《公司章程》的规定,会议合法有效。

二、监事会会议审议通过情况

经与会监事对本次监事会各项议案审议表决,形成如下决议:

1、审议通过了《关于公司2023年半年度报告全文及其摘要的议案》。

表决结果:3票赞成,0票反对,无弃权票。一致通过。

经审核,监事会认为:董事会编制的公司2023年半年度报告及其摘要的程序符合法律、行政法规和中国证监会的规定,报告内容真实、准确、完整地反映了上市公司的实际情况,不存在任何虚假记载、误导性陈述或者重大遗漏。

《烟台中宠食品股份有限公司2023年半年度报告全文》详见公司指定的信息披露媒体巨潮资讯网(http://www.cninfo.com.cn)。《烟台中宠食品股份有限公司2023年半年度报告摘要》详见公司指定的信息披露媒体《中国证券报》、《上海证券报》、《证券日报》、《证券时报》和巨潮资讯网(http://www.cninfo.com.cn)。

2、审议通过了《关于公司2023年半年度募集资金存放与使用情况的专项报告的议案》。

表决结果:3票赞成,0票反对,无弃权票。一致通过。

经审核,监事会认为:公司2023年半年度募集资金的存放与使用情况符合中国证监会、深圳证券交易所关于上市公司募集资金存放与使用的相关规定,不存在募集资金存放与使用违规的情形,报告真实、客观地反映了公司2023年半年度募集资金存放与使用情况。

《烟台中宠食品股份有限公司2023年半年度募集资金存放与使用情况的专项报告》详见公司指定的信息披露媒体巨潮资讯网(http://www.cninfo.com.cn)。

3、审议通过了《关于公司会计政策变更的议案》。

表决结果:3票赞成,0票反对,无弃权票。一致通过。

监事会认为:本次会计政策变更是公司根据财政部发布的相关文件要求进行的合理变更,符合有关法律法规、规范性文件及《公司章程》的规定,不存在损害公司及股东利益的情形。

《烟台中宠食品股份有限公司关于公司会计政策变更的公告》详见公司指定的信息披露媒体巨潮资讯网(http://www.cninfo.com.cn)。

三、备查文件

1、公司第三届监事会第二十四次会议决议;

2、深圳证券交易所要求的其他文件。

特此公告。

烟台中宠食品股份有限公司

监 事 会

2023年8月4日

证券代码:002891 证券简称:中宠股份 公告编号:2023-058

债券代码:127076 债券简称:中宠转2

烟台中宠食品股份有限公司

关于2023年半年度募集资金

存放与使用情况的专项报告

本公司及董事会全体成员保证信息披露的内容真实、准确、完整,没有虚假记载、误导性陈述或重大遗漏。

根据中国证券监督管理委员会发布的《上市公司监管指引第2号一上市公司募集资金管理和使用的监管要求(2022年修订)》和深圳证券交易所颁布的《深圳证券交易所股票上市规则(2023年修订)》、《深圳证券交易所上市公司自律监管指引第1号一一主板上市公司规范运作》等有关规定,烟台中宠食品股份有限公司(以下简称“公司”)董事会编制了2023年半年度募集资金存放与实际使用情况的专项报告。现将相关情况说明如下:

一、募集资金基本情况

1、烟台中宠食品股份有限公司非公开发行股票(2020年募集资金)

经中国证券监督管理委员会以证监许可[2020]1627号文《关于核准烟台中宠食品股份有限公司非公开发行股票的批复》核准,公司本次非公开发行股份17,373,312.00股,每股面值1元,每股发行价格为37.50元,共募集资金651,499,200.00元,宏信证券有限责任公司已将募集的资金扣除承销费和保荐费15,000,000.00元(含增值税)后的净额为人民币636,499,200.00元于2020年9月30日汇入公司账户,具体转入募集资金账户情况如下:

单位:万元

扣除各项发行费用合计人民币17,327,710.67元(不含增值税),公司实际募集资金净额为人民币634,171,489.33元。上述资金到位情况经和信会计师事务所(特殊普通合伙)验证,并出具了和信验字(2020)第000040号《验资报告》。

截至2023年6月30日,本公司累计已使用募集资金62,451.77 万元,2023年使用募集资金3,709.96 万元,募集资金专户结余金额154.36万元。

2、烟台中宠食品股份有限公司公开发行可转换公司债券(2022年募集资金)

经中国证券监督管理委员会“证监许可[2022]2063 号”文核准,公司于2022年10月 25日公开发行了7,690,459.00张可转换公司债券,每张面值100.00元,总募集资金769,045,900.00元。扣除承销及保荐费用人民币12,000,000.00元(含税金额)后,实际收到人民币757,045,900.00元。本次可转换公司债券主承销商联储证券有限责任公司已于2022年10月31日将人民币757,045,900.00元缴存于中宠公司的中信银行股份有限公司烟台莱山支行8110601011901525819账户内。本次发行过程中,发行人应支付承销保荐费、律师费、审计验资费、资信评级费、信息披露及发行手续费等其他费用合计人民币14,973,452.30元(含增值税),发行费用不含增值税金额为人民币14,125,898.38元(不含税),扣除不含税发行费用实际募集资金净额为人民币754,920,001.62元。上述资金到位情况业经和信会计师事务所(特殊普通合伙)验证,并出具了和信验字(2022)第000056号《验资报告》。

由于2022年中国证券登记结算有限责任公司免征证券登记费,故对扣除不含税发行费用实际募集资金净额进行调整,经调整后公司最终扣除不含税发行费用实际募集资金净额为人民币754,956,277.37元。

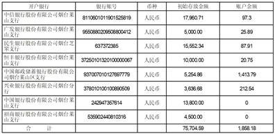
截至2023年6月30日,本公司累计已使用募集资金24,387.75万元,2023年使用募集资金1,841.6万元,募集资金专户结余金额1,858.18万元。

二、募集资金存放和管理情况

(一)募集资金监管情况

1、2020年非公开发行股票募集资金项目

为了规范募集资金的管理和使用,保护投资者权益,根据《中华人民共和国证券法》、《深圳证券交易所上市公司规范运作指引》等规定以及公司《募集资金管理办法》的相关规定,公司于2020年9月14日召开的第二届董事会第三十七次会议批准,审议通过了《关于开立募集资金专户的议案》,将分别在中国银行股份有限公司烟台莱山支行、中国光大银行股份有限公司烟台莱山支行、中国民生银行股份有限公司青岛分行、中信银行烟台莱山支行、中国建设银行股份有限公司烟台莱山支行、中国银行(新西兰)有限公司(以下简称“开户行”)开设的银行账户设立为募集资金专项账户,专户仅用于公司募集资金的存储和使用,不得用作其他用途。2020年10月20日和2020年10月21日公司连同宏信证券有限责任公司与国内开户行签订了《募集资金三方监管协议》。三方监管协议与深圳证券交易所三方监管协议范本不存在重大差异,三方监管协议的履行不存在问题。

为了便于以公司全资子公司 The Natural Pet Treat Company Limited(中文名称“新西兰天然宠物食品有限公司”)为实施主体的募投项目“年产2万吨宠物湿粮新西兰项目”的顺利实施,保证项目建设过程中对募集资金的规范管理和高效使用,公司在募投项目实施地开设了募集资金专户,并于2020年10月29日签署了《募集资金四方监管协议》。四方监管协议与深圳证券交易所四方监管协议范本不存在重大差异,四方监管协议的履行不存在问题。

公司于2022年4月21日召开2021年年度股东大会,审议通过了公司公开发行可转换公司债券的相关议案。根据《证券发行上市保荐业务管理办法》相关规定,公司终止与宏信证券有限责任公司的保荐协议,聘请联储证券有限责任公司承接宏信证券有限责任公司尚未完成的持续督导工作。并与2022年6月22日与中国民生银行股份有限公司烟台芝罘支行、中国银行股份有限公司烟台莱山支行、中国银行(新西兰)有限公司、联储证券有限责任公司重新签订了《募集资金三方监管协议》、《募集资金四方监管协议》。

2、2022年公开发行可转换公司债券

为规范公司本次发行的募集资金管理及使用,保护投资者的权益,根据中国证券监督管理委员会《上市公司监管指引第2号一一上市公司募集资金管理和使用的监管要求》、《深圳证券交易所股票上市规则(2023年修订)》等有关法律法规,经公司第三届董事会第二十一次会议批准,同意授权财务部门办理开设募集资金专用账户的相关事宜。公司分别在中信银行股份有限公司烟台莱山支行、广发银行股份有限公司烟台莱山支行、中国民生银行股份有限公司烟台芝罘支行、恒丰银行股份有限公司烟台莱山支行、中国邮政储蓄银行股份有限公司烟台莱山区支行、兴业银行股份有限公司烟台分行、中国银行股份有限公司烟台莱山支行、招商银行股份有限公司烟台莱山支行开立募集资金专项账户,专户仅用于公司募集资金的存储和使用。公司于2022年11月11日会同保荐机构联储证券有限责任公司以及开设募集资金专项账户的商业银行签署了《募集资金三方监管协议》。

(二)募集资金具体存放情况

1、2020年公司非公开发行股票募集资金

截至2023年6月30日,募集资金专户余额如下:

单位:万元

注1:中信银行股份有限公司烟台莱山支行(账号8110601012701187440)账户于2021年12月20日注销;中国建设银行股份有限公司烟台莱山支行(账号37050166746000001529)账户于2022年1月17日注销;中国光大银行股份有限公司烟台莱山支行(账号38110188000207666)账户于2022年4月15日注销;中国银行股份有限公司烟台莱山支行(账号219542589137)账户于2023年4月25日注销;中国银行(新西兰)有限公司(账号88-8800-0022570-01

,账号100002300085488)账户于2023年4月24日注销。

2、2022年公司公开发行可转换公司债券

截至2023年6月30日,募集资金专户余额如下:

单位:万元

三、本年度募集资金的实际使用情况

1、2020年非公开发行股票募集资金

募集资金使用情况对照表详见本报告附件一、附件二

2、2022年公司公开发行可转换公司债券

募集资金使用情况对照表详见本报告附件三

四、变更募集资金投资项目的资金使用情况

公司于2022年2月28日召开2022 年第一次临时股东大会,审议通过了《关于调整募集资金投资项目并将剩余募集资金永久补充流动资金议案》。公司结合实际经营和业务发展需要,为提高募集资金使用效率,同意将营销中心建设及营销渠道智能化升级项目剩余募集资金用于永久补充流动资金,后期将主要用于后续自主品牌的宣传推广费用。

2023年度,公司不存在其他变更募集资金投资项目的资金的使用情况。

五、募集资金使用及披露中存在的问题

公司已披露的募集资金使用相关信息不存在未及时、真实、准确、完整披露的情况;募集资金存放、使用、管理及披露不存在违规情形。

烟台中宠食品股份有限公司

董事会

2023年8月4日

附件一

非公开发行股票募集资金使用情况对照表

截止2023年6月30日

编制单位:烟台中宠食品股份有限公司

单位:万元

附件二

非公开发行股票变更募集资金投资项目情况表

截止2023年6月30日

编制单位:烟台中宠食品股份有限公司

单位:万元

注:“本年度实现的效益”的计算口径、计算方法应与承诺效益的计算口径、计算方法一致。

附件三

公开发行可转换公司债券使用情况对照表

截止2023年6月30日

编制单位:烟台中宠食品股份有限公司

单位:万元

证券代码:002891 证券简称:中宠股份 公告编号:2023-061

债券代码:127076 债券简称:中宠转2

烟台中宠食品股份有限公司

关于公司会计政策变更的公告

本公司及监事会全体成员保证信息披露的内容真实、准确、完整,没有虚假记载、误导性陈述或重大遗漏。

特别提示:

烟台中宠食品股份有限公司(以下简称“公司”)本次会计政策变更系根据中华人民共和国财政部(以下简称“财政部”)颁布的《企业会计准则解释第16号》(财会〔2022〕31号)的要求变更会计政策。

本次会计政策变更系根据财政部颁布的相关企业会计准则解释而进行的相应变更,变更后能够更客观、公允地反映公司的财务状况和经营成果,不会对公司营业收入、净利润和净资产产生重大影响,亦不存在损害公司及股东利益的情况。

公司于2023年8月3日召开了第三届董事会第三十二次会议和第三届监事会第二十四次会议审议通过了《关于公司会计政策变更的议案》。根据《深圳证券交易所股票上市规则(2023年修订)》等的相关规定,本次会计政策变更事项无需提交公司股东大会审议,具体情况如下

一、会计政策变更概述

1.会计政策变更原因及日期

2022年11月30日,财政部颁布了《企业会计准则解释第16号》,规定的“关于单项交易产生的资产和负债相关的递延所得税不适用初始确认豁免的会计处理”内容自2023年1月1日起施行。

2.变更前采用的会计政策

本次会计政策变更前,公司执行财政部颁布的《企业会计准则一一基本准则》和各项具体会计准则、企业会计准则应用指南、企业会计准则解释公告以及其他相关规定。

3.变更后采用的会计政策

本次会计政策变更后,公司将按照财政部颁布的《企业会计准则解释第16号》执行。除上述变更外,其余未变更部分仍执行财政部前期颁布的《企业会计准则一基本准则》和各项具体会计准则、企业会计准则应用指南、企业会计准则解释公告以及其他相关规定执行。

二、本次会计政策变更的主要内容

执行《企业会计准则解释第16号》关于单项交易产生的资产和负债相关的递延所得税不适用初始确认豁免的会计处理:对于不是企业合并、交易发生时既不影响会计利润也不影响应纳税所得额(或可抵扣亏损)、且初始确认的资产和负债导致产生等额应纳税暂时性差异和可抵扣暂时性差异的单项交易(包括承租人在租赁期开始日初始确认租赁负债并计入使用权资产的租赁交易,以及因固定资产等存在弃置义务而确认预计负债并计入相关资产成本的交易等),不适用《企业会计准则第18号一一所得税》第十一条(二)、第十三条关于豁免初始确认递延所得税负债和递延所得税资产的规定。企业对该交易因资产和负债的初始确认所产生的应纳税暂时性差异和可抵扣暂时性差异,应当根据《企业会计准则第18号一一所得税》等有关规定,在交易发生时分别确认相应的递延所得税负债和递延所得税资产。

三、会计政策变更对公司的影响

本次会计政策变更系根据财政部发布的相关企业会计准则解释而进行的相应变更,符合相关法律法规的规定,变更后能够更客观、公允地反映公司的财务状况和经营成果,不会对公司营业收入、净利润和净资产产生重大影响,亦不存在损害公司及股东利益的情况。

四、本次会计政策变更已履行的审议程序

(一)董事会意见

2023年8月3日,公司召开第三届董事会第三十二次会议审议通过了《关于公司会计政策变更的议案》。董事会认为:本次会计政策变更是公司根据财政部相关文件要求进行的合理变更,执行变更后的会计政策能够客观、公允地反映公司的财务状况和经营成果,不存在损害公司及全体股东利益的情形,因此,董事会同意本次会计政策变更。本议案无需提交公司股东大会审议。

(二)监事会意见

2023年8月3日,公司召开第三届监事会第二十四次会议审议通过了《关于公司会计政策变更的议案》。监事会认为:本次会计政策变更是公司根据财政部发布的相关文件要求进行的合理变更,符合有关法律法规、规范性文件及《公司章程》的规定,不存在损害公司及股东利益的情形。因此,监事会同意公司本次会计政策变更。

(三)独立董事意见

独立董事认为:本次会计政策变更是公司根据财政部发布的相关文件要求进行的合理变更,符合相关法律法规的要求及公司的实际情况。变更后能够更客观、公允地反映公司的财务状况和经营成果,不会对公司财务状况、经营成果和现金流量产生重大影响,亦不存在损害公司及股东利益的情况。本次会计政策变更的决策程序符合有关法律法规、规范性文件及《公司章程》的规定,亦不存在损害公司及股东利益的情况。因此,公司全体独立董事同意公司本次会计政策变更。

五、备查文件

1、公司第三届董事会第三十二次会议决议;

2、公司第三届监事会第二十四次会议决议;

3、深圳证券交易所要求的其他文件。

特此公告。

烟台中宠食品股份有限公司

董 事 会

2023年8月4日

加载中...