新浪财经

康达新材料(集团)股份有限公司关于召开2023年第四次临时股东大会通知的公告

证券时报网

关注

本公司及董事会全体成员保证信息披露内容的真实、准确和完整,没有虚假记载、误导性陈述或重大遗漏。

康达新材料(集团)股份有限公司(以下简称“公司”)第五届董事会第二十四次会议于2023年7月19日召开,董事会决议于2023年8月4日以现场投票表决和网络投票相结合的方式召开公司2023年第四次临时股东大会,现将本次股东大会的有关事项公告如下:

一、召开会议的基本情况

1、股东大会届次:2023年第四次临时股东大会;

2、会议召集人:公司第五届董事会(《关于提请召开2023年第四次临时股东大会的议案》已经公司第五届董事会第二十四次会议审议通过);

3、会议召开的合法、合规性:本次股东大会会议的召开符合《公司法》、《深圳证券交易所股票上市规则》、《深圳证券交易所上市公司自律监管指引第1号一主板上市公司规范运作》等有关法律、法规、规范性文件及《公司章程》的规定。

4、会议召开的日期和时间:

(1)现场会议召开时间:2023年8月4日(星期五)下午14:30

(2)网络投票时间:本公司同时提供深圳证券交易所交易系统和互联网投票系统供股东进行网络投票。

通过深圳证券交易所交易系统进行网络投票的时间为:2023年8月4日上午9:15-9:25,9:30-11:30,下午13:00-15:00;

通过深圳证券交易所互联网投票系统(http://wltp.cninfo.com.cn)进行网络投票的时间为:2023年8月4日9:15-15:00期间的任意时间。

5、会议召开方式:现场投票与网络投票相结合的方式

(1)现场投票:股东本人出席现场会议或授权委托代理人出席现场会议进行表决。

(2)网络投票:本次股东大会将通过深圳证券交易所交易系统和互联网投票系统(http://wltp.cninfo.com.cn)向全体股东提供网络形式的投票平台,股东可以在网络投票时间内通过上述系统行使表决权。

股东只能选择现场投票或网络投票中的一种表决方式,如同一表决权出现重复投票表决的,以第一次有效投票表决结果为准。网络投票包含深圳证券交易所交易系统和互联网投票系统两种投票方式,同一表决权只能选择其中一种方式,如重复投票,以第一次有效投票为准。

6、现场会议地点:上海市浦东新区五星路707弄御河企业公馆A区3号楼公司会议室。

7、股权登记日:2023年7月31日

8、出席本次会议对象

(1)截止本次会议股权登记日收市时在中国证券登记结算有限公司深圳分公司登记在册的本公司全体股东有权出席本次会议;

(2)有权出席和表决的股东可以以书面形式委托代理人出席会议和表决,该委托代理人不必是本公司股东(授权委托书请见附件2);

(3)本公司董事、监事和高级管理人员;

(4)本公司聘请的见证律师及董事会邀请的其他嘉宾。

二、会议审议事项

1、审议事项:

本次股东大会提案编码示例表

2、上述议案已经公司第五届董事会第二十四次会议审议通过,议案内容详见2023年7月20日刊登在公司指定信息披露媒体《中国证券报》、《上海证券报》、《证券时报》、《证券日报》和巨潮资讯网上的相关公告。

3、以上议案属于影响中小投资者利益的重大事项,需对中小投资者的表决单独计票并披露。中小投资者指除单独或合计持有上市公司5%以上股份的股东、公司董事、监事、高级管理人员以外的其他股东。

4、议案2为特别决议事项,需经出席股东大会的股东(包括股东代理人)所持表决权的2/3以上通过。

三、会议登记方法

1、登记时间:2023年8月3日9:00一16:00。

2、登记方式:

(1)法人股东登记:法人股东的法定代表人出席的,须持有加盖公司公章的营业执照复印件、法人代表证明书、股东账户卡和本人身份证办理登记手续;委托代理人出席的,还须持有授权委托书和出席人身份证。

(2)自然人股东登记:自然人股东出席的,须持有股东账户卡及本人身份证办理登记手续;委托代理人出席的,还须持有授权委托书和出席人身份证。

(3)出席本次会议人员应向大会登记处出示前述规定的授权委托书、本人身份证原件,并向大会登记处提交前述规定凭证的复印件。异地股东可用信函或传真方式登记,信函或传真应包含上述内容的文件资料(信函或传真方式以2023年8月3日16:00前送达或传真至登记地点为准)。

3、登记地点:上海市浦东新区五星路707弄御河企业公馆A区3号楼

邮编:201204

联系电话:021-50779159

指定传真:021-50770183

联系人:沈一涛、高梦影

四、参加网络投票的具体操作流程

本次股东大会股东可以通过深交所交易系统和互联网投票系统(地址为http://wltp.cninfo.com.cn)参加投票,网络投票的具体操作流程详见附件1。

五、其他事项

1、本次会议为期半天,与会股东食宿费、交通费自理;

2、请各位股东协助工作人员做好登记工作,并准时参会。

3、会议咨询:上海市浦东新区五星路707弄御河企业公馆A区3号楼

联系电话:021-50779159

联系人:沈一涛、高梦影

六、备查文件

1、公司第五届董事会第二十四次会议决议。

特此公告。

康达新材料(集团)股份有限公司董事会

二〇二三年七月二十日

附件1

参加网络投票的具体操作流程

一、网络投票的程序

1.投票代码:362669

2.投票简称:“康达投票”

3.议案设置及表决意见

本次股东大会审议议案均为非累积投票提案,填报表决意见:同意、反对、弃权。

4.股东对总议案进行投票,视为对除累积投票提案外的其他所有提案表达相同意见。

股东对总议案与具体提案重复投票时,以第一次有效投票为准。如股东先对具体提案投票表决,再对总议案投票表决,则以已投票表决的具体提案的表决意见为准,其他未表决的提案以总议案的表决意见为准;如先对总议案投票表决,再对具体提案投票表决,则以总议案的表决意见为准。

二、通过深交所交易系统投票的程序

1.投票时间:2023年8月4日的交易时间,即9:15-9:25,9:30-11:30和13:00-15:00。

2.股东可以登录证券公司交易客户端通过交易系统投票。

三、通过深交所互联网投票系统的投票程序

1.互联网投票系统投票的时间为2023年8月4日9:15-15:00。

2.股东通过互联网投票系统进行网络投票,需按照《深圳证券交易所投资者网络服务身份认证业务指引》的规定办理身份认证,取得“深交所数字证书”或“深交所投资者服务密码”。具体的身份认证流程可登录互联网投票系统http://wltp.cninfo.com.cn规则指引栏目查阅。

3.股东根据获取的服务密码或数字证书,可登录http://wltp.cninfo.com.cn在规定时间内通过深交所互联网投票系统进行投票。

附件2

授权委托书

本人(本单位)____________作为康达新材料(集团)股份有限公司的股东,兹委托_______先生/女士代表出席康达新材料(集团)股份有限公司2023年第四次临时股东大会,受托人有权依照本授权委托书的指示对该次会议审议的各项议案进行投票表决,并代为签署本次会议需要签署的相关文件。本人(或本单位)对该次会议审议的各项议案的表决意见如下:

委托人股东账号:______________________持股数:_______(股)

委托人身份证号码(法人股东营业执照注册号码):_________________

被委托人姓名:________________ 被委托人身份证号码:___________________

(说明:请在“表决意见”栏目填写票数或在“同意”或“反对”,或“弃权”空格内填上√号。投票人只能表明“同意”、“反对”或“弃权”一种意见,涂改、填写其他符号,多选或不选的表决票无效,按弃权处理。)

委托人签名(法人股东加盖公章):

委托日期: 年 月 日

证券代码:002669 证券简称:康达新材 公告编号:2023-077

康达新材料(集团)股份有限公司

关于收购上海晶材新材料科技

有限公司股权的公告

本公司及董事会全体成员保证信息披露内容的真实、准确和完整,没有虚假 记载、误导性陈述或重大遗漏。

特别提示:

本次交易事项存在业绩承诺无法实现、商誉减值、资金和管理等风险,具体内容详见本公告“七、本次交易的背景及目的、对公司的影响和风险提示”,敬请广大投资者注意投资风险。

一、交易概述

1、交易的基本情况

康达新材料(集团)股份有限公司(以下简称“公司”、“上市公司”或“康达新材”)根据自身战略布局,顺应国家大力支持先进材料行业的发展趋势,积极进军进口替代、填补国内空白的新材料产业。公司拟以全资子公司北京康达晟璟科技有限公司(以下简称 “康达晟璟”)使用自有或自筹资金收购上海晶材新材料科技有限公司(下称“晶材科技”或“标的公司”)100%股权。

康达晟璟拟与重庆致典晶科科技合伙企业(有限合伙)(以下简称“致典晶科”)、重庆蓝洛瓷晶科技合伙企业(有限合伙)(以下简称“蓝洛瓷晶”)、上海御遥企业管理合伙企业(有限合伙)(以下简称“上海御遥”)、上海量子绘景电子股份有限公司(以下简称“量子绘景”)、上海卡翱企业管理合伙企业(普通合伙)(以下简称“上海卡翱”)、上海晶敖科技合伙企业(有限合伙)(以下简称“上海晶敖”)及晶材科技签署《关于上海晶材新材料科技有限公司之股权转让协议》。

康达晟璟拟使用自有或自筹资金分两次收购标的公司100%的股权,第一次使用38,860万元收购标的公司67%的股权(对应标的公司注册资本2,010万元);第二次在标的公司完成其他约定的条件后,康达晟璟拟使用22,968万元收购标的公司剩余33%的股权(对应标的公司注册资本990万元),第二次收购对价的最终确切数据将由康达晟璟结合其对标的公司业务、财务及法律等方面的尽职调查情况而在签署第二次交易文件时予以确定。第一次收购完成后,晶材科技将纳入公司合并报表范围。

2、审议情况

公司于2023年7月19日召开的第五届董事会第二十四次会议审议通过了《关于全资子公司收购上海晶材新材料科技有限公司股权的议案》,同意子公司康达晟璟收购晶材科技100%的股权。董事会提请股东大会授权公司管理层签署收购过程中的相关文件。该事项尚须公司2023年第四次临时股东大会审议通过后方可生效。

3、根据《深圳证券交易所股票上市规则》、《公司章程》等相关规定, 本事项已经公司第五届董事会第二十四次会议审议通过,尚需提交公司股东大会批准。本次交易不构成关联交易,也不构成《上市公司重大资产重组管理办法》规定的重大资产重组,也不构成重组上市,无需经过有关部门批准。

二、标的公司的基本情况

1、公司名称:上海晶材新材料科技有限公司;

2、公司类型:有限责任公司(自然人投资或控股);

3、法定代表人:汪九山;

4、营业期限:2016-05-10至2046-05-09;

5、注册资本:3,000万元人民币;

6、统一社会信用代码:91310114MA1GTBKY76;

7、注册地址:上海市闵行区中春路1288号6幢302、402室;

8、公司经营范围:从事新材料技术、电子技术、生物技术领域内的技术开发、技术转让、技术服务、技术咨询,电子元器件、化工原料及产品(除危险化学品、监控化学品、烟花爆竹、民用爆炸物品、易制毒化学品)的销售,从事货物进出口及技术进出口业务,电子浆料、粉体、膜带的生产及销售。【依法须经批准的项目,经相关部门批准后方可开展经营活动】

9、本次交易前股权结构

注:有优先受让权的其他股东已放弃优先受让权。

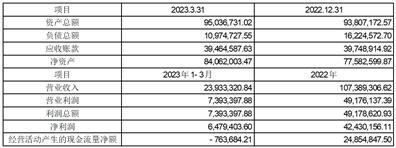
10、最近一年及一期的财务数据

单位:元

注:上述财务数据已经具有从事证券、期货业务资格的中兴财光华会计师事务所(特殊普通合伙)审计,并出具(中兴财光华审会字(2023)第202189号《上海晶材新材料科技有限公司审计报告》。

11、交易标的权属状况

本次交易标的股权不存在抵押、质押,也不存在重大争议、诉讼或仲裁事项、查封、冻结等司法措施等情况。本次收购资产交易中不涉及债权债务转移。

12、标的公司章程或其他文件中不存在法律法规之外其他限制股东权利的条款,亦不存在为他人提供担保、财务资助等情况。

13、标的公司与其控股股东无经营性往来。本次交易完成后,不存在以经营性资金变相为其控股股东提供财务资助的情况。

14、经查询,晶材科技不存在被列为失信被执行人的情况。

15、历史沿革

上海晶材新材料科技有限公司于2016年7月14日设立,注册资本3,000万元,实收资本3,000万元。初始设立股东及股权比例如下:

股东名称、出资额和出资比例

2022年7月20日,上海量子绘景电子股份有限公司决定将其所持上海晶材新材料科技有限公司的35%股权转让给睢宁致典晶科科技合伙企业(有限合伙),上海卡翱企业管理合伙企业(普通合伙)决定将其所持上海晶材新材料科技有限公司的26%股权分别转让给睢宁蓝洛瓷晶科技合伙企业(有限合伙)和上海晶敖科技合伙企业(有限合伙)。变更后的股权结构如下:

股东名称、出资额和出资比例

此次变更完成后,截至评估基准日被评估单位股东及股权结构无变动。

三、交易对方基本情况

(一)重庆致典晶科科技合伙企业(有限合伙)【原名称:睢宁致典晶科科技合伙企业(有限合伙)】

1、公司名称:重庆致典晶科科技合伙企业(有限合伙);

2、公司类型:有限合伙企业;

3、法定代表人:顾永新;

4、营业期限:2021-08-30至无固定期限;

5、注册资本:100万元人民币;

6、统一社会信用代码:91320324MA26YB5U93;

7、注册地址:重庆市彭水苗族土家族自治县保家镇鹿山社区一组彭水工业园区科技孵化楼B区6-511室;

8、公司经营范围:技术服务、技术开发、技术咨询、技术交流、技术转让、技术推广;新材料技术研发;新材料技术推广服务;企业管理咨询(除依法须经批准的项目外,凭营业执照依法自主开展经营活动)

9、股权结构:

10、实际控制人:顾永新。

11、致典晶科与上市公司及上市公司前十名股东不存在产权、业务、资产、债权债务、人员等方面的关系以及其他可能或已经造成上市公司对其利益倾斜的其他关系。

12、经查询,致典晶科不存在被列为失信被执行人的情况。

(二)重庆蓝洛瓷晶科技合伙企业(有限合伙)【原名称:睢宁蓝洛瓷晶科技合伙企业(有限合伙)】

1、公司名称:重庆蓝洛瓷晶科技合伙企业(有限合伙);

2、公司类型:有限合伙企业;

3、法定代表人:汪九山;

4、营业期限:2021-08-30至无固定期限;

5、注册资本:100万元人民币;

6、统一社会信用代码:91320324MA26YBBB1U;

7、注册地址:重庆市彭水苗族土家族自治县保家镇鹿山社区一组彭水工业园区科技孵化楼B区6-512室;;

8、公司经营范围:技术服务、技术开发、技术咨询、技术交流、技术转让、技术推广;新材料技术研发;新材料技术推广服务;企业管理咨询(除依法须经批准的项目外,凭营业执照依法自主开展经营活动)

9、股权结构:

10、实际控制人:汪九山。

11、蓝洛瓷晶与上市公司及上市公司前十名股东不存在产权、业务、资产、债权债务、人员等方面的关系以及其他可能或已经造成上市公司对其利益倾斜的其他关系。

12、经查询,蓝洛瓷晶不存在被列为失信被执行人的情况。

(三)上海御遥企业管理合伙企业(有限合伙)

1、公司名称:上海御遥企业管理合伙企业(有限合伙);

2、公司类型:有限合伙企业;

3、法定代表人:于晓雷;

4、营业期限:2016-01-25至2046-01-24;

5、注册资本:150万元人民币;

6、统一社会信用代码:91310120MA1HKELD1F;

7、注册地址:上海市闵行区中春路988号11幢2楼;

8、公司经营范围:企业管理,电子材料、纺织原料、一般劳防用品、仪器仪表、办公设备、办公用品、印刷材料、电气成套设备及配件、五金交电及配件、机械设备、机电设备、电机设备、家用电器、实验室仪器设备、汽车配件、五金冲压件、高分子材料、电线电缆、金属材料、金属制品、水性涂料(除油漆)、陶瓷制品、化工原料及产品(除危险化学品、监控化学品、民用爆炸物品、易制毒化学品)、电子元器件的批发、零售,金属制品加工(限分支机构经营),从事电子科技、生物科技领域内的技术开发、技术转让、技术服务、技术咨询,从事货物进出口及技术进出口业务。【依法须经批准的项目,经相关部门批准后方可开展经营活动】

9、股权结构:

10、实际控制人:于晓雷。

11、上海御遥与上市公司及上市公司前十名股东不存在产权、业务、资产、债权债务、人员等方面的关系以及其他可能或已经造成上市公司对其利益倾斜的其他关系。

12、经查询,上海御遥不存在被列为失信被执行人的情况。

(四)上海量子绘景电子股份有限公司

1、公司名称:上海量子绘景电子股份有限公司;

2、公司类型:股份有限公司(非上市、自然人投资或控股);

3、法定代表人:许军;

4、营业期限:2015-11-27至2045-11-26;

5、注册资本:13,000万元人民币;

6、统一社会信用代码:91310000MA1FL0QL40;

7、注册地址:上海市嘉定区外冈镇汇富路946号3幢2层A区室;

8、公司经营范围:从事线路板的生产,线路板、显示器材、微连接类电子产品的研发和相关电子材料专业技术领域内的技术开发、技术转让、技术咨询、技术服务,从事货物及技术的进出口业务。【依法须经批准的项目,经相关部门批准后方可开展经营活动】

9、股权结构:

10、实际控制人:许军;

11、量子绘景与上市公司及上市公司前十名股东不存在产权、业务、资产、债权债务、人员等方面的关系以及其他可能或已经造成上市公司对其利益倾斜的其他关系。

12、经查询,量子绘景不存在被列为失信被执行人的情况。

(五)上海卡翱企业管理合伙企业(普通合伙)

1、公司名称:上海卡翱企业管理合伙企业(普通合伙);

2、公司类型:普通合伙企业;

3、法定代表人:兰开东;

4、营业期限:2015-12-16至2045-12-15;

5、注册资本:200万元人民币;

6、统一社会信用代码:91310120MA1HK9H222;

7、注册地址:上海市闵行区中春路988号11幢2楼;

8、公司经营范围:许可项目:货物进出口;技术进出口。(依法须经批准的项目,经相关部门批准后方可开展经营活动,具体经营项目以相关部门批准文件或许可证件为准)一般项目:企业管理;电子专用材料销售;仪器仪表销售;电气设备销售;机械设备销售;合成材料销售;化工产品销售(不含许可类化工产品);电子元器件零售;技术服务、技术开发、技术咨询、技术交流、技术转让、技术推广。(除依法须经批准的项目外,凭营业执照依法自主开展经营活动)

9、股权结构:

10、实际控制人:兰开东;

11、上海卡翱与上市公司及上市公司前十名股东不存在产权、业务、资产、债权债务、人员等方面的关系以及其他可能或已经造成上市公司对其利益倾斜的其他关系。

12、经查询,上海卡翱不存在被列为失信被执行人的情况。

(六)上海晶敖科技合伙企业(有限合伙)

1、公司名称:上海晶敖科技合伙企业(有限合伙);

2、公司类型:有限合伙企业;

3、法定代表人:兰开东;

4、营业期限:2022-01-05至无固定期限;

5、注册资本:60万元人民币;

6、统一社会信用代码:91310112MA7GAM9KXT;

7、注册地址:上海市闵行区中春路988号11幢2楼;

8、公司经营范围:一般项目:技术服务、技术开发、技术咨询、技术交流、技术转让、技术推广;企业管理(除依法须经批准的项目外,凭营业执照依法自主开展经营活动)

9、股权结构:

10、实际控制人:兰开东。

11、上海晶敖与上市公司及上市公司前十名股东不存在产权、业务、资产、债权债务、人员等方面的关系以及其他可能或已经造成上市公司对其利益倾斜的其他关系。

12、经查询,上海晶敖不存在被列为失信被执行人的情况。

四、标的公司评估情况及定价依据

(一)受公司委托,具有从事证券、期货业务资格的中联资产评估集团(浙江)有限公司(以下简称“中联评估”)对上海晶材新材料科技有限公司股东全部权益在评估基准日的市场价值进行了评估,出具了《康达新材料(集团)股份有限公司拟现金收购上海晶材新材料科技有限公司部分股权评估项目资产评估报告》(浙联评报字[2023]第274号),评估报告全文内容详见同日刊登于巨潮资讯网的相关文件。

(二)评估基准日:2023年3月31日。

(三)评估方法:资产基础法和收益法

(四)评估结论:

根据国家有关资产评估的法律、法规、规章和评估准则,本着独立、公正、科学、客观的原则,履行了资产评估法定的和必要的程序,采用公认的评估方法,经实施清查核实、实地查勘、市场调查和询证、评定估算等评估程序,得出如下结论:

1、资产基础法评估结果

采用资产基础法,得出上海晶材新材料科技有限公司相关资产及负债在评估基准日2023年3月31日的评估结论:

总资产账面价值9,503.67万元,评估值11,021.50万元,评估增值1,517.83万元,增值率15.97%。

负债账面值1,097.47万元,评估值1,097.47万元,评估无增减值。

净资产账面价值8,406.20万元,评估值9,924.03万元,评估增值1,517.83万元,增值率18.06%。

2、收益法评估结果

经实施清查核实、实地查勘、市场调查和询证、评定估算等评估程序,采用收益法对企业股东全部权益价值进行评估。上海晶材新材料科技有限公司在评估基准日2023年3月31日的股东全部权益账面值为8,406.20万元,评估值58,100.00万元,评估增值49,693.80万元,增值率591.16%。

3、评估结果的差异分析及最终结果的选取

(1)评估结果的差异分析

本次评估采用收益法得出的股东全部权益价值58,100.00万元,比基础法测算得出的股东全部权益价值9,924.03万元,高48,175.97万元,高485.45%。两种评估方法差异的原因主要是:

①资产基础法评估是以资产的成本重置为价值标准,反映的是资产投入(购建成本)所耗费的社会必要劳动,这种购建成本通常将随着国民经济的变化而变化;

②收益法评估是以资产的预期收益为价值标准,反映的是资产的经营能力(获利能力)的大小,这种获利能力通常将受到宏观经济、政府控制以及资产的有效使用等多种条件的影响。

综上所述,从而造成两种评估方法产生差异

(2)评估结果的选取

资产基础法评估是以资产的成本重置为价值标准,反映的是资产投入(购建成本)所耗费的社会必要劳动;收益法评估是以资产的预期收益为价值标准,反映的是资产的经营能力(获利能力)的大小,这种获利能力通常将受到宏观经济、政府控制等多种条件的影响。

通过对两种评估结果的分析,我们认为上海晶材新材料科技有限公司作为研发制造企业,近几年来,因为市场需求情况、政策推动等因素行业发展迅速,公司及时把握市场情况,经过近几年的投资建设,团队的运营,公司目前处于快速发展扩张阶段。根据已取得的历史年度收益情况等及目前良好的经营状况,预计未来年度收益较为客观,企业经营及发展潜力良好。

资产基础法仅从企业购建角度反映了企业的价值,无法准确地进行量化以上经营优势的价值。收益法评估中结合评估对象行业发展、收入类型、市场需求等因素变化对未来获利能力的影响,能够更合理反映评估对象的企业价值。

通过以上分析,我们选用收益法作为本次上海晶材新材料科技有限公司股东全部权益价值参考依据。由此得到上海晶材新材料科技有限公司的股东全部权益在基准日时点的价值为58,100.00万元。

(五)定价依据:

康达晟璟两次收购晶材科技股权的对价分别为:第一次收购晶材科技 67%的股权转让价格为38,860万元,第二次收购晶材科技33%的股权转让价格为22,968万元,第二次收购对价的最终确切数据将由康达晟璟结合其对标的公司业务、财务及法律等方面的尽职调查情况而在签署第二次交易文件时予以确定。

交易双方根据《审计报告》及《资产评估报告》的结果为股权转让价格的定价参考依据,经进一步协商确认,系双方真实的意愿表达,具有法律上的约束力,不存在重大误解、欺诈胁迫等情形,定价公平、合理,不存在损害公司及股东利益的情形。

公司对晶材科技的股权收购事项聘请的评估机构具有证券、期货业务评估资格,相关评估报告的评估假设前提合理,评估方法与评估目的具有相关性,评估结果作为本次交易价格定价参考依据具有公允、合理性。

五、协议的主要内容

本次交易将签署《收购框架协议》和《第一次股权转让协议》,后续在《收购框架协议》的基础上进一步签订第二次股权转让协议,公司将按照法律法规的规定及时履行审议程序或信息披露义务。已签订的协议主要内容如下:

(一)协议各方

1、受让方:北京康达晟璟科技有限公司(以下协议内容中简称“康达晟璟”);

2、转让方1:重庆致典晶科科技合伙企业(有限合伙);

转让方2:重庆蓝洛瓷晶科技合伙企业(有限合伙);

转让方3:上海御遥企业管理合伙企业(有限合伙);

转让方4:上海量子绘景电子股份有限公司;

转让方5:上海卡翱企业管理合伙企业(普通合伙);

转让方6:上海晶敖科技合伙企业(有限合伙);

3、标的公司:上海晶材新材料科技有限公司。

在协议中每一方以下单独称“一方”、“该方”,合称“各方”,互称“一方”、“其他方”。以上转让方合称“现有股东”; 转让方2、转让方5与转让方6合称“管理层股东”。

(二)第一次收购

1、在满足协议约定的前提条件(或被康达晟璟书面豁免)的情形下,康达晟璟将按照相关约定的第一次收购估值,以合计人民币38,860万元的价格受让部分现有股东(“第一次转让方”,具体如下表所列)所持有的公司一定数量的注册资本,并由此取得第一次收购完成后标的公司67%的股权(对应标的公司注册资本2,010万元,“第一次标的股权”),现有股东均承诺就此放弃行使任何优先购买权。第一次收购具体情况如下表所示:

2、业绩承诺及第一次收购的估值

现有股东向康达晟璟承诺,标的公司于2023年、2024年、2025年的年度经审计的税后净利润预计分别可达到人民币4,000万元、5,000万元以及6,000万元。

基于前述业绩承诺以及各方对标的公司业务资质、商业资源、知识产权等各要素的预判,各方初步达成一致意见,第一次收购完成前标的公司的整体估值为人民币58,000万元(“第一次收购估值”),对应标的公司每元注册资本价格为人民币19.33元。

3、第一次收购完成后,标的公司的股权架构将变更为如下表所示:

4、第一次收购对价的支付安排

康达晟璟向第一次转让方支付第一次收购对价的安排应当如下,但各方在最终签署的第一次交易文件中就对价支付安排另有约定的,应当按照届时之约定履行:

(1)第一次收购首期对价:应相当于第一次收购对价总金额的10%,由康达晟璟在第一次交易文件正式签署后的十五个工作日内支付至第一次转让方分别指定的银行账户;

(2)第一次收购二期对价:应相当于第一次收购对价总金额的70%,由康达晟璟在协议约定的标的公司内部治理与经营管理的相关安排以及第一次收购所涉工商变更登记均完成后的十个工作日内支付至第一次转让方分别指定的银行账户。

(3)第一次收购三期对价:应相当于第一次收购对价总金额的20%,其将作为前述业绩承诺的保证金由康达晟璟分三次支付。具体而言,自2023年开始,每一业绩承诺年度经康达晟璟确认标的公司已完成相应的业绩承诺后,或标的公司虽未完成该年度的业绩承诺但业绩承诺方已按照协议约定完成了业绩补偿后的三十日内,康达晟璟应向第一次转让方支付第一次收购对价总金额的6.66%。如业绩承诺方未依约向康达晟璟进行业绩补偿的,则康达晟璟有权从尚未支付的业绩承诺保证金中扣减相应款项作为业绩补偿。如扣减后该期应支付的股权转让对价仍有剩余的,康达晟璟应在业绩承诺方完成该年度业绩补偿后的十个工作日内支付给第一次转让方;如业绩承诺保证金不足以扣减全部业绩补偿的,则康达晟璟仍有权就尚未取得的业绩补偿继续向第一次转让方主张付款。

5、第一次收购的交割

(1)标的公司就第一次收购完成工商变更登记之日为第一次收购的交割日。自第一次收购交割日起,康达晟璟即成为标的公司股东,按照其持有的第一次标的股权享有股东权利,承担股东义务。标的公司于第一次收购交割日前尚未分配的利润、收益、红利、股息均由第一次收购交割日后的全体股东按照届时各自在标的公司中的实缴出资比例享有。

(2)于第一次收购交割日,标的公司应当、且现有股东应促使标的公司向康达晟璟提供:①证明康达晟璟为持有第一次标的股权的股东的出资证明书原件;②加盖标的公司公章且经标的公司法定代表人签字的股东名册复印件,且康达晟璟已在前述股东名册上被登记为持有第一次标的股权的股东。

(三)第二次收购

1、在满足协议约定的前提条件(或被康达晟璟书面豁免)的情形下,康达晟璟将按照相关约定的第二次收购估值,以合计人民币22,968万元的价格受让标的公司现有股东所持有的剩余的全部标的公司注册资本,并由此取得标的公司剩余33%的股权(对应标的公司注册资本990万元),现有股东均承诺就此放弃行使任何优先购买权。具体地,在满足协议约定且现有股东不存在违法违规及违反协议约定的情况下,康达晟璟应在约定条件达成后十日内启动第二次收购,如届时现有股东对第二次收购没有异议,且不存在各方认可的影响第二次收购进度的意外事项,康达晟璟应在现有股东就第二次收购达成一致意见后九十日内,或前述意外事项(如发生)解决后九十日内,签署第二次交易文件。第二次收购具体情况如下表所示:

2、第二次收购的估值

各方同意,第二次收购估值原则上同第一次收购估值保持一致,即根据第一次收购实际市盈率倍数(按现阶段各交易要素及数据确定的标的公司第一次收购市盈率倍数为11.60倍,下称“市盈率倍数”),结合最后一个业绩承诺年度标的公司经审计的净利润共同确定(即第二次收购估值=11.60*2025年度标的公司经审计的净利润)。但无论如何,各方确认第二次收购估值不超过标的公司业绩承诺期内经审计的净利润的平均值*150%*市盈率倍数。

尽管有上述约定,第二次收购估值及第二次收购对价的最终确切数据将由康达晟璟结合其对标的公司业务、财务及法律等方面的尽职调查情况而在签署第二次交易文件时予以确定。

3、第二次收购完成后,标的公司的股权架构将变更为如下表所示:

4、第二次收购对价的支付安排

康达晟璟向第二次转让方支付第二次收购对价的安排应当如下,但各方在最终签署的第二次交易文件中就对价支付安排另有约定的,应当按照届时之约定履行:

(1)第二次收购首期对价:应相当于第二次收购对价总金额的10%,由康达晟璟在第二次交易文件正式签署后的十个工作日内支付至第二次转让方分别指定的银行账户;

(2)第二次收购二期对价:应相当于第二次收购对价总金额的90%,应由康达晟璟在第二次收购所涉工商变更登记均完成后的十个工作日内支付至第二次转让方分别指定的银行账户。

(3)尽管有上述约定,第二次收购对价的最终支付安排将由康达晟璟结合届时实际情况及各方沟通安排而在签署第二次交易文件时予以确定。

5、第二次收购的交割

(1)标的公司就第二次收购完成工商变更登记之日为第二次收购的交割日。自第二次收购交割日起,康达晟璟即成为标的公司唯一的股东,按照其持有的第一次标的股权以及第二次标的股权享有股东权利,承担股东义务。标的公司于第二次收购交割日前尚未分配的利润、收益、红利、股息均由第二次收购交割日后的股东(即康达晟璟)享有。

(2)于第二次收购交割日,标的公司应当向康达晟璟提供:①证明康达晟璟为持有第二次标的股权的股东的出资证明书原件;②加盖标的公司公章且经标的公司法定代表人签字的股东名册复印件,且康达晟璟已在前述股东名册上被登记为持有第二次标的股权的股东。

(四)业绩补偿

1、在每一业绩承诺年度,由经康达晟璟认可的具备证券期货从业资格的会计师事务所出具《审计报告》确认标的公司在该业绩承诺年度的财务情况后,若标的公司经审计的净利润低于该年度业绩承诺的净利润的80%,则业绩承诺方应在《审计报告》出具后当年的12月31日前向康达晟璟进行现金补偿,具体补偿安排如下:

补偿方式:现金补偿

补偿义务主体:业绩承诺方

当期应补偿金额=(当期期末业绩承诺净利润-当期期末经审计净利润)÷累计业绩承诺净利润×38,860万元-康达晟璟当期已实际从标的公司获取的利润

2、在标的公司业绩承诺期结束后,由经康达晟璟认可的具备证券期货从业资格的会计师事务所出具《审计报告》确认标的公司在业绩承诺期内的财务情况后,若标的公司业绩承诺期内累计的经审计净利润低于累计业绩承诺净利润的85%,则业绩承诺方应在《审计报告》出具后当年的12月31日前向康达晟璟进行现金补偿,具体补偿安排如下:

补偿方式:现金补偿

补偿义务主体:业绩承诺方

期后应补偿金额=(累计业绩承诺净利润-累计经审计净利润)÷累计业绩承诺净利润×38,860万元-已补偿现金金额-康达晟璟业绩承诺期累计已从标的公司获取的利润

3、若标的公司任一业绩承诺年度经审计净利润低于业绩承诺净利润的80%,或标的公司业绩承诺期累计的经审计净利润达到累计业绩承诺净利润的50%以上但低于累计业绩承诺净利润的85%,业绩承诺方未按照约定足额支付应补偿金额,且康达晟璟根据协议的约定扣减全部尚未支付的业绩承诺保证金后,业绩承诺方仍需支付补偿金额的,则业绩承诺方应向康达晟璟进行股权补偿,具体情况如下:

补偿方式:股权补偿

补偿义务主体:业绩承诺方

当期/期后应补偿注册资本数量=(当期/期后应补偿金额-当期/期后已补偿现金金额)/每元注册资本价格

为进行上述股权补偿,业绩承诺方应当按其届时所持标的公司股权比例无偿将其所持有的对应数量的注册资本转让给康达晟璟。

4、若标的公司业绩承诺期内累计的经审计净利润低于累计业绩承诺净利润的50%,业绩承诺方应按照上述协议约定足额支付期后应补偿金额。若未足额支付,且康达晟璟根据协议的约定扣减全部尚未支付的业绩承诺保证金后,则业绩承诺方应向康达晟璟进行股权补偿。如股权补偿完成后,仍未覆盖全部期后应补偿金额的,业绩承诺方应在康达晟璟要求的限期内继续进行现金补偿,具体情况如下:

剩余应补偿金额=期后应补偿金额-已补偿现金金额-已股权补偿对应的注册资本总数*每元注册资本价格。

5、若标的公司业绩承诺期累计的经审计净利润不低于累计业绩承诺净利润的85%,则视为标的公司完成了业绩承诺,则康达晟璟应向业绩承诺方返还其此前已支付的业绩补偿金额、已扣减的业绩承诺保证金及已补偿的标的公司股权(如涉及),但由此产生的相应税费(如有)应由业绩承诺方承担。

6、各方同意,无论如何,业绩补偿金额(包括股权补偿)合计不应超过第一次收购对价,且不超过最终业绩承诺未完成比例对应的业绩补偿及商誉减值的合计金额。

7、若触发股权补偿的,康达晟璟有权自行选择要求业绩承诺方进行股权补偿的时点,且一经康达晟璟向业绩承诺方发出要求股权补偿的书面通知,业绩承诺方应予以充分的配合并在该等通知要求的时限内完成股权补偿所涉及的工商变更手续,由此产生的相应税费(如有)应由业绩承诺方承担。

8、第一次收购完成后,业绩承诺方应在康达晟璟要求的时间内将其所持有的标的公司剩余股权质押给康达晟璟并办理质押登记,以作为对前述业绩承诺、业绩补偿及回购义务的履约保障。

(五)内部治理与经营管理

1、内部治理机构

自第一次收购交割日起,标的公司应当按照《中华人民共和国公司法》及以下约定建立内部治理机构:

(1)标的公司设股东会,股东会由全体股东组成,股东会是标的公司的最高权力机构。标的公司召开股东会时,公司各股东按照实缴出资比例行使表决权。各方同意,标的公司进行重大的项目投资、长期资产购买及处置、关联交易等影响业绩承诺期净利润事项必须提交股东会审议通过(需获得管理层股东的一致同意)方可执行(为免疑义,前述“重大”系指公司拟从事之交易的对价金额不低于人民币200万元,标的公司现有业务正常运行所必须的原材料采购除外)。

(2)标的公司设董事会,董事会由康达晟璟提名之董事,以及管理层股东提名之董事组成。其中,康达晟璟提名的董事占标的公司董事会席位比例不低于其届时在标的公司的持股比例(即67%)。标的公司董事长及法定代表人届时由康达晟璟提名的董事担任。此外,各方同意,标的公司进行增资必须提交标的公司董事会审议通过(需包括管理层股东提名之董事的同意)方可执行。

(3)标的公司不设监事会,设监事一名,由标的公司股东会选举产生。

2、经营管理规则

自第一次收购交割日起,标的公司的经营管理应当符合以下约定:

(1)管理层方面,核心人员于业绩承诺期内继续在标的公司担任其原有任职,康达晟璟有权向标的公司指派至少一名副总经理和一名财务负责人,其他人员变动根据康达晟璟届时适用的监管要求和各方协商确定。

(2)经营管理方面,康达晟璟需要对标的公司资金采取统一管控,标的公司的营业执照及印章(包括但不限于营业执照原件、标的公司公章、法人章及公司财务章)需交由康达晟璟所指派的财务负责人保管,相应证照及印章的使用需经康达晟璟审批授权。具体管控措施将在最终交易文件中详细约定。

(六)核心人员的全职服务

(1)管理层股东承诺,不晚于第一次交易文件签署时,核心人员应全部与标的公司签订期限不少于36个月的劳动合同与保密和竞业禁止协议。

(2)管理层股东承诺,不晚于第二次交易文件签署时,核心人员应为标的公司提供自管理层股东收到第二次收购对价之日起不少于36个月的服务。若任一核心人员违反前述约定,则该核心人员应承担相当于其通过管理层股东届时可收取的第二次收购对价的50%作为违约金。

(3)康达晟璟承诺,于前述服务期限内,核心人员的整体薪酬水平与第一次收购前所享有的原则上基本保持一致。

(七)回购

1、各方同意,第一次收购交割日后,下列情况中任何一种或者多种发生,且经康达晟璟证实相应情形真实发生的,都触发康达晟璟的回购权。如康达晟璟选择行使回购权,标的公司和/或现有股东(“回购方”)应无条件回购康达晟璟所持有的全部或部分标的公司股权:

(1)如标的公司或现有股东严重违反其在最终交易文件下的陈述、保证及承诺并经康达晟璟通知后未能在三十个工作日内及时纠正;

(2)如标的公司或现有股东在本次收购过程中出现重大诚信问题,尤其是标的公司出现康达晟璟不知情的帐外现金销售收入或现有股东另外经营与标的公司相同或相近的其他公司或经济组织(如涉及);

(3)如发现交割日前标的公司有重大违法违规行为导致标的公司无法继续经营的。

2、股权回购价款

赎回价格(元/注册资本)=每元注册资本价格×(1+8%)n

回购价款=赎回价格×康达晟璟要求回购注册资本数量-业绩承诺方根据协议之约定已补偿金额-康达晟璟已从标的公司实际获取的利润+标的公司已宣派但未实际分配的利润。

本公式中,“n”为第一次/第二次收购对价实际支付日至康达晟璟收到全部回购价款之日的期间累计的年份数,不足一年的按其在一年时间中的比例计算(一年时间比例按日计算,实际天数/365)。

3、回购程序

(1)若康达晟璟决定选择股权回购,则应以书面方式向回购方发出《股权回购通知书》。

(2)回购方收到《股权回购通知书》之日起的十个工作日内,标的公司及现有股东应当、并且管理层股东应促使其委派董事作出相关的股东会决议及董事会决议,由标的公司或现有股东以中国法律允许的方式赎回或购买康达晟璟要求回购的其在标的公司中持有的全部或部分股权。

(3)回购方收到《股权回购通知书》之日起的十五个工作日内或各方届时另行确定的期限内,其应与康达晟璟签署相关股权转让协议或减资协议等转让或回购文件。各方确认,无论届时是否如约签署前述转让或回购文件,或该等经签署的文件是否作出任何相反之约定,回购方均应不得晚于收到《股权回购通知书》之日起三个月(“回购期限”)内向康达晟璟付清其对应回购股权的全部价款。若回购方逾期未付清全部价款,则每逾期一日需按照应付而未付价款的千分之零点五(0.5‰)计征违约金,直至全部付清回购价款之日止。

(4)为免疑义,若回购方拒绝接收《股权回购通知书》,则自《股权回购通知书》发出之日起满十个工作日,视为该方已经收到《股权回购通知书》。

(八)违约责任

1、各方应严格遵守协议。如果协议任何一方未能履行其在协议项下的义务(包括一方作出的任何承诺),或所作的任何陈述或保证在任何方面不真实,即构成违约。

2、除非协议另有约定,若出现违约情形,守约方可以在知晓该违约情形后二十个工作日内书面通知违约方纠正违约行为或进行协商解决。如违约方在守约方发出书面通知后的三十日内未纠正违约行为或协商未果,守约方有权要求违约方承担相应的违约责任并赔偿其所有损失、损害、责任、诉讼费用(包括律师费)及其他合理的费用和开支(“损失”)。

3、特别地,在康达晟璟完成尽调工作并对尽调结果满意,且最终确认的本次收购之具体条件(包括收购对价、收购股权比例、对价支付安排、业绩承诺及补偿、公司经营管理等事项)较协议之约定未有实质性变化的前提下(为免疑义,根据尽调结果而适当、合理调整收购条件的不构成前述实质性变化),任何一方不得单方面拒绝达成并签署最终交易文件,否则,守约方有权要求违约方承担人民币3,886万元的违约金(即相当于第一次收购对价人民币38,860万元的10%),并承担守约方因本次收购而产生的中介机构费用。为免疑义,若现有股东中的任意一方或多方违反本条之约定,其他现有股东需对前述违约责任承担连带责任。

4、康达晟璟进一步同意,将严格按照届时签署的最终交易协议之约定,按时向第一次转让方和/或第二次转让方指定的收款账户支付相应的收购对价。如逾期支付的,康达晟璟应当按照逾期应付而未付的当期收购对价总额的0.5‰/每日的标准计算违约金并支付给相应的转让方,直至相应的收购对价以及违约金付清之日止。

5、现有股东进一步同意,将严格按照届时签署的最终交易文件的约定,按时向康达晟璟指定的收款账户支付回购价款/业绩补偿款(如涉及)。如逾期支付的,相关现有股东应当按照逾期应付而未付的回购价款/业绩补偿款的0.50‰/每日的标准计算违约金并支付给康达晟璟,直至相应的回购价款/业绩补偿款以及违约金付清之日止。康达晟璟根据协议约定决定在业绩承诺保证金中扣减业绩补偿款的,自扣减之日起,业绩补偿款视为已支付。

6、无论如何,在协议签署后六个月内各方仍未就签署第一次交易文件达成一致意见时,各方均有权终止协议。但各方在前述时限内就第一次交易文件的签署达成合意的,协议将持续有效。

7、特别地,如果违约方对履约方的违约行为属于第一次股权转让协议所述情形而导致协议解除时,则违约方除按上述约定承担赔偿责任外,还需向履约方支付相当于股权转让款百分之三十的违约金。

8、根据第一次股权转让协议约定,各方同意,除财务报表中体现的债务以及财务报表日至交割日发生的日常经营性债务以外,公司在交割日之前发生的一切债务(包括但不限于应付债务、应缴税费、亏损及或有负债)以及任何经济、民事、刑事、税务、海关、卫生、安全、环保或其他行政责任与法律责任,均由转让方负责承担。如果康达晟璟因此承担任何责任,则遭受的损失均应由转让方负责赔偿。

(九)生效

协议自各方签署之日起成立,并在康达晟璟就协议之相关约定获得其内部审批通过(包括康达新材的董事会、股东大会审议批准协议之相关约定)之日起生效。

六、本次收购事项的其他安排

本次收购资产不涉及人员安置、土地租赁等情况。本次收购完成后,标的公 司继续独立经营,与公司控股股东及其关联人在人员、资产、业务、财务、机构 方面不存在关联关系。

七、本次交易的背景及目的、对公司的影响和风险提示

(一)本次交易背景及目的

在5G以及未来6G高频通信时代,电子产品向微小型化和多功能化方向发展,对电子元器件的集成和封装提出了更高的要求。低温共烧陶瓷(LTCC)技术作为无源元器件集成的关键技术,在开发高频、高性能、高集成度的电子元器件方面具有显著优势,对我国高频通信的发展有着举足轻重的作用。其中低温共烧陶瓷(LTCC)技术是无源元器件集成的关键技术。

标的公司晶材科技成立于2016 年,多年来专注于高端电子陶瓷材料的国产化应用,主要业务为陶瓷生料带、贵金属浆料、瓷粉等产品的研发、生产和销售,是目前阶段国内多家企业在国产生料带的单一来源,其集专业的研发与规模化生产于一体,致力于为客户提供先进的材料解决方案。晶材科技的陶瓷生料带等产品打破了国外的技术垄断,实现了进口替代,填补了国内空白。

晶材科技的产品主要应用于低温共烧陶瓷技术(LTCC)的电子元器件、电路模块的制造和封装,可同时满足军用(有源相控阵雷达、电子对抗等)和民用领域(5G手机、5G移动终端、5G路由器、5G基站、新能源汽车电子电路等)需求,其代理的有机硅水胶产品是包括车载显示器在内的高可靠性显示器光学全贴合的重要原材料之一。

陶瓷生料带作为介质材料,主要应用于微波电路基板和射频器件的制造,微波发送/接收电路基板(“T/R基板”)是雷达系统的核心部件,国内LTCC原材料市场被国外生产商所垄断,可批量稳定供货且被客户广泛认可的优质国产厂商极少,具有较大的进口替代空间,晶材科技在该材料领域解决了“卡脖子”问题。晶材科技某型号生料带是目前多个新研装备项目中单一来源的国产生料带,客户主要为央企下属的军工电子单位。晶材科技技术与运营团队拥有较丰富的先进新材料相关行业工作经验,现已获授权及申请了多项发明专利和实用新型专利,并已通过相关装备质量管理体系认证,同时也承担了政府部门和军工单位的重要科研项目。晶材科技已进入工业和信息化部第五批国家级“专精特新”中小企业名单,于2022年荣获上海市科技小巨人培育企业称号。

(二)本次交易对公司影响

近年来,公司大力实施技术创新、业务创新和管理创新,不断优化市场和业 务结构,努力提升可持续盈利能力和核心竞争力。公司形成了以胶粘剂系列产品 为主链,复合材料系列产品辅助支撑的新材料发展模式,由单一化工胶粘剂产品 生产型企业向新材料生产、研发型企业逐步转型升级。同时,公司以内升与外延 相结合的方式,通过外延投资并购,积极推进综合新材料协同平台布局,包括 ITO 靶材、先进复合材料、功能性高分子新材料等业务板块,在深耕细作原有市场的基础上,积极拓展先进新材料领域;电子科技领域公司从协同角度出发,不断完善战略布局,加强与新材料产业之间的资源联动。公司努力打造以“新材料+电子科技”为核心的专精特新产业集群,形成了符合国家战略发展方向的“硬科技”产业转型新格局。尤其在新材料领域,公司积极把握国家大力推进经济结构转型和产业优化升级的发展机遇,充分利用资本配置手段进行产业链延伸,布局信息化和“中国制造 2025”文件中重点提出的新材料产业,实现公司纵深发展,填补国家在新材料领域的空白,努力实现进口替代。

本次收购晶材科技股权,符合公司战略规划,契合公司新材料业务发展方向,对公司扩充在先进新材料产业赛道,填补国内空白具有重要意义,也为公司培育了新的收入与利润增长点并实现战略发展目标。本次收购完成后晶材科技的产品与子公司成都赛英科技有限公司、成都必控科技有限责任公司、成都铭瓷电子科技有限公司在微波组件、整机雷达、高端滤波器以及电容、电阻等整机级、系统级、部件级产品方向将产生业务与客户资源的有效协同。同时,公司将不断加强内部协同,推动产业链布局优化,更好地适应市场需求,形成协同发展、相互促进、资源共享的良性互动。

本次交易的资金来源为自有资金,不会对公司的正常经营及财务状况产生不利影响。

(三)风险提示

本次股权收购事宜是公司经过审慎评估、论证、分析做出的决定,交易价格是在平等自愿的基础上,结合标的公司的经营情况以及未来发展规划等因素,经过双方沟通协商后确定的,不会对公司财务及经营状况产生不利影响,不存在损害公司及全体股东利益的情形。但由于市场环境等不可控因素的影响,公司特别提醒投资者注意以下风险。

1、交易标的业绩承诺无法实现的风险

本次股权收购中,标的公司及交易对手方的业绩承诺是基于标的公司目前的运营能力和市场展望的预测数,但仍存在因未来实际情况与预测不一致,特别是受宏观经济的波动、国家法规及行业政策的变化、竞争环境变化等因素影响,导致标的公司承诺期内实现的净利润达不到前述承诺业绩的风险。因此,公司本次股权收购存在交易标的业绩承诺无法实现的风险。

2、资金和管理风险

本次的收购资金来源为自有或自筹资金,不会影响公司的正常经营。本次交易是公司从长远利益出发而做出的慎重决策,但仍可能存在一定的市场风险、经营风险和管理风险。公司将健全和完善公司治理结构,积极关注和防范经营及管理风险,敬请广大投资者理性投资,注意风险。

3、标的资产评估增值的风险

截至评估基准日,本次交易的标的资产晶材科技股东全部权益价值评估值为58,100万元。考虑评估方法的适用前提和满足评估目的,本次选用收益法评估结果作为最终评估结果。本公司特别提醒投资者,虽然评估机构在评估过程中严格按照评估的相关规定,并履行了勤勉、尽职的义务,但由于收益法基于一系列假设并基于对未来的预测,如未来情况出现预期之外的较大变化,可能导致资产估值与实际情况不符的风险。

4、本次交易形成的商誉减值风险

根据《企业会计准则》,合并对价超过被合并方可辨认净资产公允价值的部分将被确认为商誉。本次交易完成后,在公司合并资产负债表中商誉将增加。根据《企业会计准则》规定,本次交易形成的商誉不作摊销处理,但需在未来每年年度终了进行减值测试。如果标的公司未来经营状况未达预期,则存在商誉减值的风险,商誉减值将直接减少公司的当期利润,提请投资者注意可能的商誉减值风险。

5、标的公司管理团队及核心技术流失的风险

标的公司主营业务具有高技术含量、高附加值的特点,专业技术和专业人才是其实现业务发展的核心资源。标的公司核心管理团队及核心技术人员具有多年的行业经验及管理经验,是标的公司维持服务质量、树立品牌优势的核心资产。但随着市场及行业的变化,核心人员的流失将可能对标的公司的经营和业务稳定性造成不利影响。公司提请投资者注意相关风险。

公司将密切关注本次交易的进展情况,并按照相关法律法规履行信息披露义务,敬请广大投资者谨慎决策,注意投资风险。

八、备查文件

1、第五届董事会第二十四次会议决议;

2、《收购框架协议》、《股权转让协议》;

3、《上海晶材新材料科技有限公司审计报告》;

4、《康达新材料(集团)股份有限公司拟现金收购上海晶材新材料科技有限公司部分股权评估项目资产评估报告》;

5、上市公司交易情况概述表。

特此公告。

康达新材料(集团)股份有限公司董事会

二〇二三年七月二十日

证券代码:002669 证券简称:康达新材 公告编号:2023-081

康达新材料(集团)股份有限公司

关于第一期员工持股计划存续期展期

即将届满的提示性公告

本公司及董事会全体成员保证信息披露内容的真实、准确和完整,没有虚假记载、误导性陈述或重大遗漏。

康达新材料(集团)股份有限公司(以下简称“公司”)分别于2019年12月8日召开的第四届董事会第十四次会议、2019年12月24日召开的2019年第五次临时股东大会审议通过了《关于〈上海康达化工新材料集团股份有限公司第一期员工持股计划(草案)〉及其摘要的议案》及相关议案。具体内容详见分别于2019年12月9日和2019年12月25日披露的相关公告。2022年11月14日,公司召开了第五届董事会第十五次会议审议通过了《关于延长第一期员工持股计划存续期的议案》,同意公司第一期员工持股计划的存续期延长12个月,即存续期延长至2024年1月14日。

鉴于公司第一期员工持股计划的存续期将于2024年1月14日届满,根据中国证监会《关于上市公司实施员工持股计划试点的指导意见》、《深圳证券交易所上市公司自律监管指引第1号一一主板上市公司规范运作》的相关要求,现将公司第一期员工持股计划存续期届满前的相关情况公告如下:

一、第一期员工持股计划基本情况

2020年1月16日,公司收到中国证券登记结算有限责任公司深圳分公司出具的《证券过户登记确认书》,公司回购专用证券账户所持有的公司股票3,026,811股已于2020年1月15日以非交易过户形式过户至公司开立的“上海康达化工新材料集团股份有限公司一第一期员工持股计划”专户(现更名为“康达新材料(集团)股份有限公司一第一期员工持股计划”),占公司当时总股本的1.20%。

公司第一期员工持股计划的存续期为36个月,自公司股东大会审议通过且公司公告最后一笔标的股票过户至本员工持股计划名下之日起算,即2020年1月15日至2023年1月14日。

2022年11月14日,公司召开了第五届董事会第十五次会议审议通过了《关于延长第一期员工持股计划存续期的议案》,同意公司第一期员工持股计划的存续期延长12个月,即存续期延长至2024年1月14日。

截至本公告披露日,公司第一期员工持股计划的股票已全部解锁,累计减持2,873,405股,剩余股数153,406股,占公司当前总股本的0.0502%。未出现员工持股计划累计持有公司股票数量超过公司股本总额10%及任一持有人持有的员工持股计划份额对应的公司股票数量超过公司股本总额1%的情形。公司员工持股计划所持有公司股票未出现或用于抵押、质押、担保、偿还债务等情形;未出现公司员工持股计划之外的第三人对员工持股计划的股票和资金提出权利主张的情形。

二、 第一期员工持股计划的后续安排

公司第一期员工持股计划的存续期至2024年1月14日止。在存续期内,将根据员工持股计划的安排、持有人的意愿和市场情况决定是否卖出股票,若员工持股计划所持有的公司股票全部出售,员工持股计划可提前终止。

公司将严格遵守市场交易规则,遵守中国证监会、深圳证券交易所关于信息敏感期不得买卖股票的规定,在下列期间不得买卖公司股票:

1、公司年度报告、半年度报告公告前30日内,因特殊原因推迟公告日期的,自原预约公告日前30日起算;

2、公司季度报告、业绩预告、业绩快报公告前10日内;

3、自可能对本公司证券及其衍生品种交易价格产生较大影响的重大事件发生之日或在决策过程中,至依法披露之日内;

4、证券交易所规定的其他期间。

三、 第一期员工持股计划的存续期、变更和终止

(一)第一期员工持股计划的存续期

1、本员工持股计划原存续期为36个月,自公司股东大会审议通过且公司公告最后一笔标的股票过户至本员工持股计划名下之日起算,即自2020年1月15日至2023年1月14日。

经公司第一期员工持股计划持有人大会及公司第五届董事会第十五次会议审议通过,同意将公司第一期员工持股计划的存续期延长至2024年1月14日。

2、本员工持股计划的存续期届满前,如持有的标的股票仍未全部出售,在存续期届满前2个月,经出席持有人会议的持有人所持过半数份额同意并提交公司董事会审议通过后,本期员工持股计划可以展期。

(二)第一期员工持股计划的变更

在本期员工持股计划的存续期内,员工持股计划的变更须经出席持有人会议的持有人所持2/3以上份额同意,并提交公司董事会审议通过后方可实施。

(三)第一期员工持股计划的终止

1、本期员工持股计划存续期满后自行终止;

2、本期员工持股计划存续期届满前所持股票全部出售的,本期员工持股计划可提前终止。

四、 其他说明

公司将根据本期员工持股计划实施的进展情况,按照相关法律法规的规定及时履行信息披露义务,敬请广大投资者关注相关公告并注意投资风险。

特此公告。

康达新材料(集团)股份有限公司董事会

二〇二三年七月二十日

证券代码:002669 证券简称:康达新材 公告编号:2023-079

康达新材料(集团)股份有限公司

关于第二期员工持股计划存续期

即将届满暨展期的提示性公告

本公司及董事会全体成员保证信息披露内容的真实、准确和完整,没有虚假记载、误导性陈述或重大遗漏。

康达新材料(集团)股份有限公司(以下简称“公司”)于2023年7月19日召开第五届董事会第二十四次会议审议通过了《关于延长第二期员工持股计划存续期的议案》,根据中国证监会《关于上市公司实施员工持股计划试点的指导意见》、《深圳证券交易所上市公司自律监管指引第1号一一主板上市公司规范运作》及《上海康达化工新材料集团股份有限公司第二期员工持股计划》(以下简称“《持股计划》”、“本期员工持股计划”)等有关规定,同意公司第二期员工持股计划的存续期延长12个月,即存续期延长至2024年12月24日。现将相关情况公告如下:

一、第二期员工持股计划基本情况

公司分别于2020年11月22日召开的第四届董事会第三十次会议以及2020年12月9日召开的2020年第四次临时股东大会审议通过了《关于〈上海康达化工新材料集团股份有限公司第二期员工持股计划(草案)〉及其摘要的议案》及相关议案。具体内容详见分别于2020年11月23日和2020年12月10日披露的相关公告。

2020年12月28日,公司收到中国证券登记结算有限责任公司深圳分公司出具的《证券过户登记确认书》,公司回购专用证券账户所持有的公司股票947,400股已于2020年12月25日以非交易过户形式过户至公司开立的“上海康达化工新材料集团股份有限公司一第二期员工持股计划”专户(现更名为“康达新材料(集团)股份有限公司一第二期员工持股计划”),占公司当时总股本的0.3752%。

加载中...