新浪财经

财政部会计司:金融工具准则应用案例——预期信用损失法应用案例两则

季丰的会计师驿站

关注

财政部会计司发布预期信用损失法应用案例和金融相关会计准则实施问答

原文发布日期:2023年7月17日

转载自:财政部网站

2023年7月17日,财政部会计司发布2项预期信用损失法应用案例和3项金融相关会计准则实施问答。相关链接如下:

http://kjs.mof.gov.cn/zt/kjzzss/srzzzq/jrgjzzyy/

http://kjs.mof.gov.cn/zt/kjzzss/sswd/jrgjzzss/

http://kjs.mof.gov.cn/zt/kjzzss/sswd/gfzzsswd/

财政部会计司  

2023年7月17日

金融工具准则应用案例——预期信用损失法应用案例

预期信用损失法应用案例(一)

——以内部评级体系为基础

【例】甲银行是一家大型上市商业银行,该银行已建立内部评级体系(以下简称“内评体系”)并实施多年,历史数据积累较为完备。对于内评体系覆盖的贷款,该银行采用下图所示的方法构建预期信用损失模型,其中:信用风险分组和信用风险是否显著增加的评估,以内评体系下的风险分组和风险变化为基础,并结合预期信用损失法的相关要求进行;违约概率以内评体系下的违约概率为基础,应用逻辑回归转换并经 Wilson 模型(详见附录)校准等调整得到;违约损失率以内评体系下的违约损失率为基础,经前瞻性调整并剔除跨周期因素后得到;各经济情景及权重根据以合理成本即可获得的合理且有依据的信息(含前瞻性信息)设定。

2019 年 6 月 28 日,甲银行对某国内零售企业发放 1500万元对公贷款,约定两年后到期一次还本,每季度末月 20日付息,年利率为 10%。发放贷款时,甲银行对该客户的内部评级为 AAA-。2020 年 4 月 28 日,因受外部事件影响和自身运营等原因,该客户的信用风险有上升迹象,甲银行经评估将其内部评级下调为 BBB。

甲银行基于内评体系如何确定上述对公贷款的预期信用损失?

分析:

根据《企业会计准则第22 号——金融工具确认和计量》(财会〔2017〕7 号,以下简称金融工具确认计量准则)的规定,预期信用损失是指以发生违约的风险为权重的金融工具信用损失的加权平均值,企业应当在每个资产负债表日评估相关金融工具的信用风险自初始确认后是否已显著增加,并按照信用风险自初始确认后已显著增加和未显著增加的情形分别计量损失准备、确认预期信用损失及其变动。按照前述准则要求并结合内评体系实践及相关历史数据,甲银行按照以下步骤对内评体系已覆盖的贷款计量预期信用损失:

步骤一:基于共同信用风险特征进行风险分组

按照金融工具确认计量准则的规定,为合理评估和及时识别金融工具信用风险的变化,甲银行应当以金融工具类型、信用风险评级、担保物类型、初始确认日期、剩余合同期限、借款人所处行业、借款人所处地理位置、贷款抵押率等共同信用风险特征为依据,将金融工具划分为不同组别。鉴于甲银行在内评体系下已按照客户及业务属性进行分组并构建评级模型,甲银行在进行前述风险分组时延续了内评体系的思路,即从客户和债项两个维度进行分组。

在客户维度,甲银行按照债务人主体的违约风险特征进行分组并以此为基础估算违约概率。对于对公客户,甲银行将内评体系下按客户所属行业及规模等标准划分的组别进行聚类合并,形成机构类客户、小微企业客户、金融业客户、制造业客户等十个组别(详见表1)。对于零售客户,甲银行沿用内评体系下的分组结果,按照产品类型分为个人住房贷款、合格循环零售贷款和其他零售贷款三组(详见表 1)。甲银行定期对前述分组的合理性进行重检。

1 客户维度的风险分组

对公客户

零售客户

分组编号

组别名称

1

机构类客户

1

个人住房贷款

2

小微企业客户

2

合格循环零售贷款

3

金融业客户

3

其他零售贷款

4

制造业客户

5

批发零售业客户

6

基础设施相关行业客户

7

房地产业客户

8

采矿业客户

9

建筑业

10

其他行业大中型企业客户

在债项维度,甲银行按照各债项的损失水平进行分组并以此为基础估算违约损失率。对于对公客户的债项,甲银行按照业务类型和担保方式进行分组。以贷款业务为例,分为信用类贷款、抵押类贷款、质押类贷款、保证类贷款和低损失贷款等组别(详见表2)。对于零售客户的债项,甲银行按照产品类型分为个人住房贷款、合格循环零售贷款和其他零售贷款三组,该分组与估算违约概率的风险分组一致(详见表 2)。此外,对于同一债务人的多笔债项,如果预期违约后的损失存在显著差异的,则将其划分至不同的组别。

2 债项维度的风险分组

对公客户

零售客户

业务类型

组别名称

贷款业务

信用类贷款

个人住房贷款

抵押类贷款(可按抵押物的类型细分)

合格循环零售贷款

质押类贷款(可按质押物的类型细分)

其他零售贷款

保证类贷款

低损失贷款(由保证金或流动性较强的资产全额覆盖)

债券投资业务

本币信用类债券

本币保证类债券

本币抵押类债券

外币信用类债券

外币保证类债券

外币抵押类债券

存放同业、买入返售等同业业务

根据币种、抵质押和担保情况分组(类似债券投资业务)

步骤二:根据信用风险变化和减值情况进行阶段划分

按照金融工具确认计量准则的规定,甲银行根据以合理成本即可获得的、合理且有依据的信息(包括前瞻性信息)进行阶段划分,其中:“信用风险自初始确认后未显著增加”的金融资产划分为第一阶段,“信用风险自初始确认后已显著增加但尚未发生信用减值”的金融资产划分为第二阶段,“初始确认后发生信用减值”的金融资产划分为第三阶段。

对于贷款业务,甲银行采用的信用风险显著增加(即划分为第二阶段)的判断标准包括:减值损失违约概率大幅上升、贷款五级风险分类调整为关注类、贷款逾期30 天以上以及其他表明信用风险显著增加的情况等。甲银行通过比较在初始确认时所确定的预计存续期内的违约概率和该贷款在资产负债表日所确定的预计存续期内的违约概率,来判断其信用风险自初始确认后是否显著增加。在进行相关评估时,甲银行考虑的定性和定量因素包括:信用风险所导致的内外部指标(如信用利差)的显著变化、内外部评级实际或预期的显著变化、预期将导致借款人履行其偿债义务的能力发生显著变化的业务、财务或外部经济状况的不利变化以及借款人所处监管、经济或技术环境的显著不利变化等。

对于已发生信用减值(即划分为第三阶段)的判断,甲银行采用的判断标准包括:债务人发生严重财务困难、利息或本金发生违约或逾期超过90 天、债权人出于与债务人财务困难有关的经济或合同考虑给予债务人在任何其他情况下都不会做出的让步、债务人很可能倒闭或进行其他财务重组以及其他客观证据显示发生减值的情况等。

步骤三:构建预期信用损失模型和估计参数

按照金融工具确认计量准则的规定并结合自身实际,甲银行构建了以下预期信用损失模型。即,对于处于第一阶段和第二阶段的金融工具,预期信用损失(ECL)=违约概率(PD)×违约损失率(LGD)× 违约风险敞口(EAD)×表外信贷系数(CCF)× 折现率(DR);对于处于第三阶段的金融工具,采用未来现金流量折现法确定预期信用损失。同时,甲银行基于内评体系下的数据,对违约概率、违约损失率、违约风险敞口等参数进行了估计。

(一)估计违约概率(PD)

1.将内评体系下的跨周期违约概率转换为未来 12 个月时点违约概率

根据金融工具确认计量准则,用于计量预期信用损失的参数应体现计提时点的风险水平,即时点违约概率(Point intime PD,简称 Pit PD)。由于甲银行采用跨周期评级法,其内评体系下的违约概率是对经济周期内平均风险水平的衡量,即跨周期违约概率(Through the cycle PD),因此,在计量预期信用损失时,需要将跨周期违约概率转换为时点违约概率(Pit PD)。

对于对公贷款业务,甲银行按照以下步骤调整得到报告日各组敞口计量预期信用损失所需的未来12 个月违约概率:

步骤1:计算报告日各组敞口下客户的内部评级分布;

步骤2:对内部评级主标尺下各级别的跨周期违约概率应用逻辑回归,即按

进行数量变换,以得到与宏观经济指标建立回归模型所需的数据;

步骤3:计算校准因子。该校准因子通过 Wilson 模型(详见附录)校准并经反 Logit 变换(即

)得到的各级别时点违约概率应与该敞口下客户评级分布加权结果和经前瞻性调整的组合层面违约概率一致。

对于零售贷款业务,甲银行在沿用内评体系分组方式的基础上,按上述步骤对零售贷款分组进行时点违约概率转换。

2.收集及处理历史数据

甲银行收集了内部积累的内评历史违约数据以及公开发布的宏观经济历史数据并进行以下处理:

1)统一宏观经济历史数据的时间标准(月/季度);

2)对宏观经济历史数据进行标准化和其他必要处理;

3)将违约客户数据按所属评级模型类型分为十组;

4)根据各组违约客户数计算实际违约率,并应用逻辑回归将数据作 Logit 变换,以得到与宏观经济指标建立回归模型所需的数据。

3.建立违约概率与宏观经济指标的回归模型

甲银行基于客户历史违约数据及历史宏观经济指标数据进行多元回归。以对公贷款为例,甲银行基于第三方统计软件,通过遍历多元回归得到客户历史违约率与宏观经济指标历史数据的多元线性回归组合,剔除经济含义不符、统计指标不满足要求、获取预测值困难较大的指标组合后,最终确定对公贷款十个风险分组各自的多元回归模型(以实际违约率为因变量,以相关宏观经济指标为自变量)。以“批发零售业”组合为例,其回归模型如下:

4.由未来 12 个月违约概率推导整个存续期内违约概率

按照金融工具确认计量准则,对于第一阶段的金融资产,应按照未来12 个月预期信用损失计量损失准备。若金融资产的实际剩余期限不足 12 个月,则按实际剩余期限计算。

对于第二阶段及第三阶段的金融资产,应按照整个存续期的预期信用损失计量损失准备。实务中,通常由未来12 个月违约概率推导得到整个存续期内违约概率。

甲银行选择按照月度折算未来12 个月违约概率,并假设每个计算周期的违约概率一致,推导得出整个存续期内违约概率。具体计算公式如下:

5.具体应用

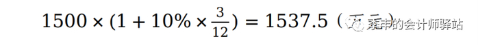
2019 年 6 月 28 日向某国内零售企业发放的 1500 万元贷款为例,根据甲银行该客户所属行业分类,该贷款对应的违约概率组别为批发零售业组,该组别 AAA-评级对应的未经前瞻性调整的未来 12 个月违约概率为 2.5%。

2019 年 6 月 30 日,甲银行将该贷款划分为第一阶段,按照未来 12 个月预期信用损失计提信用损失准备,此时该贷款的剩余期限为 24 个月,其未来 12 个月违约概率(未经前瞻性调整)计算如下:

2020 年 4 月,因受外部事件影响和自身运营等原因,该客户信用风险有上升迹象。甲银行结合信用风险评估的定性和定量标准进行判断后,认为该客户的违约概率大幅上升,其信用风险自初始确认后已显著增加,因此,将该客户的评级下调为 BBB,该组别 BBB 级对应的未经前瞻性调整的未来 12 个月违约概率为 7%。

2020 年 4 月 30 日,甲银行将该笔贷款调整为第二阶段,按照整个存续期内预期信用损失计提信用损失准备,此时该贷款的剩余期限为 14 个月,其整个存续期内违约概率(未经前瞻性调整)计算如下:

按宏观经济情景进行前瞻性调整后的违约概率情况详见步骤四。

(二)估计违约损失率(LGD)

金融工具确认计量准则要求预期信用损失计量的各类风险参数应体现时点水平,并纳入前瞻性调整。甲银行基于内评违约损失率,进行以下调整得到预期信用损失计量所需的违约损失率:一是剔除内评违约损失率中的跨周期因素(即经济衰退期因子);二是前瞻性调整,即将历史违约损失数据与宏观经济数据建立多元回归模型,将宏观经济指标预测值代入回归模型计算得到经前瞻性调整后的违约损失率预测值。

以上述向某零售企业发放的1500 万元贷款为例,2019年 6 月 30 日,甲银行基于该贷款的抵质押类型及所属组别的长期历史损失率得到该贷款的内评违约损失率为 60%,剔除跨周期因素后,该贷款的违约损失率为 50%。按宏观经济情景进行前瞻性调整后的违约损失率情况详见步骤四。

(三)估计违约风险敞口(EAD)

对于贷款业务,甲银行根据预计未来违约时点的剩余本息估计违约风险敞口。以上述向某零售企业发放的1500 万元贷款为例,2019 年 6 月 30 日,经评估,甲银行将未来 12个月的每个付息日(即每季度末月 20 日)作为预计未来违约时点。该贷款每季度末月 20 日的违约风险敞口计算如下:

2020 年 4 月 30 日,因受外部事件影响和自身运营等原因,该客户信用风险有上升迹象。经评估,甲银行认为该贷款在剩余存续期内的预计违约时点仍为剩余存续期内的每个付息日。

对于表外业务,甲银行沿用内评体系下的表外信用转换系数参数对表外业务敞口余额进行调整,即由表外业务敞口余额乘以表外信用转换系数计算得到其违约风险敞口。

步骤四:设置宏观经济情景及权重并进行前瞻性调整

根据金融工具确认计量准则,预期信用损失计量需根据对宏观经济的判断设置不同情景并确定相应的权重。

甲银行根据合理且有依据的信息(含前瞻性信息)设定了乐观、中性和悲观三种情景。同时,选用向量自回归模型预测宏观经济指标,基于其残差正态性,获得该模型内所有宏观经济指标变量在情景期内的模拟路径样本,从中选择符合关键驱动核心变量变动趋势和取值路径附近的样本,将样本均值作为不同情景下各宏观经济指标变量的取值,并结合实际业务情况调整得到各情景下的宏观经济指标预测值。然后,将宏观经济指标预测值代入Wilson 模型,计算得出三种情景下的违约概率、违约损失率等参数的预测值(即经前瞻性调整后的违约概率、违约损失率)。

以上述向某零售企业发放的1500 万元贷款为例,将采购经理人指数(PMI)、城镇失业人数的预测值代入“批发零售业”组合的回归模型,即可得到其 Logit 违约概率。经反 Logit 变换,即

,得到该组合经前瞻性调整后的违约概率。违约损失率的前瞻性调整类似。按照前述方法,2020 年 4 月 30 日,在乐观情景下,该客户经前瞻性调整后的整个存续期内违约概率(PD)为 7.5%、违约损失率(LGD)为 50%;在中性情景下,该客户经前瞻性调整后的整个存续期内违约概率为 8.2%、违约损失率为 55%;在悲观情景下,该客户经前瞻性调整后的整个存续期内违约概率为 10%、违约损失率为 70%。

甲银行综合考虑资产组合的历史损失分布、过去一段时期宏观经济指标的最好、最差和平均水平及波动率、对未来一年内经济走势的预期、过去一段时期主要社会事件对宏观经济的影响程度及相关事件预计对未来的持续影响、行业内主要机构对于宏观经济的预期等因素,将乐观、中性和悲观三种情景的权重(Wi)分别设置为 10%、80%和 10%。

步骤五:计算按宏观经济情景加权后的预期信用损失

甲银行按以下方法计算按宏观经济情景加权的预期信用损失(ECL)

以上述向某零售企业发放的1500 万元贷款为例,2020年 4 月 30 日,各宏观经济情景下的预期信用损失计算如下:

步骤六:管理层叠加调整的判断和应用

根据金融工具确认计量准则,预期信用损失模型计量结果体现了前瞻性宏观经济情景预测下的整体预期信用损失水平。当企业难以通过调整模型及其假设和参数反映经济环境变化等对预期信用损失的潜在影响时(如模型存在局限、前瞻性宏观预测指标无法反映特定组合的风险因素等),应通过管理层叠加对预期信用损失进行正向或负向的调整。

本例中,甲银行在应用Wilson 模型进行前瞻性调整时,发现受全球经济整体形势和不确定因素影响,当期宏观经济指标与历史宏观经济指标数据出现较大偏离,前瞻性调整后的违约概率与历史实际违约概率出现较大偏离,经评估,甲银行认为该偏离已超出按经验判断的合理区间。为此,甲银行综合考虑宏观经济及政策法规对各组合风险的影响程度,通过其掌握的各组合潜在风险因素以及对未来风险状况影响程度的判断等,确定了管理层叠加调整金额。甲银行对前述评估过程,包括已识别的模型局限及需进行管理层叠加调整的理由、管理层叠加的计量方法、关键假设、计量结果等进行了记录,并按照相关流程进行了审批及对外披露。在后续期间,甲银行持续关注宏观经济环境的变化及模型表现,定期评估是否仍存在模型未能反映的风险因素,以判断是否仍需进行管理层叠加调整。

考虑到零售业受全球经济整体形势和不确定因素影响较大,甲银行对于该行业的贷款适当下调了内部评级,以反映该行业借款人的整体信用风险变化,下调内部评级导致相关贷款违约概率上升,甲银行将因上述调整增提的拨备作为预期信用损失的叠加调整。

附录

Wilson 及 Merton-Vasicek 模型简介

(一)Wilson 模型

基于Wilson 模型构建预期信用损失模型,主要是通过建立贷款违约水平与宏观经济指标变动的关联和 Wilson 模型转化(包括数量变换和反向变换)而得到预期信用损失计量所需的违约概率、违约损失率等风险参数的预测值。在该模型下,历史违约概率、违约损失率等数据先经数量变换后,分别建立其与历史宏观经济指标的回归模型,然后再将不同宏观经济情景下的宏观经济指标的预测值代入前述回归模型,将得到的结果进行反向变换,从而得到不同情景下违约概率和违约损失率的预测值,是较为实用的模型方法。

以违约概率为例,Wilson 模型的使用步骤如下:

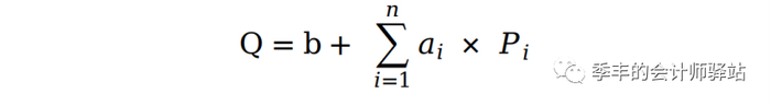
步骤1:将历史违约概率PDt进行Wilson 模型转化(即数量变换)。变换公式如下

步骤2:建立违约概率与宏观经济指标的回归模型,以确定相关的宏观经济指标及相关系数:

步骤3:将宏观经济指标预测值代入回归方程,得出 Q的预测值,通过反向变换得到违约概率的预测值。变换公式如下:

(二)Merton-Vasicek 模型

Merton-Vasicek 模型源于 Merton 模型。Merton 模型的核心思想为企业违约概率与其资产价格相关,通过计算企业的违约距离(Distance-to-Default)在正态分布下的位置,预测其违约概率。而 Vasicek 在 Merton 模型的基础上,借助了渐进单风险因子(ASRF)模型的方法论,假设银行资产的信用风险受两方面影响:一方面是债务人自身的特质性风险,

另一方面是系统性风险(宏观影响因子)。银行将Merton- Vasicek 模型用于预期信用损失计量时,通常做法是基于模型假设建立宏观影响因子 Z 与宏观经济指标的关联,将宏观经济指标变动的影响传导至 Z 因子,并最终体现为企业的预期违约率。

对于特定资产组合M,假定该组合内任意借款人的资产价值与另一借款人资产价值的相关性系数为 R【1】,某项资产价值的对数收益或者某借款人的偿还能力为 Y,则:

若违约概率(PD)为借款人的偿还能力低于违约阈值 c的可能性,则

据此,可构建违约概率(PD)与宏观影响因子 Z 的关系,并纳入前瞻性因素。其中,R 为相关性系数,计算公式可参见《商业银行资本管理办法》。

1】Vasicek 证明,若资产组合内任意借款人资产价值与另一借款人资产价值的相关性为 R,且资产价值符合正态分布时,则资产价值或者还款能力 Y 可表示为上述等式, 即 Y=√RZ+√(1-R) ε。

预期信用损失法应用案例(二)

——不以内部评级体系为基础的简化方法

【例】乙银行是一家小型商业银行,业务类型覆盖对公贷款、零售贷款等,尚未建立和实施内部评级体系。该银行的对公贷款业务具有一定的历史数据积累,基本可在三年内完成实际清收,违约贷款的平均处置周期为两年;零售贷款业务的历史数据积累期间较短、数据样本量有限。

2020年6月28日,乙银行向某国内制造业企业发放1000万元对公贷款,约定两年后到期一次还本,每季度末月 20日付息,年利率为 10%。在贷款发放时点,乙银行根据逾期天数及贷款五级风险分类等相关因素,将该贷款划分为正常类。2021 年 3 月 28 日,因受外部事件影响和自身运营等原因,该客户的信用风险有上升迹象,乙银行经评估将该客户的上述贷款下调为关注类。

乙银行在未建立和实施内部评级体系的情况下,如何确定上述对公贷款以及该行零售贷款的预期信用损失?

分析:

按照《企业会计准则第22 号——金融工具确认和计量》(财会〔2017〕7 号,以下简称金融工具确认计量准则)的规定,并结合自身管理水平以及历史数据积累等实际情况,乙银行对于对公贷款和零售贷款的预期信用损失计量采用了不同的建模方法。对于对公贷款,其建模思路与大型商业银行类似,即在基于共同信用风险特征进行风险分组并根据信用风险变化及减值情况进行阶段划分的基础上,根据违约概率、违约损失率、违约风险敞口构建预期信用损失模型,因缺乏内部评级信息,乙银行在估计违约概率、违约损失率等模型参数时采用了迁徙率等其他替代方法。对于信用卡等零售贷款,因缺乏历史数据,难以分别对违约概率和违约损失率建模,乙银行采用损失率法计量预期信用损失。具体方法如下:

(一)对公贷款

1.采用迁徙率法估计违约概率(PD)

乙银行根据产品及授信额度将对公贷款进行风险分组后,按照以下步骤得到各组违约概率:

步骤1:根据逾期天数及贷款五级风险分类中相关定性考虑因素,将每个组别细分为正常非逾期(1 档)、正常逾期(2 档)、关注非逾期(3 档)、关注逾期 0-30 天(4 档)、关注逾期 30-60 天(5 档)、关注逾期 60-90 天(6 档)和不良(7 档)等风险组别。

步骤2:以各季度初为期初时点,观察12 个月后拖欠状态的变化情况,以此计算各风险组别之间的迁徙率和违约概率。乙银行用 X1表示某风险组别期初状态为 1 档的借款人数量,用 X11、X12……X17分别表示该 X1位借款人 12 个月后状态为 1 档、2 档、3 档、4 档、5 档、6 档、7 档的借款人数量,该风险组别期初的 1 档借款人在 12 个月后迁徙至 2 档的比率为 X12/X1(即为迁徙率)。类似地,X23/X2表示期初为 2 档、12 个月后迁徙至 3 档的迁徙率。乙银行按此计算出该风险组别的迁徙率如下:

乙银行将“不良”(即 7 档)定义为“违约”,因此,对于期初为 1 档的贷款,12 个月违约概率为 X17/X1;对于期初为 2 档的贷款,12 个月违约概率为 X27/X2;以此类推。

步骤3:假定新发放贷款均为正常非逾期类(即1 档),通过 1 档借款人的违约概率计算正常非逾期类贷款的历史逐年实际违约概率,即 PDs1=X17/X1。

步骤4:通过分析,乙银行认为“分组贷款当年实际违约概率(PDs1)/分组贷款历史实际违约概率平均值(PD 均)”可反映宏观经济对其贷款组合的影响,将其定义为宏观影响因子 Z,并基于第三方软件通过遍历多元回归得到宏观影响因子 Z 与宏观经济指标的回归模型。

步骤5:通过迁徙矩阵自乘的方法生成累计违约概率(例如,N 年期的累计违约概率通过迁徙矩阵 M 的 N 次自乘的方法生成),按照月度折算未来 12 个月的违约概率,并推导得出整个存续期内违约概率。

2020 年 6 月 28 日向某制造业企业发放的 1000 万元贷款为例,为获取正常非逾期类贷款的违约概率,按前述步骤开展以下工作:

1)将所有的对公客户分为 7 档;

2)分别计算每档客户的迁徙率。2020 年前两档的迁徙情况如下:每 100 个 1 档客户中有 2 个迁徙到 7 档,从而计算得出 2020 年正常非逾期类贷款的历史实际违约概率,即 PDs1=X17/X1=2/100=2%;

3)根据上述方法计算过去 10 年正常非逾期类贷款每5年的历史实际违约概率,并得到过去 10 年的历史实际违约概率平均值(PD 均)为 2.5%。在此基础上,计算 2020 年的宏观影响因子,即 Z10=PDs1/PD 均=2%/2.5%=0.8,并构建宏观影响因子 Z 与宏观经济指标的回归模型以确定适当的宏观经济指标及相关系数。具体模型如下:

2020 年 6 月 30 日,乙银行根据上述信息计算该贷款的违约概率如下:

2021 年 3 月 28 日,该客户因受外部事件影响,信用风险有上升迹象,乙银行将该笔贷款下调为关注类贷款,该评级对应的未来 12 个月违约概率为 7%。2021 年 3 月 31 日,乙银行将该笔贷款调整为第二阶段,按照整个存续期内预期信用损失计提信用损失准备,此时该贷款剩余期限为 15 个月,违约概率计算如下:

按宏观经济情景进行前瞻性调整后的违约概率详见“4. 设置宏观经济情景及权重并进行前瞻性调整”部分。

实务中,对于缺失逾期信息的贷款,也可以依据贷款五级风险分类信息,参照上述迁徙率的方法估计违约概率。

2.应用自身违约清收数据估计违约损失率(LGD)

乙银行对公贷款业务有较好的违约清收数据积累,因此,乙银行通过应用自身违约清收数据来构建违约损失率模型。

具体步骤如下:

步骤1:根据产品类型、抵质押担保方式等维度将对公贷款划分为不同的组别(即违约损失率分组)。

步骤2:确定违约损失率的计算方法。乙银行对公贷款基本在三年内完成实际清收,在计算违约损失率时乙银行将回收期设置为三年,具体计算方法如下:

步骤3:计算历史违约损失率。乙银行汇总了各年度已完成处置的违约贷款风险敞口的损失数据(回收期超过三年的全部视同完成处置),具体如下:

步骤4:通过分析,乙银行认为按照上述方法得到的违约损失率可反映当时宏观经济对其贷款组合的影响,因此,将各年的违约损失率按照 Wilson 模型(详见附录)转化后的结果定义为当年的宏观影响因子 Z,即,

步骤5:基于第三方软件通过遍历多元回归构建违约损失率与宏观经济指标的回归模型,以确定适当的宏观经济指标及相关系数。乙银行根据其实际情况,选取房地产价格、固定资产投资增速和广义货币供应(M2)增长作为影响违约损失率的关键宏观经济指标变量构建回归模型。

以上述向某制造业企业发放的1000 万元抵押贷款为例,在计算违约损失率时,乙银行首先根据贷款类型和抵质押担保方式进行违约损失率分组。根据 2019 年已完成处置的违约对公贷款的损失数据,乙银行计算得出 2019 年对公贷款的实际违约损失率为 65%,通过 Wilson 模型转化得到宏观影响因子 Z 为 0.62。按宏观经济情景进行前瞻性调整后的违约损失率详见“4. 设置宏观经济情景及权重并进行前瞻性调整”部分。

实务中,贷款违约清收数据不足以建模的,也可以根据“不良贷款处置实际损失金额/不良贷款处置金额”得到的平均违约损失率简化估算违约损失率。其中:不良贷款处置损失金额包括已核销贷款、批量转让损失、证券化损失及以物抵债损失等。因清收样本量较小或个案回收率偏高或偏低等原因导致采用前述方法估算的违约损失率明显不合理的,可以参考金融监管机构给定的违约损失率或通过限制偏离度等方式作出合理调整。

3.确定违约风险敞口(EAD)

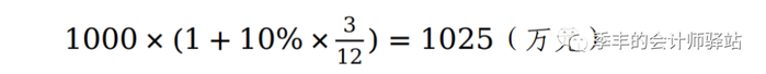
对于贷款业务,乙银行根据预计未来违约时点的剩余本息估计违约风险敞口。以上述向某制造业企业发放的1000万元对公贷款为例,2020 年 6 月 30 日,经评估,乙银行将未来 12 个月的每个付息日(即每季度末月 20 日)作为预计未来违约时点。该贷款每季度末月 20 日的违约风险敞口计算如下:

2021 年 3 月 31 日,因受外部事件影响和自身运营等原因,该客户的信用风险有上升迹象。经评估,乙银行认为该贷款在剩余存续期内的预计违约时点仍为剩余存续期内的每个付息日。

4.设置宏观经济情景及权重并进行前瞻性调整

根据金融工具确认计量准则,预期信用损失计量需根据对宏观经济的判断设置不同情景并确定相应的权重。

乙银行根据合理且有依据的信息(含前瞻性信息)设定了乐观、中性和悲观三种情景。同时,选用向量自回归模型预测宏观经济指标,基于其残差正态性,获得该模型内所有宏观经济指标变量在情景期内的模拟路径样本,从中选择符合关键驱动核心变量变动趋势和取值路径附近的样本,将样本均值作为不同情景下各宏观经济指标变量的取值,并结合实际业务情况调整得到各情景下的宏观经济指标预测值。然后,将宏观经济指标预测值代入Wilson 模型,计算得出三种情景下的违约概率、违约损失率等参数的预测值(即经前瞻性调整后的违约概率、违约损失率)。

以上述向某制造业企业发放的1000 万元对公贷款为例,将房地产价格、固定资产投资增速和广义货币供应(M2)增长的预测值代入 Wilson 模型得到其经前瞻性调整后的违约概率。违约损失率的前瞻性调整类似。按照前述方法,2021年 3 月 31 日,在乐观情景下,该客户经前瞻性调整后的整个存续期内违约概率(PD)为 8.0%、违约损失率(LGD)为 60%;在中性情景下,该客户经前瞻性调整后的整个存续期内违约概率为 8.8%、违约损失率为 70%;在悲观情景下,该客户经前瞻性调整后的整个存续期内违约概率为 9.2%、违约损失率为 80%。

实务中,企业经评估后,认为外部权威预测能够代表本企业在中性情景下对宏观经济指标的预测的,也可以基于该权威预测数据进行上述估计。

乙银行综合考虑资产组合的历史损失分布、过去一段时期宏观经济因子的最好、最差和平均水平及波动率、对未来一年内经济走势的预期、过去一段时期主要社会事件对宏观经济的影响程度及相关事件预计对未来的持续影响、行业内主要机构对于宏观经济的预期等因素后,将乐观、中性和悲观三种宏观经济情景的权重(Wi)分别设置为 20%、60%和20%。

5.计算按宏观经济情景加权后的预期信用损失

乙银行按以下方法计算按宏观经济情景加权的预期信用损失:

以上述向某制造业企业发放的1 000 万元对公贷款为例,2021 年 3 月 31 日,各宏观经济情景下的预期信用损失计算如下:

(二)零售贷款

1.运用损失率法计量预期信用损失

对于零售贷款,因缺少历史违约数据等原因,乙银行采用损失率法计量预期信用损失。具体步骤如下:

步骤1:根据逾期天数将零售贷款分成不同的组别。

步骤2:对每一组别,根据历史数据计算历年零售贷款的损失率。

步骤3:通过分析,乙银行认为“敞口当年实际损失金额(LR)/敞口年初余额(BAL)”可反映当年宏观经济对其贷款组合的影响,并将其定义为宏观影响因子 Z。乙银行按此计算出 2011 年至 2020 年各年的宏观影响因子 Z。

步骤4:选取相应宏观经济指标。

乙银行将2011 年至 2020 年的宏观影响因子 Z 与国内生产总值(GDP)、居民消费价格指数(CPI)、工业生产者出厂价格(PPI)和房地产价格指数(HPI)等宏观经济指标进行相关性分析及回归分析,得到宏观影响因子 Z 与 GDP、HPI 具有显著的负相关关系,相关系数分别为 B1、B2,与CPI、PPI 相关关系不显著,由此得到宏观影响因子与宏观经济指标的回归模型如下:

步骤5:宏观经济情景设置及预期信用损失计算。

乙银行通过对标外部经济因子预测值及内部专家判断,设定在不同经济情景下相应宏观经济指标的预测值(其中包括国内生产总值、房地产价格指数在未来一年的预测值)。

乙银行将预测值代入上述公式得到宏观影响因子Z 在未来一年的预测值,并应用 Wilson 模型将宏观影响因子 Z 与历史长期损失率相结合,得到每个组别未来一年的预期信用损失比例,用以计算预期信用损失金额。

2.具体应用

以信用卡贷款为例,乙银行将其分成“未逾期”、“逾期 30 天以内”、“逾期 30-60 天”等组别。对“逾期 30 天”的组别,计算 2020 年信用卡贷款的损失率,通过“敞口当年实际损失金额(LR)/敞口年初余额(BAL)”计算得到2020 年的宏观影响因子 Z 为 4%。乙银行分别将乐观、中性和悲观三个情景下国内生产总值(GDP)和房地产价格指数(HPI)的未来一年的预测值代入下列模型得到宏观影响因子未来一年的预测值。然后,再应用 Wilson 模型得到乐观、中性和悲观情景下未来一年的预期信用损失比例分别为3.5%、4.5%和 6%。

乙银行按照乐观、中性和悲观情景的权重(分别为20%、60%和 20%)进行加权,得出未来一年的预期信用损失比例为 4.6%,用以计算该组别的预期信用损失金额

附录:Wilson 及 Merton-Vasicek 模型简介

【内容同上面“预期信用损失法应用案例(一)”附录】

加载中...