新浪财经

对不起,中年发福真不关代谢什么事

央视网

关注

中年人的世界里,没有什么是容易的,除了,发福。

帅如莱昂纳多,在40岁那年,也免不了成为海滩边放飞自我、疯玩水枪的胖大叔。内娱老鲜肉,诸如沙溢、沈腾,肉眼可见比年轻时圆润了不少。

明星都这样,更别提普通人了。

毕业几年的同学聚会上,当年还算体格匀称的老同学,一个个像吹气球似的膨胀起来。年轻时经常胡吃海喝,奶茶啤酒小烧烤,体形还过得去;人到中年,老实本分,啤酒肚却弹来弹去。

为什么人到中年大多难逃发福?

有多少人没逃过中年发福

中年发福是个普遍现象。

2021年,中国疾控中心领衔的科研团队在《柳叶刀》期刊上发表了一项关于中国人体重的研究[1]。

以2004-2018年间,中国城镇男性和女性不同年龄段的BMI指数变化为例。

无论男女,18-29岁是BMI指数最低的年龄段。也就是说,30岁以前,可能是绝大多数人“最瘦”的高光时刻了。

18到29岁,是BMI指数最低的年龄段

一旦到了下一个10年——也就是30-39岁,BMI指数明显迈上了一个新台阶,远远甩开18-29岁年龄段一大截。

而且,男女之间的发福还不太一样。

女性发福属于“持续性变胖”,BMI指数每10年就会迈上一个新台阶。直到50岁,这种发福才停下来。

相比之下,男性发福属于“猝然变胖”。30-49岁的中年男人就达到BMI指数的巅峰水平。但在随后的岁月里,BMI指数放缓甚至有明显下降趋势。

图为2004-2010年间,城乡男性女性不同年龄段平均BMI指数变化[3]

不过,一个更悲催的事实是,发福还不仅仅是均匀地长胖(那样也好看些)。看看中年人傲娇的啤酒肚就知道,发福的肉,主要长在腰上。

一项针对7283名江苏18-69岁居民的调查表明,中年时,腰围真的会增加。18-29岁的男性,平均腰围82.3cm,到了30+的年纪,就已经偷偷膨胀了2.3cm,而40-50岁则相对趋于稳定,腰围平均值是84.9cm。

女性也没能逃过,18-29岁年轻姑娘们腰围平均值是74.6cm,而30多岁时,则变成了77.5cm[2]。

这种中年人最容易有的啤酒肚,其实就是中心型肥胖。

发福,其实就是中心型肥胖

有一天整理衣橱你可能会发现,几年前买的牛仔裤、连衣裙,突然就拉不上拉链、扣不住扣子了。

如果你是北方人,在中年发福这件事上,你可能比你的南方同学更有天赋。

一项基于1989—2018 年中国 15 个省18-35岁成年人肥胖变化的研究发现,北方人的平均BMI指数是24.04,而南方人是22.94。相同年龄段,南北BMI差异很明显[3]。

这也难怪,南北中年发福的男人都不少,但北方大爷的啤酒肚最是一枝独秀。

中年发福,真的不怪代谢

就像有人偷窥了我们的生活一样,人固有一老,中年固有一肥,这似乎是不可逆转的自然规律。

为什么人到中年,无可避免地会发福?

关于这个问题,我们听到的最多的答案可能是:“年龄大了,代谢不行啦。”

2021年,一篇发表在顶级期刊《Science》上,研究了人体代谢在整个生命历程中变化的论文,颠覆了这个传统认知:中年发福,不是代谢的问题[4]。

中年发福以后,以前的衣服突然穿不上了 

这项研究的主要团队来自美国杜克大学,同时由近100个国际团队共同参与。他们找了来自29个国家的6421名受试者,下至8天小婴儿,上至95岁老年人,尽可能采集了遍布各个年龄段的数据。

他们采用“双标水法”来计算能量消耗。这项技术的原理是,让受试者饮用含有“同位素”的水,再通过分析尿液中标记物的峰度值变化,来推测机体的能量代谢情况。作为测量自由活动下,人体日常能量消耗的“金标准”,虽然它非常昂贵,但也十分精准靠谱。

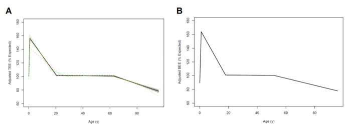
首先,这项研究再次印证,中年发福确实存在。下面这个图是随着年龄增长,体重的变化。看趋势,20多岁后,体重确实有在抬升,并在中年时期形成一座“高地”。

体重在中年形成一个小高地[5]

这增长的重量,主要是由“脂肪”贡献的。中年时期,去脂体重(也就是肌肉之类的)基本没变、很稳定,但脂肪含量和体脂率在上升。

也就是说,中年发福,大概率是纯纯地长肥肉了。

但这种体重和体脂率的变化,真的跟身体的代谢水平有关吗?

一生中,代谢水平确实有几次大起大落。但很遗憾,这些起起落落都跟更年期和中年人没太大关系。

这是研究中调整后的总代谢(图A)和基础代谢(图B)随着年龄增长的变化趋势。代谢水平可以分为4个阶段。

总代谢(图A)和基础代谢(图B)都在20-60岁没啥大变化

0-1岁的婴儿期,代谢水平呈爆炸式增长。9-15个月的小婴儿,总代谢和基础代谢率都比成年人高出近50%。

然而,到了1-20岁,也就是整个幼儿期到青年时期,总代谢每年在以约3%的速度稳步下降,直到回落到成人水平。

20岁前代谢水平巨幅升降,可能为了满足生长和发育的代谢需求。

而从20岁-60岁,这漫长的青壮年至中年生涯、发福的高发阶段,代谢支出一直很稳定。甚至在女性怀孕和产后,也基本没什么变化。

婴儿时期,总代谢水平突飞猛进

直到60岁之后,老人的整体代谢水平开始下降。

也就是说,BMI指数和腰围突飞猛进的中年阶段,你的新陈代谢跟你在 20 岁时一样活跃。

另一项横跨4-91岁受众样本的研究结果也十分相似,总代谢水平在成年早期达到峰值,在退休年龄前后下降。在这项研究里,女性的17-27岁,和男性的28-43岁,属于代谢的黄金时期[5]。

这些发现让人为中年发福而找的代谢托词,突然变得站不住脚了。30、40岁的中年男人们面面相觑:咱没有胖的理由啊。

中年发福的真正原因,是它

中年发福的真正原因,其实每个“啤酒肚”心里都清楚。

你肯定也发现了,同学会上有人大腹便便,也有那么几个苗条如初。

抛开先天的致胖因子、遗传因素不谈,BMI指数确实在社会经济指标上,比如收入水平、职业类型、受教育程度,呈现出很大差异。

比如,疾控中心研究团队发表在《柳叶刀》期刊上的研究还发现,不同学历水平的男性群体和女性群体相比,BMI指数刚好倒挂[1]。

在发福这件事上,男性更有天赋

学历越高的男性,整体就越胖——受教育水平最高的城市和农村男性的平均BMI比受教育水平最低的男性高出1.1kg/m²左右。然而女性却相反。大学学历的女性BMI指数远低于更低学历的。

这项研究没有进一步解释这种错位。

但在这篇论文的附录里,作者提到,中国肥胖的增长是社会经济之类的系统因素和城市化之类的环境因素,共同导致的不健康的饮食和体力缺乏推动的。

也就是说,生活方式太垃圾了——而这也正是很多中年人面临的困境。

比如中年人的啤酒肚,可能跟喝酒逃不开关系。

在一项研究中,在武汉市随机抽取15至65岁的人,面对面询问他们的饮酒状况。结果发现,随着年龄增长,他们的饮酒量也水涨船高。尤其是40-65岁的男性每年的平均饮酒频率超过160次,相当于每周至少饮酒3次[6]。

这项研究中,中年男人的饮酒次数随着年龄增长不断攀升[6]

是中年人太爱喝酒自作自受吗?

不是的,很多应酬的酒局逃不开、躲不掉,为了人情面子、为了生意单子,硬着头皮就上了。

再加上工作项目忙起来后,有时吃了上顿没下顿,有时又胡吃海塞暴饮暴食,不规律的三餐饮食也是长胖大杀器。

更关键的是,吃得多,还不爱运动。

有多少上班族,上班就是久坐,下班就是躺倒。为健身做得最大的努力,就是把减脂视频添加到收藏夹吃灰。

久坐不动,确实会让人看起来更圆润。研究发现,每天久坐时间增加1.5小时,BMI就会相应增加0.19、腰围增加0.57cm、体脂率上升0.44%[7]。

中年人的睡眠,也是个问题。

三十而立,一夜好眠也随之远去,每天睡够8小时可能已是奢求。一项对2008名11-70岁人群睡眠时间的研究表明,30岁以上的人,每天睡眠时间约7.5小时,且随着年龄增长,睡眠时间进一步下降[8]。

睡眠不足会导致代谢相关疾病的风险增加,而中年人代谢受睡眠减少的影响,比年轻人更大。这简直是难解的恶性循环。

一个让中年人气得跺脚的结论是:因为代谢受到影响,因此光是睡眠不足,也会导致体重增加[9]。

失眠,中年人生活中的常客

一句话总结,让你发福的不是代谢,而是你习以为常的酒局、夜宵、外卖、熬夜,还不运动。

除了工作未必完全顺心,房贷车贷、父母养老、孩子教育、婚姻关系,每一项可能鸡飞狗跳得让人头大。影视剧中常看到,中年男人下班后,迟迟不愿回家,而是选择停在地下车库里,留给自己一根烟的时间,正是需要舒缓压力的人间真实。

压力还容易引起皮质醇水平升高,皮质醇与腹部脂肪堆积紧密相关。压力会影响体重的增加。当人处于愤怒、沮丧、焦虑、抑郁等心情下时,甚至可能引发情绪性进食[10]。

研究发现,日常压力越大,越容易买更多零食。长期处在压力中,暴饮暴食成了一种发泄途径[11]。

如果中年发福有另一个名字,那它一定叫做过劳肥或者压力肥。

本文科学性已由女王大学病理及分子医学硕士伍丽青审核

作者|鼠桃桃

加载中...