新浪财经

【银河金工马普凡】行为金融理论和经济不确定性因子构建与应用

财经自媒体

关注

【报告导读】

1. 我国沪深A股市场前景理论效应显著。

2. 经济政策不确定性从宏观经济向金融市场传递风险。

3. 经济不确定性因子有效性和稳定性较好,与股价呈负相关关系。

我国沪深A股市场前景理论效应显著

行为金融学前景理论认为,投资者面对获利时资产预期收益率与风险负相关,倾向于规避风险卖出资产,获得确定收益,面对亏损时投资者资产预期收益率与风险正相关,倾向于追求风险,继续持有高风险资产。本文借鉴Nicholas,Barberis和Abhiroop(2016)的研究方法,计算个股前景理论价值,结果表明第一组(P1)和第五组收益(P5)净值存在显著差异,即我国沪深A股市场存在较为显著的前景理论效应。

经济政策不确定性从宏观经济向金融市场传递风险

经济政策对于宏观经济运行有重大影响,且经济政策不确定性会对经济产生负向影响。基于流动性偏好理论,当政策不确定性上升时,投资者风险偏好转向黄金和债券等高流动性资产,流入股市的资金减少,同时投资者对股票等资产要求更高的风险溢价补偿,推动股票估值下降,导致股票价格下跌。基于行为金融学理论,经济政策不确定性会显著提高投资者的损失厌恶,投资者出于审慎会倾向于减少或推迟投资,使得资产预期收益下降。本文借鉴Huang,Luk(2020)利用文本分析法构建的中国经济政策不确定性指数(EPU),研究如何在经济政策不确定性下把握投资机会

经济不确定性因子有效性和稳定性较好,与股价呈负相关关系

本文利用滚动回归的方式计算经济不确定性风险暴露敏感因子,即股票超额收益率在经济不确定性指数上的风险暴露绝对值,经单因子有效性检验,发现经济不确定性风险暴露敏感因子有效性和稳定性较好,且与股票价格呈负相关关系, RankIC均值为-0.047,年化RankIC_IR为-1.663,累计RankIC总体为负并保持单调下降趋势,即对经济政策不确定性不敏感的股票能获得较高的收益。我们通过“P10-P1”构建多空组合,该多空组合的年化收益率为5.55%。

基于行为金融学前景理论,我们剖析了该因子溢价产生的原因:存在确定效应与反射效应,实证证明在沪深A股市场确定效应大于反射效应。由该因子构造的定价因子加入Fama-French五因子等传统定价模型后模型定价效率显著提高。我们基于该因子构建了指数增强策略、TOP30组合策略和“固收+TOP30”资产组合策略。

因子应用和组合构建

因子指数增强策略

为了更好地控制跟踪误差,本文使用线性约束优化求解的方式分别对中证500指数和沪深300指数进行增强测试,回测窗口为2011年1月至2022年12月,选股池为沪深A股所有股票,月末调仓,不计交易成本。我们得到的因子是负向因子,因此组合预期收益率最大化等价于因子暴露最小化。在构建业绩增强组合时,本文设定业绩增强组合相对指数行业权重的偏离度不超过1%,Barra 风格因子暴露偏离度不超过 1%,个股权重偏离度不超过1%,指数成分股权重之和大于等于80%:

其中, 表示因子暴露,表示待优化的权重,表示Barra风格因子暴露矩阵,具体包括贝塔、动量、规模、盈利率、残差波动率、成长、账面-市值比、流动性和非线性市值等Barra风格因子,表示行业哑变量矩阵,分别表示风格暴露的偏离上下限,分别表示行业偏离上下限, 分别表示权重偏离的上下限,表示股票池个股是否位于指数成分股的示性向量,表示成分股权重之和下限。约束条件的参数设置为-0.01,设置为0.01,设置为0.8,分别设置为-0.01和0.01。

指数增强策略结果如图9和表7所示。沪深300指数增强策略年化收益率为9.97%,夏普比率为0.527,索提诺比率为0.877Calmar比率为0.268,表现显著好于沪深300指数,最大回撤为37.22%,小于沪深300指数40.56%的回撤。近两年指数增强策略的年化收益率为2.60%,远超沪深300指数的-13.80%,夏普比率为0.230,索提诺比率为0.354,最大回撤为17.95%Calmar比率为0.145,表现较为理想。

中证500指数增强策略年化收益率为9.83%,夏普比率为0.505,索提诺比率为0.786,Calmar比率为0.218,表现显著好于中证500指数,最大回撤为45.03%,小于中证500指数58.08%的回撤。

下面我们设置交易成本为双边千分之一点五,回测窗口为2021年6月至2022年12月。窗口期内中证500指数增强策略年化收益率为-8.66%,夏普比率为0.078,索提诺比率为0.102,Calmar比率为-0.015,表现显著好于中证500指数,最大回撤为23.36%,小于中证500指数31.57%的回撤。沪深300指数增强策略年化收益率为-11.87%,夏普比率为-0.270,索提诺比率为-0.382,Calmar比率为-0.446,最大回撤为26.61%,小于沪深300指数34.31%的回撤。由此可见,该因子对中证500和沪深300指数均有增强作用。

集中持仓组合及股债组合策略

因子的表现在集中持仓的组合中同样可以产生有效的作用。我们分别选取中证1000指数和创业板指数成分股中每月该因子值排名最靠前的30只股票等权配置,交易成本为双边千分之一点五,回测时间为2020年1月2023年3月,TOP30组合的年化收益率为20.99%,夏普比率为0.935,索提诺比率为1.268,Calmar比率为0.682,表现显著好于中证1000指数,最大回撤为30.77%,小于中证1000指数34.62%的回撤。2020年年化收益率为31.68%,2021年年化收益率为36.18%,2022年年化收益率为-10.65%。

创业板指数成分股TOP30组合的年化收益率为22.35%,夏普比率为0.900,索提诺比率为1.270,Calmar比率为0.585,表现显著好于创业板指数,最大回撤为38.22%,小于创业板指数39.65%的回撤。2020年年化收益率为78.18%,2021年年化收益率为38.03%,2022年年化收益率为-30.74%。

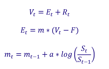
我们基于TOP30组合结合恒定比例投资组合保险策略(CPPI),构建“固收+TOP30组合”资产组合。CPPI策略通过对投资组合进行动态调整,使之既能提供下行风险的保护,又能最大化潜在收益。CPPI策略将资产分配在低风险资产和风险资产上,通过定量化的资产配置,用投资于低风险资产上的现金净流入来冲抵风险资产组合潜在的可能亏损,并通过投资于风险资产来获得超额收益。

其中,V_t表示t时期投资组合的资产总值,E_t表示t时刻风险资产(TOP30组合)的价值,R_t为t时刻投资无风险资产(货币型基金)的价值,m为风险乘数,F为组合的保本额度。在这里,我们引入一个正向动态风险乘数调整因子a,对 CPPI策略的风险乘数m动态调整,当股价上涨时,风险乘数 m 随收益率上涨而上涨,能捕捉牛市盈利;股价下跌时,风险乘数 m 随收益率下跌而下跌,由此起到向下保护的目的。

我们选取中债1-3年信用债指数作为无风险资产,TOP30组合的交易成本为双边千分之一点五,m初值为1,a为0.2,F为0.7,回测时间为2020年1月2023年3月,“固收+TOP30”组合的年化收益率为8.51%,夏普比率为1.023,索提诺比率为1.389,Calmar比率为0.676,表现好于中证1000指数,最大回撤为12.58%,小于中证1000指数34.62%的回撤。

创业板指数成分股TOP30组合的年化收益率为9.04%,夏普比率为0.843,索提诺比率为1.183,Calmar比率为0.480,表现好于创业板指数,最大回撤为18.81%,远小于创业板指数22.76%的回撤。

总结与展望

本文利用滚动回归的方式计算经济不确定性风险暴露敏感因子,即股票超额收益率在经济不确定性指数上的风险暴露绝对值,经单因子有效性检验,发现经济不确定性风险暴露敏感因子有效性和稳定性较好,且与股票价格呈负相关关系,即对经济政策不确定性不敏感的股票能获得较高的收益。基于行为金融学前景理论,我们剖析了该因子溢价产生的原因:存在确定效应与反射效应,且实证证明在沪深A股市场,确定效应大于反射效应。由经济不确定性风险暴露敏感因子构造的定价因子SMI加入Fama-French五因子等传统定价模型后,可显著提高模型定价效率。基于中证500指数和沪深300指数的单因子指数增强策略表现较为理想。本文对于如何在经济政策不确定性的宏观环境下把握投资机会具有一定理论和实践意义。

未来我们将持续追踪和优化该因子构建的指数增强组合和“固收+TOP30组合”策略,为投资者提供实现持续、稳健的超额收益的指数增强策略模型。

历史数据不能外推,本文仅提供数据统计和以历史数据测算提供的判断依据,不代表投资建议。

本文摘自:中国银河证券2023年4月14日发布的研究报告《【银河金工】行为金融理论和经济不确定性因子构建与应用》

分析师:马普凡

评级体系:

推荐:行业指数超越基准指数平均回报20%及以上。

谨慎推荐:行业指数超越基准指数平均回报。

中性:行业指数与基准指数平均回报相当。

回避:行业指数低于基准指数平均回报10%及以上。

推荐:指未来6-12个月,公司股价超越分析师(或分析师团队)所覆盖股票平均回报20%及以上。

谨慎推荐:指未来6-12个月,公司股价超越分析师(或分析师团队)所覆盖股票平均回报10%-20%。

中性:指未来6-12个月,公司股价与分析师(或分析师团队)所覆盖股票平均回报相当。

回避:指未来6-12个月,公司股价低于分析师(或分析师团队)所覆盖股票平均回报10%及以上。

加载中...