新浪财经

中国水利水电工程发展丨Engineering

媒体滚动 2023.04.10 13:01

本文选自中国工程院院刊《Engineering》2016年第3期

作者:贾金生

来源:A Technical Review of Hydro-Project Development in China[J].Engineering,2016,2(3):302-312.

中国是水旱灾害频繁发生的国家,化害为利历来是治国安邦的重要大事。几千年的中华文明史,是一部水患史,也是一部江河治理史。新中国成立以来,我们修建了众多的大坝、跨流域调水工程、抽水蓄能电站等,成为世界上拥有水坝数量最多的国家,是名副其实的水利水电大国。

中国水利水电研究院教授级高级工程师贾金生在《Engineering》2016年第3期中撰文,总结了中国水利水电工程的发展,并与国外的情况进行了比较,对高坝建设安全保障、江河治理与非均匀不平衡输沙理论、跨流域调水工程、巨型水电机组、抽水蓄能电站、地下洞室以及生态保护等方面的重大技术进展进行了阐述。

一、中国水利水电工程发展及与国外比较

中国是水旱灾害频繁发生的国家,在1949年之前的2000年里,全国范围内共发生过1092次洪灾、1056次旱灾。1920年华北大旱,饿死50多万人;1931年长江洪灾,死亡14.5万人。为确保防洪安全、供水安全,提升非化石能源占比,1949年以来中国修建了众多的大坝、跨流域调水工程、抽水蓄能电站等。当前中国每年的水灾损失一般低于国民经济总量的2%。

大坝是水利水电发展最重要的标志。历史没有明确记载第一座大坝何时产生,但公认中国、印度、伊朗、埃及是最早建设大坝的国家。据记载,公元1000年以前坝高超过30m的大坝只有3座,最高的是中国浮山堰土坝(坝高48m);1900年以前坝高超过30m的大坝只有31座,最高的是法国Gouffred’Enfer砌石重力拱坝(坝高60m)。

1900年之后,世界各国大力发展水利水电。与国际比较,中国水利水电发展可分为四个阶段

1900—1949年为第一阶段,中国高于30m以上的大坝只有21座,总库容约2.8×1010 m3,水电总装机容量为5.4×105 kW。当时的中国水灾是心腹大患,基本是大雨大灾、小雨小灾、无雨旱灾,技术落后。

第二阶段从1949年新中国成立至1978年改革开放开始,这一时期中国是国际上修建水库大坝最活跃的国家,30m以上的大坝由21座增加到3651座,总库容增加到约2.989×1011m3,水电总装机容量增加到1.867×107 kW,大坝建设的主要目的是防洪、灌溉等。由于受技术、投资等因素制约,虽然取得了很大的成就,但总体上与发达国家相比还比较落后。

第三阶段从改革开放开始至2000年,以二滩等特大型大坝建成为标志,中国水利水电建设实现了质的突破,由追赶世界水平到不少方面居于国际先进和领先水平,很多工程经受了1998年大洪水、2008年汶川大地震的严峻考验。这一阶段工程的突出特点是设计质量高、施工速度快、安全性好,普遍达到了预期目标。

21世纪以来,以三峡、南水北调工程投入运行为标志,中国进入了自主创新、引领发展的第四阶段,先后竣工的小湾、龙滩、水布垭、锦屏一级等工程,建设技术不断刷新世界纪录。这一阶段中国更加关注巨型工程和超高坝的安全,注重环境保护,在很多领域居于国际引领地位,同时也全面参与国际水利水电建设市场,拥有一半以上的国际市场份额。

截至2014年,中国建成各类水库9.8万多座,总库容为8.166×1011m3,达到全国河川年径流量的29%;农田有效灌溉面积达6.9×107 hm2,占世界的23%;已建、在建坝高超过30m的大坝6539座,占世界的43%;已建水电总装机容量超过3×108kW,占世界的27%;已建抽水蓄能电站总装机容量达2.211×107  kW,占世界的12%;输水干渠长度超过1.38×104 km,水工隧洞长度超过1×104 km。中国已成为世界上水库大坝数量最多、农田灌溉面积最大、水电总装机容量最大、调水工程里程最长的国家,与国际情况的比较见图1、图2及表1至表3。

表1 世界坝高前10名大坝

表2 世界库容前10名水库

The largest reservoir in China is the Three Gorges Reservoir with a storage capacity of 4.505 × 1010 m3, ranked the 24th in the world.

表3 世界装机容量前10名的工程

中国建设了世界上最多的水利水电工程,也采取了最严格的水资源管理制度,要求以水定城、以水定产,但由于人口众多、水资源时空分布不均,与发达国家比,依然需继续推进工程建设。基于约100个国家的数据,比较了水资源开发度与人类发展指数(HDI)的相关关系(图3、图4),HDI是衡量一个国家综合国力的重要指标。由此可见发达国家人类发展指数高(预期寿命、教育水平、人均GDP),对应的水资源开发度一般也高。2014年中国人类发展指数为0.727,水电开发度为52%,人均库容约600 m3,基本符合较发达的发展中国家的指标,说明中国的水库和水电建设与国民经济社会发展的水平总体是协调的

二、坝建设安全保障技术

中国土石坝、重力坝、拱坝、胶结颗粒料坝发展在文献中已有详述,在高坝建设中,中国特别关注安全,发展了很多新理念、新技术。

(一)高混凝土坝的真实性态仿真、抗高压水劈裂与材料配制

混凝土坝是世界高坝建设的主要坝型之一,在200m以上的高坝中,其占比超过60%,在中国占比为56%。为开发水资源,全球还将修建一系列高混凝土坝,因此保障高坝安全意义重大。

20世纪高混凝土坝的发展取得了巨大的成功,同时也有惨痛教训。胡佛、英古力、大迪克逊、伊泰普等高混凝土坝建设成绩卓著,引领了高混凝土坝的发展。奥地利科恩布莱恩(图5)、美国德沃夏克、前苏联萨扬舒申斯克等高坝都发生过严重开裂漏水,修补加固费用巨大;法国马尔帕塞拱坝因坝肩失稳发生溃决,给生命、财产带来巨大损失;中国也有高混凝土坝发生严重裂缝、高压水劈裂等影响安全的实例。

众多事故表明,传统计算方法和建设技术难以满足高混凝土坝安全建设的需要,主要表现为:

①传统方法算出的应力、变形、稳定与真实情况差别大,大坝性态预测误差大;

②大坝材料的高强度与高抗裂之间矛盾突出,采用传统方法配制难以兼顾;

③高混凝土坝高压水劈裂风险高、劈裂后危害严重。

为实现大坝“性态可预测、安全可控制”,基于对国内外已建15座典型拱坝应力、开裂范围的分析,提出了适用于300m级特高坝的有限元等效应力方法和应力控制标准,提出了变形体时程动态稳定分析方法,采用改进的动接触力模型模拟坝基岩体各滑裂面在静力和地震作用下张开、黏着、滑移的非线性力学行为,提出了局部变形累积达到临界状态、控制性位移出现拐点这一新的定量评价准则,建立了大坝稳定和大坝极限抗震能力评价新体系。传统方法预测大坝性态时误差大,位移预测值与观测结果相差普遍大于30%,坝踵应力状态有时与观测值相反,难以准确评估大坝的安全性态。提出了高混凝土坝后期温升模型,创立了多缝大坝高效迭代模型和排水孔幕模拟的夹层代孔列模型,实现了混凝土坝浇筑、灌浆、蓄水运行,到老化、劣化的建设运行全过程模拟,显著提高了大坝性态预测精度。小湾、锦屏一级、大岗山等特高拱坝初期蓄水至正常蓄水位时最大变形预测值(3个月)与监测值的误差分别为0.9%、0.1%和2.2%,远小于传统方法计算值与监测值的误差(分别为36.6%、76.1%、36.4%)。

为实现抗高压水劈裂,发明了全级配混凝土高压水劈裂模拟试验方法和装置,论证得出按无拉应力准则与按有压应力准则设计200m以上特高重力坝时都存在高压水劈裂风险,提出了抗高压水劈裂的设计方法和准则。发明了高混凝土坝面柔性防渗和坝前自反滤防渗结构,发明了仿真试验装置,证明了在300m水头作用下坝踵混凝土裂缝张开不超过8mm时可防止高压水劈裂。提出的柔性防渗和坝前自反滤结构与加设护坦相比更可靠。

美国胡佛大坝采用低热硅酸盐水泥,每立方米混凝土成本较三峡高30%以上,难以仿用。为保障“千年大计”的三峡工程及200m以上高混凝土坝的安全建设,发现了多元胶凝粉体的紧密堆积和复合胶凝效应,提出配制高坝混凝土的新方法,解决了传统方法配制混凝土时高强度与高抗裂难以兼顾的难题,开启了高坝工程大规模使用I级粉煤灰、石灰石粉掺合料的先例。应用于三峡三期的4×10m3混凝土,抗裂系数提升13.1%~50.0%。从图6可见当超细粉(MF)含量达到胶凝粉体20%~40%时可减少浆体用水量12%,从而可大幅度降低混凝土用水量和胶凝材料用量。

(二)面板堆石坝变形协调控制与动态稳定止水设计

现代面板堆石坝建设自1965年开始,以Cooke为代表,强调依据经验设计、小吨位振动碾薄层碾压施工。中国在20世纪80年代开始引进现代面板堆石坝技术,并在之后的发展中结合控制面板结构性裂缝,中国和巴西专家提出大坝变形控制的理念并将其应用于水布垭、洪家渡等工程。中国提出了孔隙率控制的严格指标,采用更大激振力的碾压设备,将堆石料的孔隙率控制在19%~20%,大坝最大沉降变形控制在1%坝高,具体见表4。Pinto认为提高堆石体压缩模量E对减小面板压应变是最有效的,并建立了堆石坝体变形模量E/(γH)与河谷形状因数A/H2的关系(图7)。上述认识和实践促进了面板堆石坝的发展。

在Pinto的原图基础上,补充了水布垭等10座面板堆石坝工程,可见水布垭、巴贡等面板堆石坝并不符合Pinto结论,即单独控制堆石体变形也不尽科学,需要既控制堆石体变形总量,又控制各部位变形的协调才是合理的办法。结合巴贡面板堆石坝等工程建设,提出了变形协调设计新理念,建立了变形协调的准则、判别标准和变形安全设计计算方法,按新、老理念设计的典型工程的运行情况见表4。

表4 国内外典型高面板堆石坝的统计数据

高面板堆石坝在早期发展过程中一直存在周边缝破坏漏水问题,结合水布垭面板堆石坝建设,研究提出了新的止水结构,后来归纳提出了动态稳定止水设计理念。其基本要求是在300 m高水压下,止水结构可以承受三向大变位作用,通过动态自调整形成稳定止水体系,即新的止水结构既可在正常设计工况下实现动态稳定止水,又可在非常情况下依靠具有流动止水功能的新材料弥补止水系统的缺陷。新止水设计与国外常规止水设计工程的运行效果见表5。运用面板综合渗透系数法建立了面板堆石坝渗漏评价方法,基于国内外67座面板堆石坝工程监测结果得到图8,水布垭、洪家渡等工程均居于优质区。

表5 止水效果的国内外对比

(三)高坝抗震安全

在胡佛拱坝论证中,美国垦务局开发了试载法,按拟静力法考虑0.1g的地震加速度进行抗震设防。后续的进展包括以试载法为基础的拱坝动力特性及动力反应分析等。中国在强震区建设200 m以上高坝,设计地震加速度值普遍较大,如小湾拱坝为0. 308g、溪洛渡拱坝为0. 357g、大岗山拱坝为0. 5575g(目前世界混凝土坝中最高设计值)。以陈厚群、张楚汉、林皋院士为代表的团队,开发建立了系统的混凝土大坝抗震安全分析方法,主要包括地震动输入、结构地震响应、结构抗力分析

采用随机有限断层法以面源破裂过程来考虑近场大震的地震动输入特性,采用与地震动加速度反应谱对应的“有效峰值加速度”(EPA)作为表征地震作用强度的主要抗震设计参数,概率法与确定性方法相结合,由设定地震确定设计地震反应谱。

提出了坝体与地基耦合的变形体时程动态稳定分析方法,提出了局部变形累积达到临界状态、控制点位移出现突变这一新的定量评价准则,建立了大坝整体稳定和大坝极限抗震能力评价体系,创建了高坝并行计算技术、开发了并行计算软件,建立了大型三向六自由度地震模拟振动台。

提出了同时考虑残余变形与刚度降低的混凝土损伤模型,引入“视弹性模量”(图9)和“视损伤因子”建立混凝土动态损伤本构关系[式(1)],并应用于对经受汶川地震考验的沙牌拱坝进行震情检验。

在2008年的汶川地震中,沙牌拱坝、紫平铺面板堆石坝等4座100m以上高坝经历了强震考验,大坝整体稳定。

(四)高坝泄洪消能

中国的小湾、二滩、小浪底等大型工程,水头高、流量大、河谷狭窄、地形地质条件复杂,其泄洪水力学指标如水头、泄量、泄洪功率等达到了世界之最,泄洪消能难度很大。

针对高拱坝泄洪消能防冲难题,提出了“多种设施,分散泄洪;双层多孔,水流撞击;分区消能,按需防护”的原则和思路,最初在二滩水电站成功应用。此后,随着中国建坝技术的进一步发展,大坝的泄洪消能技术参数进一步突破,见表6。这些工程均采用“坝身孔口+泄洪洞泄洪+水垫塘消能的二滩模式”,较好解决了高坝泄洪消能问题,已完建工程均运行良好。

表6 国内外部分高拱坝坝身泄洪水力学指标

基于“纵向扩散,空中摩擦掺气消能”理念,发展了窄缝消能技术,成功解决了一批“窄河谷、高坝、大泄量”大型工程的泄洪消能难题。对窄缝消能工进行了系统研究,提出了窄缝消能工的应用条件、设计步骤和消能特性,在龙羊峡、拉西瓦等大型工程上得到成功应用。

为解决高水头、大单宽流量、低佛氏数泄洪消能难题,发明了宽尾墩消力池联合消能工,应用在景洪、五强溪等多个工程。景洪最大坝高108m,最大单宽流量为331 m3·s–1,是迄今为止宽尾墩消力池联合消能工应用的最高水平。此外,发展了孔板消能工、旋流消能工等多种形式的内消能工技术,解决了导流洞改建泄洪洞的水流衔接问题,同时无挑流雾化对环境的不利影响,成功应用于小浪底、公伯峡等工程。

深山峡谷区的地形地质条件往往给水电站泄洪洞的布置带来困难,研究提出的“龙落尾”泄洪洞布置思路和泄洪洞掺气减蚀技术可将高速水流空蚀破坏的风险显著降低,已在溪洛渡、锦屏一级等工程中得到成功运用。

三、江河治理与非均匀不平衡输沙理论

中国黄河、长江世界著名,但治理最为困难。图10比较了国际典型河流的比降。以黄河为例,1949年以前,是百年一改道、三年两决口的河流,给人民带来了深重的灾难。黄河四季流量变化大、泥沙含量多,水库淤积问题严重。黄河年输沙量1.6×109 t,为亚马逊河年输沙量9×108 t的1.8倍,多年平均含沙量达35kg·m–3,为亚马孙河的210倍。1992年调查表明黄河流域已有超过20%的水库库容被淤损。对此,采用“蓄清排浑”“异重流排沙”等方法,实现了“不淤高、不决口、不断流、水质不恶化”的黄河治理目标

黄河因含沙量高,河道淤积严重,其下游已经成为高悬于黄淮海平原之上的地上悬河。为应对黄河水沙灾害问题,胡春宏等提出了全河角度的空间优化配置总体框架,构建了黄河泥沙空间优化配置的理论与模型。有关管理部门提出了“基于小浪底水库单库调节为主、空间尺度水沙对接、干流水库群水沙联合调度”等调水调沙模式,形成了调水调沙理论及指标体系。

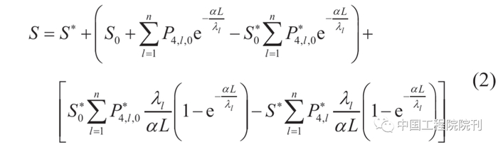
韩其为等创立了非均匀不平衡输沙理论,阐明了泥沙运动的非均匀沙、不平衡输移机理,解决了以长江三峡、黄河小浪底为代表的大型水库淤积及下游河道冲刷预测等难题,成功地将泥沙运动由定性描述上升为定量模拟。该理论的先进性涵盖以下几个方面:建立了非均匀不平衡输沙理论系列表达式,其中非均匀悬移质含沙量的沿程变化可表示为式(2);揭示并证实了粗细泥沙交换是冲积河流河道演变的普遍规律;导出了平衡与不平衡条件下恢复饱和系数的表达式;建立了统计理论挟沙能力的理论体系;导出了竖向与纵向速度不同相关的泥沙转移与状态概率,提出了基于床面泥沙交换强度的扩散方程普适边界条件。近年来,非均匀不平衡输沙理论被广泛应用于国内外重要模型及工程实践中,发挥了重要作用。

式中,SS*分别为出口断面的非均匀沙总含沙量和总挟沙能力;表示对1~n组泥沙求和;P4,lP*4,l分别为悬沙及挟沙能力级配;α为恢复饱和系数;L为河段长度;λl=q/ωl为第l组泥沙的落距,其中,q为单宽流量,ωl为泥沙沉速;下标0表示进口断面相应的值。

四、跨流域调水工程

为保障可持续发展,长距离跨流域调水常是解决水资源短缺和优化水资源配置的必然选择。据统计,全球已有40多个国家和地区建成了350余项调水工程。中国已建、拟建大中型调水工程近50项,年调水量逾9×1010m3。南水北调工程(图11)预计年调水总量为4.48×1010m3,其中,东线1.48×1010m3、中线1.3×1010m3、西线1.7×1010m3,已建东线一期工程干线全长1467km、中线一期工程干线全长1432km,在调水距离、影响人口、工程复杂性和安全控制难度等多方面均居世界之最。

长距离调水工程难题主要包括

①不同时空尺度与不同要素过程的水循环模拟;

②多水源、多目标、多主体的群决策与风险调度;

③复杂巨系统安全高效运行水力控制。中国学者针对难题取得了多项进展和突破。

构建了考虑人类活动影响的分布式水文模型,提高了水文模拟对不同气候、下垫面条件、人类活动的适应性;提出了水库系统的经济特性与调度决策原理,开发了三种基于单调性的改进动态规划算法,计算效率比传统算法提高一个数量级;建立了水库调度规则多目标群决策优化技术,成功应用于南水北调中线丹江口水库。

在输水系统多约束、多相、多过程耦合模拟方面,提出了输水明渠关键水力参数系统辨识模型与输水系统复杂多相流数值仿真理论方法,成功应用于南水北调中线工程

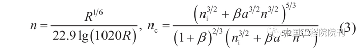
提出了渠道糙率系统辨识公式,见式(3)。该公式为论证中国长距离输水工程的输水能力提供了理论基础,国际上现有的Einstein公式、Belokon-Sabaneev公式、Larsen公式均是封冻渠道综合糙率公式的特例。

式中,n为渠底糙率;R为渠道水力半径;nc为渠道综合糙率;ni为冰盖糙率;β为湿周比;a为冰封率。

创建了复杂输水系统水力调控频域分析理论及闸门群优化控制技术,提出了“粗调”“细调”与“协调”作用有机衔接的长距离复杂输水系统闸门群集散控制模式,设计了闸门群控制算法

在调水系统常态应急态水力控制技术方面,开发了长距离输水系统水力控制新技术,有效解决了高中水头、长距离、大流量有压管道输水工程水击控制难题;建立了长距离输水系统冰情预测、冰害防治与冰期运行控制技术,成功应用于引黄济津工程、南水北调中线工程等。

在长距离调水工程中,深埋长隧洞在克服高山峡谷等地形障碍、缩短空间距离等方面具有不可替代的作用。据不完全统计,中国长度在5km以上的新建成和在建跨流域调水输水隧洞工程共22座,其中,大伙房一期工程输水隧洞单洞长85km,是目前世界上已建的最长隧洞。目前,中国的以新奥法(New Austrian Tunneling Method,NATM)为核心的深埋长隧洞修建技术在许多方面已达到了世界先进水平,施工地质灾害的超前预报及其控制技术正在逐渐走向成熟,特别是研制出拥有核心技术和自主知识产权的全断面岩石掘进机(TBM,图12)及配套的流程化施工方法,在南水北调中线穿黄隧洞、引汉济渭穿秦岭隧洞等多个工程中获得了成功应用。

五、巨型水电机组与抽水蓄能电站

中国巨型水电站的大规模建设驱动了巨型水电设备发展。1949—1978年,中国水电设备工业由小到大取得长足发展,自主研制生产了混流式、转桨式、冲击式水轮发电机组。1978年后,水电装备水平不断迈向新高度,刘家峡、龙羊峡、岩滩电站等采用的单机容量达到了300 MW级,李家峡单机容量为400 MW,二滩单机容量为550 MW。以三峡工程为代表,采用了“引进、消化、吸收、再创新”的发展思路,中国大型水电装备制造业的常规水轮发电机组设计制造能力迅速提升至700 MW级。三峡和龙滩机组共30多台,单机容量达到700 MW;溪洛渡、向家坝和在建的白鹤滩、乌东德等电站,单机容量更是达到700~1000 MW。在三峡右岸电站水电机组的研制中,哈尔滨电气集团公司通过采取优化定子线圈换位方式与定子机座结构形式、合理选择定子铁心材料及优化设计冷却系统等技术措施,自主开发了当时世界上单机容量最大的840 MW全空冷技术水轮发电机。东方电气集团有限公司也为三峡地下电站研制了具有自主知识产权的、世界上单机容量最大的840 MW蒸发冷却水轮发电机组。目前,中国企业设计制造的800 MW级水轮发电机组已投入运行,1000 MW级机组正在研制当中。

通过宝泉、惠州和白莲河三个蓄能电站机组制造统一招标和技贸结合引进技术,依托后续的黑糜峰、蒲石河等抽水蓄能电站机组的消化吸收,抽水蓄能机组设备国产化的步伐大大加快。目前,中国已形成300 MW级及以上抽水蓄能机组关键核心技术。从2007年开始,陆续设计、制造了响水涧、清远、仙游等抽水蓄能电站的机电设备。

中国建设了高精度水力机械模型试验台,表7列出了试验台与世界各国的比较。试验台建设为开发优秀水力机械模型打下了基础,同时进行了大型水电站、抽水蓄能电站同台对比试验,为科学评标提供平台。

表7 试验台参数比较表

中国抽水蓄能电站建设起步晚、发展快、未来需求大。2014年已建总装机容量达2.211×107 kW,居世界第三,约占全国电力总装机容量的2%,尚低于发达国家约5%的水平,预计2030年装机为1.2×108 kW。除机组技术进展外,在全池防渗、高压引水隧洞输水、厂房抗振等方面也取得了创新成果。

提出了沥青和混凝土面板全池防渗耐久性定量设计理念,建立了室内、外老化对应关系,开发的改性沥青抗冻断温度可达–45℃,为世界最低;提出了防渗层沥青混凝土抗低温冻断、抗高温流淌的设计方法。提出了超高压输水隧洞钢衬与非钢衬的判据,提出了15 MPa超高压灌浆工艺与施工新技术;提出了厂房抗振动力学模态分析方法,实现了全过程共振频率、振动位移“双控制”。上述这些技术在天荒坪、呼和浩特等蓄能电站成功应用,取得了良好的效果。

六、地下洞室

21世纪以来,中国的水电开发逐渐向水能资源丰富的西南高山峡谷地区转移,地下水电站在数量和规模上都有重大突破。三峡、二滩等电站的地下厂房主体洞室高跨比达到2.13~2.67,大大突破原有锚喷支护地下洞室高跨比(0.8~1.2)的一般经验范围;龙滩、溪洛渡、向家坝等电站的地下厂房跨度均已超过30m,最大单机容量达700~800 MW,在建的白鹤滩水电站单机容量向1000 MW迈进。这些地下厂房涉及的地下洞室群规模宏大、结构复杂,提出了一系列需要解决的关键技术难题,促进了中国地下洞室群设计水平和施工技术的迅猛发展。

地下洞室建设实施以新奥法理论为基础的动态设计原则,强调设计、施工和监测三位一体,根据监测反馈分析的成果及时优化开挖支护设计参数、采取合适支护措施,确保了施工期的围岩稳定和安全

施工技术不断向集成创新方面转变,覆盖了施工的各个环节,例如

①测量技术的发展、钻孔精度和轮廓爆破技术的提高,使开挖质量近乎完美;

②钢纤维和聚丙烯微纤维喷混凝土的应用以及岩土锚固技术的发展,结合分层分块的优选及预加固技术,使得在不良地质条件下的大洞室开挖稳定技术更加成熟;

③反井钻机和开敞式TBM掘进机的应用及滑模技术的完善,实现了长斜井和深竖井的快速施工;

④高效通风机的研制及通风方法研究,解决了复杂洞群的通风散烟难题;

⑤“平面多工序,立体多层次”工法的广泛推广,极大地提高了地下洞室群的施工速度。

七、生态保护

中国的水利水电建设越来越高度关注生态环境保护研究与实践,在水库生态调度、大坝分层取水、珍稀鱼类保护等多个方面采取了最为严格的措施,取得了较好的成效。

近年来中国在水库生态调度的理论研究和实践应用取得了丰富成果和长足进步。水库生态调度目标已经从单一物种或种群发展到整体生态系统;生态调度控制对象由单一水库调度,发展到梯级水库群联合调度;生态调度影响范围由一段河道、河流,发展到覆盖整个流域;生态调度时段由针对目标保护物种的生态关键期发展到全年期,甚至考虑预报因素的中长期调度。在上述基础上,王浩院士开展了面向生态的流域综合调度研究,构建了流域生态调度理论技术体系。1999年以来,黄河流域实行全流域统一调度,三门峡、小浪底和万家寨多次实施联合调度,保证了河流的基本生态流量,避免了黄河干流断流,恢复了河口和下游的生态。此外,通过水库生态调度,还成功实施了珠江补淡压咸、引岳济淀等应急调水工程,修复了河流生态,维护了河流健康。

中国20世纪60年代在借鉴美国、日本等国的多层式、竖井式取水口等型式的基础上,为解决水库下泄低温水问题修建了一些分层取水结构。21世纪以来,在200m、300m级特高坝建设中,进一步发展和提出了以叠梁门为代表的分层取水布置技术,解决了高坝大库分层取水进水口的水温控制及安全运行等难题,并已在锦屏一级、溪洛渡、糯扎渡、光照等大型水电站中成功运用。其中,锦屏一级坝高305m,电站运行水位变幅达80m,单机引水流量为350m3·s–1,分层取水设施的运行水头、流量等规模居世界前列。

围绕中华鲟自然及人工种群的保护,中国学者在中华鲟繁育技术、中华鲟物种保护技术、中华鲟自然种群动态及洄游运动规律研究等方面取得了突出进展,目前已经累计向长江、珠江等放流中华鲟500万尾,为中华鲟自然种群资源的维持及保护提供了重要保障。

对保护鱼类有需求的水利水电工程,必须建设鱼类过坝设施,中国已经研究并制定了《水利水电工程鱼道设计导则》。目前在建的珠江大藤峡、江西峡江、西藏拉洛等水利工程上都建有鱼道。另外,为了满足水利水电工程下游生态需水要求,目前设计的所有水利水电工程都专门设置了生态放水孔洞,以保障工程从施工到运行全过程能泄放下游生态流量。

八、结语

未来中国的水利水电建设将向西部转移,地质条件更加复杂,生态环境更加脆弱,工程建设面临更大的挑战。但我们相信,基于已有成果和不断创新,中国的水利水电建设技术必将实现新的跨越,为世界水利水电发展做出更大的贡献。

注:本文内容呈现形式略有调整,若需可查看原文。

改编原文:

Jinsheng Jia.A Technical Review of Hydro-Project Development in China[J].Engineering,2016,2(3):302-312.

加载中...