新浪财经

【专题报告】期权聚焦系列(一): 期权市场概览与期权定价模型

市场资讯 2023.03.17 17:19

建信期货研究服务

期货从业资格号:F03107564

【专题报告】期权聚焦系列(一): 

期权市场概览与期权定价模型

一、期权市场概览

1.1 商品期权市场概览

        截止到2023年2月底,我国商品期权品种共有27种。按照商品期权标的物板块来划分,农产品板块共有11种商品期权,分别是白糖、豆粕、棉花、玉米和棕榈油等,其中豆油、花生和菜籽油是2022年新上市品种;能源化工类共有8种商品期权分别为PTA、甲醇、原油等;黑色板块有4种商品期权分别为铁矿石螺纹钢工业硅等;有色金属的5种商品期权为金、银、铜、锌、铝。如果按照交易所来划分,上期所有8种期权、郑商所有7种、广期所的工业硅以及大商所的11种商品期权。日度成交量较大的品种有PTA、铁矿石、甲醇、螺纹钢、铜、白糖、棉花以及豆粕等期权品种。目前我国商品期权成交量已经跃居全球首位。

1.2 股指期权市场概览

        截止到2023年2月底,我国股票期权品种共有10种,包括7种ETF期权,3种股票指数期货期权。按照交易所划分,上交所有3种股指期权,深交所有3种分别为创业板ETF期权、深300ETF期权和深500ETF期权并于2022年12月12日上市了深证100ETF期权;此外,中金所分别于2022年7月和12月上市了中证1000指数期货期权(股指期权)和上证50指数期货期权(股指期权)。这九种股票类期权包括了以大盘、中盘、小盘规模划分的主要宽基指数,这不仅仅为套保者提供了更多选择,也给投资者提供了对冲和套利的多重机会。

    1.3 期权市场规模情况

期权品种上市方面,在2019年期间,一共有6只期权品种上市,分别是玉米、棉花、黄金、铁矿石、 PTA和甲醇。在2020到2022年间,共有18只新的期权品种上市,无论是从上市品种的数量还是市场实际交易规模来看,国内场内期权市场都呈现出增长态势。这一系列的专题报告,围绕着“期权聚焦”主题,从不同的角度对期权的世界进行深入的探索,内容方面包括基本的定价模型的介绍和对比,期权组合的风险度量指标,波动率指数和情绪指数研究,再到波动率偏度指数的分析,让读者对期权有一个全面的了解。

二、期权定价分析

        目前备受关注的期权定价模型如图中所示,本文将涵盖其中最著名的Black-Scholes期权定价模型(B-S模型)、二叉树定价模型(Binomial Lattice)和蒙特卡洛模拟(Monte Carlo),并通过计算分析其定价结果。BS模型最早是由 Fischer Black和 Myron Scholes于1973年提出的,这个模型对于欧式期权给出了具体数学公式的解析表达式,时至今日此模型仍为投资者广泛使用。B-S模型更多地适用于欧式期权,而且在定价理论上存在着一系列的严格假设。当投资者不能完全满足更严格的假设条件时,B-S模型也无法给出更精确的定价。在这一背景下,罗斯,考克斯和马克·鲁宾斯坦于1979年提出了一种较为简单的二叉树期权定价模型。该模型假定股票价格的波动方向可分为升或降,而每一次波动的波动性和波幅是恒定的。该模型将整个存续期划分为几个阶段,以标的资产价格的历史波动率为依据,模拟出正股在整个存续期内的可能发展路径,并计算每条路径上的每一个节点,使用期权的行权收益,利用贴现法计算权证的价格。如果是美式期权,由于可以提前行权,每一节点上权证的理论价格应为权证行权收益和贴现计算出的权证价格两者较大者。上述两个模型更适合于结构比较简单的期权产品,而对于一些比较复杂的期权产品,则需要使用蒙特卡洛模型,因为这个模型可以通过多次模拟价格的变化,从而更精确的定价路径依赖型期权。

2.1. B-S模型

B-S模型的7种重要假设为:

1. 股票价格行为服从对数正态分布模式

2. 在期权有效期内,无风,险利率和金融资产收益变量是恒定的

3. 市场无摩擦,即不存在税收和交易成本,所有证券完全可分割

4. 金融资产在期权有效期内无红利及其它所得(该假设后被放弃)

5. 该期权是欧式期权,即在期权到期前不可实施

6. 不存在无风险套利机会

7. 证券交易是持续的

8. 投资者能够以无风,险利率借贷

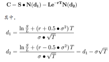
B-S模型的公式为:

其中C为期权初始合理价格,

1. L为期权交割价格

2. S为所交易金融资产现价

3. T为期权有效期

4. r为连续复利计无风险利率

5. N(d1)和N(d2)为正态分布变量的累积概率分布函数

        以中金所的上证50股指期权为例,假设当前标的物价格为2664.04元每手,其平值认购期权为IH-2303-C-2650,B-S模型给出的理论价格略高于市场价格。值得注意的是虚值期权的理论价格略低于市场价格(以行权价为2700和2750为例),而实值期权的理论价格略高于市场价格(以行权价格为2600和2550的认购期权为例)。

2.2. 二叉树期权定价模型相关内容

        二叉树期权定价模型的基本假设是在每一时期股价的变动方向只有上升或下降;定价依据是期权在第n次买进时,能建立起一个零风险套头交易(或者说可以使用一个证券组合来模拟期权的价值,该证券组合在没有套利机会时应等于买权的价格);反之,如果存在套利机会,投资者则可以买两种产品中价格较为便宜的一种,卖出价格较高者,从而获得无风险收益,当然这种套利机会只会在极短的时间里存在。二叉树模型可通过R语言Studio、MATLAB、python等语言来完成,

建模过程主要分为三步:

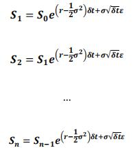
1.在每次做分叉路径的时候都假设资产价格会向上移动的概率为u或向下移动的概率为d(u小于等于1,d处于0和1之间),如果当前价格为S,则向上移动价格为S*u,向下移动价格为S*d。价格移动的幅度取决于标的资产价格波动率以及每一步时间长度t(以年为单位),则:

        如果标的资产价格向上移动u,再向下移动d,那么价格又回到了移动之前。这个特性让每个节点的资产价格能通过简单的公式计算,而不需要首先构建价格二项树。

        其中,Nu是指价格向上运行的次数,Nd为价格向下运动次数。

2. 在二叉树的每个最终节点上,及期权的到期日,期权的价格为它的内在价值,也就是执行价值。对于认购期权来讲MAX[(Sn - K, 0], 对于认沽期权来讲MAX[(K - Sn),0],其中K为行权价格,Sn是标的资产在n是的价格。

3. 假设风险中性,投资者没有风险偏好(不会因为风险程度来偏向选择),期望价值可以通过两个节点算出(向上运动概率为p,向下为1-p):

其中,q为标的资产在期权到期权前的股息收益率。

2.3. 蒙特卡洛模拟介绍

 蒙特卡洛模拟(Monte Carlo Simulation)是指通过多次随机抽样与计算,对认沽、认购期权合同价值进行估计的一系列数学算法,旨在揭示不确定因素与期权合同价值之间的关系。此模拟是使用BSM对欧式看跌和看涨期权合约进行估值的一种有用的替代方法,通过模拟不同路径上的随机变量,计算出平均折现率,进而计算出期权价值。本报告将对看跌期权和看涨期权合约进行估值,分别通过对股票价格为 75,100 和 125 的欧式看涨期权和看跌期权的单独价值进行绘图,使用 50000 次的模拟来说明模拟期权价值向 BSM 闭合形式解决方案的收敛情况。它将主要集中观察蒙特卡洛模拟之间的相关性。

        此外,蒙特卡洛模拟是根据随机微分方程(SDE)来模拟计算欧式看跌和看涨期权价值的风险中性动态。蒙特卡洛模拟可以通过 "离散化SDE "来计算,此方法都是通过任何路径依赖来得出有效的期权报酬计算结果,比如在选定的时间范围内进行一定数量的模拟,产生欧式看涨和看跌期权合约的预期值,并将预期值折现到时间范围内的初始点(时间零),从而得出期权合约的公允价值。我们需要考虑的一个重要假设是 "期权的公允价值是标的资产风险中性随机行走下到期时预期报酬的现值"。理论上估计器的方差最小化为零,同时样本增加到无穷大, 但由于现实中模拟的限制和拥有有限样本量的条件,引入对抗变量和控制变量有助于在进行的模拟中获得更精细的估计。在模拟中我们需要用到的GBM过程公式为:

        在风险中性测度下模拟标的资产价格 S 的路径。有效期分为 n 个间隔相等的时间段Delta_t = T/n 。对于GBM来说可以获得S的如下分析表达式:

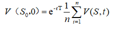
假设现货和时间的函数V(S,t),期权价值可以表达为以下形式:

模拟假设条件:

1. 标的价格S_0 = 75, 100, 125,

2. 行权价X为100

3. r=0.05, sigma=0.20, T=1,

4. 模拟路径n_steps=260,

5. 模拟次数n simulations= 0-50000

2.4. 模型定价结果对比和分析

        从B-S模型和二叉树模型的定价结果数据来看,两者之间并没有明显的差异,但是两个模型的数据理论结果与实际市场价格有微小偏差。这主要是因为在实际市场中,投资者自身对未来波动性的预期变化和理论模型中设定的波动性为常数之间存在着差异。通过B-S模型可以反向得到真实市场的波动指标,即“隐含波动性”,它包含着市场对未来波动性的判断。若隐含的波动性越大,期权价格就越高,反之,隐含的波动性越小,期权价格就越低。理论价格和实际价格之间的偏差反映了隐含波动性和实际波动性之间的差距。

风险提示:

我们已力求报告内容的客观、公正,但文中的观点、结论和建议仅供参考,报告中的信息或意见并不构成投资者据此做出投资决策的依据。

加载中...