新浪财经

伊藤清:概率论的历史

澎湃新闻

关注

【编者按】

伊藤清(Kiyoshi Ito,1915-2008)是日本数学家,京都大学教授,他是随机分析的创始人之一,也是日本概率论研究的奠基者。2006年,他获得了国际数学家大会(ICM)的首届高斯奖。近日推出中文版的《世界是概率的:伊藤清的数学思想与方法》一书,是伊藤清的数学思想文集,记录了他的求学之路,收录了他对于“数学与科学”等方面的思考。本文摘自该书,是根据他在1989年的一次演讲内容整理而成,澎湃新闻经出版方授权刊载。

首先,我想先讲一讲数学究竟是一门怎样的学问。关于数学与物理学的区别,著名数学家赫尔曼·外尔曾说:“物理是一门研究存在的学问,而数学则是一门研究万物存在形式的学问。”我认为这句话中的物理,也可以指代化学、生物学、经济学等数学以外的学科。

我以浅显的方式解释一下外尔先生所讲的这句话吧。我们经常接受问卷调查,调查问卷上会设有姓名、住址、出生日期、职业、兴趣等项目。我们称它为调查问卷的格式。我们可以把这个格式看作数学,把被调查者在问卷上填写的内容看作物理学。这里或许将物理学换作实验物理学更为合适。数学物理、数理生物学、保险数学、数理经济学等,广义上都可以算进数学的范畴。

前面我也说过,数学是一种形式,或许也可以说是一种模式。要说具体是哪种模式,我认为是逻辑模式。更确切地说,是集合论。关于这一点,我将在后面说明。

但是,如果将数学从逻辑的角度看作集合论,那我们只能触及数学的皮与骨,无法将数学的血肉一并概括进去。事实上,数学是伴随着人类的进步不断发展的“生物”,数学的实体便潜藏在这发展之中。因此,我们先来总览一下数学的发展历史吧。

根据历史年表,日本从旧石器时代起,经历了绳文、弥生、古坟、奈良、平安等时代,直至现在的平成。中国则经历了夏、商、周、秦、汉、隋、唐、宋等朝代。印度从达罗毗茶文明发展到印度文明,西方则从古埃及文明、美索不达米亚文明、古希腊文明、古罗马文明、阿拉伯文明等发展至现代的欧美诸国。

人类历史上初次诞生的数学概念是自然数[1]1、2、3……这些数字的英文是one、two、three、four、five、six、seven等,其中two和three都以字母t开头,four和five以字母f开头,six和seven以字母s开头。即使在这些原始的数学概念中,我们也能找到这种不知该说是规则还是逻辑的规律。日语的数词中也蕴藏着与此全然不同的有趣规则。1(hi)和2(hu)均以h[2]开头,3(mi)和6(mu)均以m开头,4(yo)和8(ya)均以y开头。能够看出,每一组首字母相同的数字的比值都是1比2。使用这种数词的民族极为罕见。据我所知,仅太平洋的某岛有相似的情形。但是,给所有的数字逐一命名委实太过烦琐,因此有了十进制。在十进制诞生之前,美索不达米亚文明还存在着二十进制、十二进制、六十进制等现在被归为计时法、度量衡等的计数方法。十进制虽然在中国已有悠久的历史,但它是由阿拉伯人传入欧洲的。

阿拉伯人发明了进位计数制。古代中国虽然使用了十进制,但在书写的时候并没有进位,在表示151103这样的数字时,会将其写成十五万一千一百零三。也就是说,除一到九的基数外,还必须使用十、百、千、万等。若想表示更大的数字,还需要用到亿、兆、京等表示更大数目的词,可谓无穷无尽。若使用进位计数制,只需用阿拉伯数字的151103表示即可,简明易懂。这时需要在1,2,3,…,9中加入0作为基数,这个数字0可以说是一大发明。虽然0最先出现在印度,但将其应用在进位计数制中使十进制家喻户晓的是阿拉伯人。

在阿拉伯的计数制出现很久之前的古埃及文明与美索不达米亚文明中,由于日常生活的需要,诞生了实用数学,用来解决初等算术问题、代数问题和几何问题。从采集经济的时代发展到游牧、农耕时代后,这类实用数学不断发展,可以用来解决天体观测、土地测量、粮食保存计划等问题。在中国,数学也是以同样的方式产生的。

进入古希腊时代后,数学才作为一个超越了实用意义的学科体系建立起来,人们开始尝试以论证的精神构筑数学这门学科。其中典型的成果便是欧几里得的《几何原本》。在欧几里得生活的时代(公元前300年左右),人们已经了解了勾股定理、相似图形、比例理论和其他几何学知识,应该也在一定程度上思考了这些知识之间的联系。欧几里得就构成平面图形的基本元素,也就是点和直线进行了思考,并尝试从“过两点有且只有一条直线”“两条直线要么平行要么相交”这种无须证明的性质出发推导出图形所有的性质。这是最初被体系化的数学,也标志着数学成为一门学科。现代数学依然沿袭着欧几里得的精神。

至于这门伟大的学科为何诞生在古希腊,我一直觉得不可思议,至今也没有找到答案。在欧几里得的时代,古希腊的哲学兴盛异常,注重理性思考,对任何事都讲究追根溯源,试图从本源出发解释其他事物。另外,智者十分活跃,经常相互争论,因此形成了从逻辑角度出发去思考事物的习惯。

同一时期的中国正处于以孔子为代表的春秋时代。当时百家争鸣,成为之后中国学问的本源。尽管重视智慧的思想在东西方形成了统一,但以论证为基础的数学最终没能在中国形成。

在这之后的古罗马时代,罗马人拟定了法律,铸造了货币,在政治和经济方面飞速发展,但在数学上几乎没有什么成就。阿拉伯人通过经商发展出十进制,为东西方的文化交流做出巨大贡献。但是,他们将欧几里得的以论证为基础的数学精神抛诸脑后,数学沦为了贵族子弟接受教育的必修科目。

除了几何学,古希腊人还就数论中的质数和无理数进行了深入思考,但令人不解的是,他们没能想到对实际生活有巨大帮助的十进制。其中缘由恐怕在于数学只有学者才去研究,而他们并没有着眼于实际生活中出现的新的数学事实。即使有关注的想法,在没有工业的农耕社会,我认为也找不到可以给数学家灵感的素材。

之后经过黑暗的中世纪,文艺复兴运动展开,工商业再度兴盛,人们生机勃勃,新的数学在欧洲相继诞生。以文艺复兴为契机,“从根源出发,以逻辑的方式推导出复杂的结论”这一欧几里得几何的精神复活,也对代数产生了影响。韦达(16世纪)以加减乘除的基本运算法则——交换律、结合律、分配律为起点将代数学体系化,他也因此被称为代数学之父。而后,笛卡儿(17世纪)将平面上的点用两个数字(坐标)来表示,创造出利用代数来研究几何学的新方法。

韦达和笛卡儿所处的时代可以算是欧洲数学的摇篮期,在那之后,以无穷、极限、连续和运动为研究对象,数学开始急速发展,直至微积分学的确立这一伟大成就诞生。这一成就萌芽于古希腊时代阿基米德(公元前3世纪)思考的如何避免无穷这一问题,而这引发了离散对象与连续对象之间的矛盾。欧洲数学斩断了这一思想上的束缚,踏入了一个更加广阔的世界。契机正是伽利略(16世纪~17世纪)对天体的研究。

详细的情形暂且不谈,我们继续微积分学的话题。当时产生了一些精彩绝伦的观点,比如将曲线看作由“小曲线段(弧)构成,每段弧对应的线段(弦)几乎(按现在的说法,除去高阶无穷小)可以认为是相等的,求出这些小线段长度的和,也就求出了曲线的长度”,还有“运动可以看作无限接近的两个时间点之间的直线运动,将这些直线运动相加,就可以求出有限时间内物体的位移”等。通过微分求出曲线或运动的微小变化,然后将之求和就是积分。在这里非常重要的是,把微分看作直线这一点,现在被称为线性化(linearization)。

这一崭新的数学领域叫作微分学(differential calculus),与此相对,在此之前的代数方法被称为有限元分析。与代数方程相对应,微分方程诞生了,它非常适合用来表示物理学新领域中的诸多法则。质点系的牛顿方程、流体力学中的欧拉方程和拉格朗日方程等,都是微分方程。如此一来,数学的内容就变得丰富多样。这就是17世纪和18世纪的分析学。在那个时代,复数也在形式上被引入,并被有效利用起来。

古希腊数学的论证精神,在这个时代的数学发展中也扮演着重要的角色,但分析学没能像欧几里得几何那样形成一个严密的体系。当时的数学家们怀有不安,但还是将直观的、形式上的推论混进理论中,一味地前进着。进入19世纪后,高斯用平面上的点表示复数,建立了有关复数的严密理论,柯西根据ε-δ定义确立了连续函数的定义等,逐渐巩固了分析学的基础。就这样,数学成果不断涌现,我们甚至可以称19世纪为数学的黄金时代。对数学的逻辑上的探讨也日益热烈,非欧几里得几何也应运而生。进入19世纪末,基于魏尔斯特拉斯、戴德金、康托尔等人的研究,实数的严密定义才终于诞生。

进入20世纪后,像欧几里得几何这样严密的体系才在数学的全部分支中实现。这里需要预先强调的是,如果以现代的眼光审视,欧几里得几何绝对称不上完整。但是,从基本要素(点、直线)和与其相关的基本性质(公理)出发去构筑几何学的思想是非常重要的。

17世纪到19世纪诞生了无数全新的数学理论。这些理论间具有复杂的关系。对这些理论加以整理,并全部通过基本要素和基本性质推导出来,会让人觉得其难度是建立欧几里得几何所无法比拟的,但其实很简单。整个数学的基本要素是集合,基本性质是集合论的公理这一事实在20世纪已经被阐明。换句话说,数学从逻辑上来看就是集合的理论。引入集合论的康托尔最初也许并没有想这么多,但从结果来看确是如此。

逻辑学中有内包和外延的概念。内包是一种性质,外延则是具有这种性质的事物的集合。将性质A和性质B的外延记为A'、B'的话,从A可以推出B,这表示A'包含于B'(A'⊂B'),“A和B”这个性质的外延是A'和B'这两个集合的并集(A'∪B')。关于性质的所有命题都可以用与外延(集合)相关的命题表示。从这一层面去考察数学的性质,其实可以归为对集合的考察。

好了,集合论(其实是数学整体)的基本要素就是集合。如果有两个集合,那么A要么是B集合中的元素(A∈B),要么不是。这就是集合的基本性质。光靠这一点还不能构成数学,我们还需要假设其他几条基本性质(公理)。这些公理之间存在矛盾会比较麻烦,所以人们对此展开了种种探讨,由于专业性太强,我在这里就不介绍相关内容了。大家只需知道,现在这些公理不存在矛盾就可以了。

我们将没有元素的集合称为空集(∅),也可以记作0。将0作为元素的集合{0}记作1,将0和1作为元素的集合{0,1}记作2,以此类推,那么3={0,1,2},4={0,1,2,3}。这样的集合可以通过事先给定的公理得到。这样一来,我们就可以定义自然数(包括0)了。从这里出发,我们也可以定义负整数、有理数、实数、复数,通过坐标定义二维空间、三维空间和n维空间等。代数系(群、环、域)或拓扑空间、可微分集合域、概率空间等现代数学中的基础体系都在集合中加入了结构(structure),这个结构通过映射定义,映射结合图像以集合的形式表现出来。因此,所有数学领域的定义或定理都能在集合论的框架中表现出来,定理的证明也能利用集合论的语言来表述。从这一层面上讲,数学在逻辑上可以说就是集合论了。

但是一般的数学书中并不会这样介绍。不过,在对某些推论产生疑问时,只要思路回到集合上,就可以得到答案,能做到这一点的才算得上是数学理论。

如果说能回归到集合的内容作为数学理论有存在的价值,那么为了记述科学中的诸多现象而被引入的数学理论,以及引申出来的数学理论也是有价值的,这些理论还能带来从纯粹数学的角度看也很有趣的结论。数学就这样与科学紧密相连。

以上便是欧洲数学的发展状况。虽然在中国、印度和阿拉伯,埃及、美索不达米亚的实用风格数学也在蓬勃发展,但基于论证的希腊风格的体系化数学并没能成为主流,与物理学、工学息息相关的微积分学、分析学也没能诞生。

我们来就日本的数学历史思索一番吧。古希腊欧几里得时代正值日本的绳文时代末期,人们通过采集获得食材,还没有进入农耕时代。由此可见,日本文明和古希腊之间的巨大差距。那时,欧洲也处于与日本相似的状态,无论是日耳曼人、斯堪的纳维亚人还是斯拉夫人,都还过着在森林中狩猎的生活。

在即将进入奈良时代时,律令制由中国传入日本。在整顿了国家制度后,又吸纳了中国的数学(算术),与明经道、历道、阴阳道一同,建立了研究算道[3]的算寮、算博士、算生制度。日本学习中国文化并将其本土化,并在音乐、美术、诗歌文学等领域创立了独特的文化这一点大家都非常熟悉了。但那时在数学上,我们还毫无建树。当时,中国已经出现了应用数学(以算术为主)的教科书,由此,算寮中应该已经开展了数学教育。假名被发明出来之后,日本人写下了无数优秀的小说、日志、随笔,但没能留下一本用日语编写的数学启蒙教材,这实在是令人匪夷所思。此类教材直到数百年后的江户时代才出现。

那时,阿拉伯和欧洲的数学专著已经传入中国,并被翻译成中文。中文译本传到日本后,对江户时代的日本数学造成了巨大影响。关孝和、建部贤弘等人创立了被称为“和算”的独特数学。其留下的成果中不乏有一些早于欧洲的数学发现,不禁让人们佩服他们的智慧。然而,这些成果并没有基于论证精神被串成一个体系,并且缺乏与其他学科的关联,仅停留在技术层面,没能成为一门学问。

就这样,古埃及、美索不达米亚、古印度、中国、古希腊、阿拉伯等各文明中孕育出了不同的数学,可最终只有从古希腊连接到欧洲的数学传统被保留了下来,其他的要么被吸收,要么枯萎消失了。

日本的明治新政府吸收了欧洲文明,在引入制度和学问的时候,也保留了日本自古以来的传统,其中最重要的当属日语。数学也算作一种语言,虽然江户时代的和算传统保留了下来,但明治新政府对于义务教育阶段的数学应该教使用算盘的日本数学,还是教使用笔算的西方数学进行了激烈的讨论,最终决定教西方数学。这一选择的正确性可以说不言自明。不过,因为没有能教笔算的教师,所以只能让当初反对教西方数学的和算家们紧急学习,然后给学生上课。这样的方法之所以能够成功,是因为江户时代便有了和算,全国有数万家寺子屋[4]教授算盘课程。

这里,我想简单谈一谈与数学的信息交流相关的内容。日本的和算家们,其本职也都是武士、医生等,属于知识分子,当时还并不存在数学家这样的职业。欧洲也是同样的情形。在日本,人们倾向于不公开自己的成果,将之视为秘传,向其他研究者提出自己已经解出的问题并相互挑战。在京都的八坂神社中,至今还能看到写着这类问题的算额[5]。据说,欧洲也有类似倾向。随着欧洲外语学习的兴盛,所有的讲义和论文都使用拉丁文来写。在那之后,虽然也渐渐开始用本国语言进行学术研究,但牛顿(17世纪)、欧拉(18世纪)、高斯(18世纪~19世纪)的著作全集中依然有很大一部分使用了拉丁文。在18世纪,大学中已经设立了数学专业(其中包含理论物理学和天文学),讲义摘录和论文也被大量出版,还出现了定期出版的数学杂志,数学协会也应运而生。日本也在明治初期出现了数学协会,它就是现在日本数学会的前身。通过图书、杂志、论文的交换,信息交流得以迅速流畅地进行。即便如此,在第二次世界大战之前,这样的交流也需要一个月以上的时间,而现在,得益于传真、喷气式飞机等,信息交流只需一周便可完成。

就这样,数学世界实现了全球一体化,将全球数学家聚集在一起讨论数学问题的国际数学家大会也开始举行。第一届大会于1897年在瑞士的苏黎世召开,全球共有204位数学家参加,但其中并没有来自日本的数学家。之后,大会每四年召开一次,持续(除去因第一次世界大战、第二次世界大战中断的情况)了差不多一百年。日本人(1位)初次参加大会是在第二届(巴黎)。

明年(1990年),第二十一届国际数学家大会将在京都(国际会馆)召开。历年来大会都在欧美国家举办,不过最近日本在数学上的显著进步获得了国际上的认可,加之日本举办大会的愿望非常强烈,所以上一届大会(美国伯克利)通过了本届大会在日本召开的决定。据估计,与会者能达到3500名(另有同行者上千名)。大会上除演讲外,还会为有卓越研究成果的年轻数学家(40岁以下)颁发菲尔兹奖、奈望林纳奖等奖项。日本的小平邦彦博士(1954)和广中平祐博士(1970)都获得过菲尔兹奖。

在国际数学家大会召开期间,用于推进数学研究和教育而设立的国际数学联合会在神户国际会场召开大会,届时各国代表都将出席。出席会议的代表人数同各自国家的数学实力相对应,最多可有5位出席,日本同美国、英国、法国、西德和苏联一样,拥有5名代表出席权。

这个国际会议虽是由日本数学会和日本学术会议,以及与数学领域渊源颇深的日本数学教育学会、日本运筹学会、日本科学史学会、日本软件科学协会、日本统计学会、日本精算师协会与国际数学联合会共同举办的,但承担事务的主要是日本数学会。日本数学会为了筹备会议组建了运营委员会和组织委员会,准备工作不断向前推进。当时最令人头痛的是筹措经费的问题。所幸财界的朋友不遗余力慷慨解囊,现在前景十分乐观,数学会的会员们也都安下心来,全身心投入到筹备工作中。保险业、金融业等行业的人也给予了大会大额赞助,借此机会,我也想向与这些行业有紧密联系的精算师协会的各位表示诚挚的谢意。

虽然分配给我的演讲时间所剩不多,但就像方才所说,接下来我会向大家介绍概率论的历史,以及我对微积分方程的一些研究工作。

数学和天文学可以说是历史最悠久的学科,现代数学的很多分支发源于美索不达米亚和古希腊的古代数学。古代人应该也有概率的概念,但第一位将其用数值表示的,还是以三次方程的解法而闻名于世的卡尔达诺(Cardano)(16世纪)。在这之后,帕斯卡和费马建立了更加体系化的概率论的雏形。他们处理的问题大多与赌博相关。18世纪后半叶,伯努利证明了“在实验条件不变的情况下,重复试验多次,随机事件的频率接近于它的概率p”这一大数定律,由此,概率与统计的关系也清晰起来。概率论并不是只与赌博相关的数学,它是可以应用在人口问题、保险问题

中的颇为实用的数学。之后,微积分学和分析学的方法也被引入概率论中,涌现出了拉普拉斯的《概率的分析理论》、高斯的《绕日天体运动的理论》等著作。19世纪,数学的各个领域都在蓬勃发展,与此相比,概率的数学理论却没有什么像样的成果。不过,伴随着经济统计学和经济物理学的发展,概率论不断出现新的素材。其中最重要的,是描述随时间变化的偶然现象的随机过程,这其实是描述运动的函数这一概念的概率版本,它在牛顿的时代确立。

进入20世纪后,集合论为数学的各个理论打下基础,这一影响也波及概率论。从19世纪到20世纪初,人们明白了概率的数学本质是测度。这是因为波莱尔(Borel)和勒贝格(Lebesgue)所研究的新测度论及积分论的诞生使面积和体积被严密定义。这一思想虽然最初只在单个问题上体现,但随着柯尔莫哥洛夫在概率空间的基础上建立起概率论,概率论整体终于实现了体系化。19世纪末,与各科学领域中的统计现象相关联的随机过程也完全能以数学的方式进行研究。

这样一来,几个基本的随机过程,比如维纳的布朗运动(现在被称为维纳过程)、莱维的独立增量过程,还有辛钦的平稳过程等都被详细地研究了。在随机过程论创立的初期,虽针对某些时点的值进行过联合分布的研究,但很快研究重点就转移到随机过程的样本路径的性质上了。样本路径可以说是随机过程的本质。

柯尔莫哥洛夫开始考虑与普通动力系统相对的概率上的动力系统,最终推导出确定其转移概率的柯尔莫哥洛夫微分方程。我深入挖掘潜藏在柯尔莫哥洛夫思路中的线索,开始考虑可以直接表示支配概率动力系统的样本路径的微分方程,并为了求解方程定义了随机积分和随机微分。对结果取平均值后,就得到了柯尔莫哥洛夫的微分方程。这一理论在日本、法国、苏联和美国的众多研究者的努力下实现了一般化,现在已经发展成一个名为随机分析的领域,控制、推测由随机微分方程确定的现象的理论也已经被建立起来。

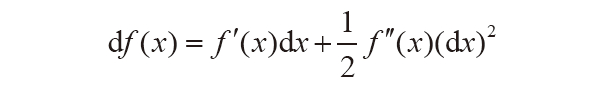
在随机分析中,需要把在一般微积分学中惯用的

这一基本等式写成下面的形式。

这个公式通常被称为伊藤公式。现在,这个公式有了更为一般的形式。

最近,随机分析在日益发展,法国的马里亚万引入概率变分法,创立了极其深奥的理论。这一理论被称为马里亚万随机分析。不只法国的研究者,日本、美国、英国的众多研究者也为理论的发展添砖加瓦。就这样,我引入的随机微分、随机积分因众多数学家的贡献而茁壮成长,这完全超出了我的预期,对我而言实数侥幸。我把自己微不足道的研究放在内容宏大的演讲中,虽难以为颜,但还是依照事先安排为大家做了介绍。

谢谢大家。

(写于1989年3月)

注释

1.本书中的“自然数”不含0。——编者注

2.这里的h指的是这些数词的日语罗马音中的h,后文中的m和y指的也是日语罗马音。——译者注

3.日本律令制下的大学寮中研究算术的学科。——编者注

4.日本江户时代寺院所设的私塾。——编者注

5.算额是日本江户时期出现在神社和寺庙里的几何题。——译者注

加载中...