中金2023年展望 | 固收+:“反拥挤”与行业轮动
显然2022年并非“固收+”的大年。全年来看,二级债基和偏债混基分别收跌5.1%与3.8%,同期纯债基金收益2.23%。最大回撤大于5%的固收+基金占比超过6成,而回报大于3%的产品占比不足2%。2022年年初的赛道、3月转债的急调,年中短暂反弹后似乎不久就迎来了漫长的“理财赎回”——虽然实际时间只有不足2个月,但却让2022年显得更为漫长。本质上,这些“回撤点”来自机构化过程中,趋同性的强化。
对于2023年,机构化交易趋同的趋势仍在,从“反拥挤”入手来做好回撤管理仍有一定实战意义,我们在下文详细介绍我们的反拥挤择时策略。而择券部分,我们认为行业间基本面差异或不小。对于股票和转债部分,组合可以多关注行业轮动策略。
进退维谷——2022年固收+表现回顾
2022年对于固收+是“洗牌回整”的一年,市场经历两轮较大回撤,近乎回吐2021年以来的利润。产品层面,全年最大回撤大于5%的固收+基金比例接近62%,产品遭遇近似。我们回顾相对排名靠前的产品,破局的手段主要在于对债市的绝对择时,以及把握个股的机会。然而2022年具备这一能力部分产品,可能从2019-2022年的长周期来看相对实力也并不显著。
图1:固收+基金2020-2021年回报(单位:%)与2022年回报(单位:%)对比
资料来源:Wind,中金公司研究部;注:统计2019年12月31日以前成立,2021年12月31日基金在管规模(净值)大于一亿元的二级债基与偏债混基金
图2:2022年固收+基金市场回顾(左轴:基金占比,右轴:各指数点数)
资料来源:Wind,中金公司研究部
从时间脉络来看,固收+2022年经历了三波行情,
2022年1-4月——股市拖累固收+创年内主要回撤:年初开始市场整体维持2021年12月以来的调整,赛道和机构重仓品种出现较大回撤,而后随着俄乌冲突、海外通胀超预期与国内疫情散发等因素进一步回调。转债同期受正股、部分个券超预期强赎和固收+资金赎回的影响,估值与绝对价格开始同步下行。而纯债,10Y国债利率相对保持平稳,信用债2-4月经历了对经济预期乐观转悲观的周期,利差开始明显下行,“资产荒”格局明显。
图3:创业板年初已破55周均线
资料来源:Wind,中金公司研究部
2022年4-7月——市场反弹,净值修复期:市场情绪触底后股市开启反弹,整体疫情影响趋稳,国内流动性“以我为主”保持宽松。转债4-5月经历了双高炒作与成交放量,以及正股驱动,估值回升企稳。6月底新规及时推出,也遏制了市场非正常交易行为。纯债部分,5月下旬开始受基本面复苏推动,10年国债和资金利率开始抬升,机构自发降杠杆。
图4:情绪指标的换手率部分在4月开始触底
资料来源:Wind,中金公司研究部
2022年8-12月——风格偏移相对极致化后回调与理财赎回:在2022年6月下旬-8月,大小盘以及成长价值的风格偏离分别触发阈值,风格相对极致化后回调带来市场整体调整。成长股先行价值股、小票先行大盘股开始回调。虽然市场在二十大和疫情政策优化前后一阵回整,但整体并不显著。而转债部分,8月出现金博超预期赎回,虽然后续整体估值企稳,但受正股扰动整体处于震荡。
图5:8月风格相对极致化后的回调
资料来源:Wind,中金公司研究部
纯债部分,8月15日央行超预期降息推动利率下行至年内新低,但后续缺乏新的催化剂整体保持震荡。10月底以来资金面的趋紧,以及防疫优化叠加地产支持政策的诱因,利率水平快速回升,从而引发理财赎回而放大市场波动。转债受对应调整,绝对价格与估值再度回落。
图6:2022年末的理财赎回情况
资料来源:Wind,中金公司研究部
固收+“反”拥挤策略的稳定性
展望2023年,由于我们认为整体机构化交易趋同的大趋势仍在,资产价格也可能受流动性冲击有一定波动,因此对于固收+而言,我们建议组合管理人应当多关注资产拥挤度这一指标,从“反拥挤”入手来做好回撤管理。我们就各类资产的拥挤度刻画提出了一个框架,并就如何利用资产拥挤度来进行资产择时进行了回测。我们的“反拥挤”策略自2013年以来,年化回报8.19%,年化波动3.71%,最大回撤3%,实现年度的“绝对收益”与回撤管理目标。
如何刻画各类资产的"拥挤度"
对于不同的基础资产,我们认为由于其拥挤度的刻画,以及对其利用也应当存在一定差异:
对于股票,
我们认为其拥挤度可以从两个维度刻画,一个是“市场成交”,我们利用全A股的换手率来进行刻画,其反映了市场整体参与热度;另一个是“市场分歧”,我们利用行业间表现的差异性来进行刻画,差异性越大意味着市场对于某一类行业偏好可能越显著——结构上的矛盾也就更加剧烈。
具体计算上,1)获取原始数据:对于市场成交分量,我们起始数值是日度的全A(Wind全A)换手率;而对于市场分歧分量,起始数值是一级行业指数的日度收益率,我们先将各行业滚动90日的日度收益率进行主成分分析(所谓主成分分析,是为了将信息降维,将多个变量提炼到较少的变量上,其各个成分的方差解释比例代表着这个变量能代表过去多少信息),计算第一成分的方差解释比例,因为该数值可以表征行业间表现的可解释性,我们再用1-减去该数值,就得到行业间分歧度指标。
2)进行统一处理:将分量数据,一同先计算其滚动30日的指数加权平均,再计算其滚动6年的历史分位数,作为指标。之所以对于两个分项都采用指数加权平均,是因为想在平滑数据的基础上尽可能减缓数值的滞后性,而采用滚动6年的历史均值,则是希望尽可能看长周期下该数值水平。
图7:股市拥挤度的计算逻辑
资料来源:Wind,中金公司研究部
图8:股市拥挤度的代码
def computeStkCrowd(initiateDate):
stkObj = indData(initiateDate) # obj中存储了中信一级行业指数的收盘价
_, dfTurnover = w.wsd('881001.WI', 'dq_amtturnover, close', initiateDate, '', '', usedf=True) #获取全A换手率
dfTurnover.index = [pd.to_datetime(d).strftime('%Y/%#m/%#d') for d in dfTurnover.index]
# 计算市场分歧度的原始代码,进行PCA,计算第一成分的解释比例与1的距离
matIndPct = stkObj.DB['Close'].pct_change()
srsDis = pd.Series(index=matIndPct.index, data=np.nan)
for i, d in enumerate(matIndPct.index):
if i >= 90:
tempMat = matIndPct.loc[:d].tail(90).dropna(axis=1)
pca = PCA(n_components=2)
pca.fit(tempMat)
srsDis.loc[d] = 1 - pca.explained_variance_ratio_[0]
# 对分量分别进行两轮数据处理
srsTurns = computeQuant(dfTurnover['DQ_AMTTURNOVER'].ewm(span=30, min_periods=30).mean(), window=1500)
srsDisRet = computeQuant(srsDis.ewm(span=30, min_periods=30).mean(), window=1500)
dfStkCrowd = pd.DataFrame(columns=['市场成交', '市场分歧'])
dfStkCrowd['市场成交'] = srsTurns
dfStkCrowd['市场分歧'] = srsDisRet
dfStkCrowd['股市拥挤度'] = dfStkCrowd[['市场成交', '市场分歧']].mean(axis=1)
return dfStkCrowd['股市拥挤度']资料来源:Wind,中金公司研究部
图9:股市拥挤度历史变化情况
资料来源:Wind,中金公司研究部; 注左轴为拥挤度无单位,右轴为Wind全A
通过对2013年以来的数据进行分析,我们观察到
1)股市拥挤度具备偏左侧的预警功能:我们所构建的股市拥挤度,从历史来看能较好预警后续的交投风险,例如2014-2015年、2017-2018年,2021年,拥挤度均预示了未来(相对偏长的窗口后)较高的回撤风险。
2)拥挤度斜率可以进一步补强拥挤度预警效果:从上图也能看到,由于股市拥挤度预警对后续较长时间窗口的判断是准确的,但是过早触发预警的情况,可能会压制股票对固收+组合的增厚效果。我们发现,事实上还能通过计算拥挤度的一阶导(斜率),来关注市场风险偏好的边际变化,这一边际变化情况能补强拥挤度的预警。我们观察到当拥挤度斜率由正转负时(拥挤度掉头开始下行),市场风险偏好强势期暂歇,市场整体波动更容易放大,后续行情相对较弱;而当拥挤度斜率由负转正时(拥挤度触底反弹),市场风险偏好开始抬头,相对更容易触发趋势行情。因此我们认为,将拥挤度绝对值与其斜率一起使用,效率会更高。
图10:股市拥挤度及其斜率所呈现的指向性
资料来源:Wind,中金公司研究部
对于债市
我们认为可以税收利差与成交活跃两个维度入手。采取税收利差的原因是,当市场出现较多投机需求时或者说流动性很充裕时,税收利差这部分就会有明显的压降。
具体计算上,1)获取原始数据:我们以10年国债与10年国开到期收益率差作为标准的税收利差,而对于纯债的活跃程度,我们计算中债综合总财富指数CBA00101.CS成分券结算量与成分券总市值比重,来获取一个近似债券换手率的指标;
2)进行统一处理:与股票拥挤度略有不同,我们将分量数据,先计算其滚动20日的指数加权平均,而后再计算其滚动6年的绝对Z值,作为指标。
图11:债市拥挤度历史回顾
资料来源:Wind,中金公司研究部;注:左轴为拥挤度无单位,右轴为中债总财富指数
从历史来看,这债市拥挤度与股市拥挤度存在区别,
1)债市拥挤度极值本身有风险预警作用:区别于股市,债市拥挤度极值呈现尖刺,更容易做到及时发现,有调整时间窗口。我们以拥挤度四舍五入后的数值进行分类,计算对应拥挤度下未来时间单位的最大回报-最大回撤,可以看到拥挤度的极值本身就有比较明显的预警效果;
2)债市拥挤度回落或上升与债市净值表现关系不大,主要关注债市拥挤度与其历史均值的偏离幅度:目前债市虽然经历了11月的调整,但目前市场拥挤度仍处于历史较高水平,近期交易层面仍需保持一定关注。
图12:债市拥挤度数值的绝对择时能力(单位:%)
资料来源:Wind,中金公司研究部
对于转债
我们不需要把这个问题复杂化,事实上转债市场的拥挤度可以直接以估值作为一个衡量值——百元溢价率、隐含波动率中位数等纵向可比的估值指标,都可以对转债的拥挤度进行刻画。这里我们直接使用隐含波动率进行20日的移动指数平均。
图13:转债估值对转债拥挤度的刻画
资料来源:Wind,中金公司研究部;左一轴为隐含波动率数值,单位%;左(外)轴为隐含波动率一年分位数;右轴为EasyBall策略净值与中证指数
如何依据拥挤度进行资产择时
以上我们就三类基础资产的拥挤度刻画进行分类解释,具体落实到资产配置上,我们依据前述的指标可以构建一个固收+组合,分别对三类资产进行仓位择选,具体逻辑如下:
► 组合约束:股票+转债的持仓上限为30%,组合杠杆上限为130%,股票资产以股票型基金(885000.WI)作为指代,转债以EasyBall为例,纯债资产以中长期纯债基金(885008.WI)为例,资金成本和剩余仓位补足均利用货币基金指数(885009.WI);
► 股票:股市主要看拥挤度斜率变化,当斜率为正,且持续为正,则股票仓位逐日增加1%,上限为20%,而若斜率开始转负,则股票仓位快速降低仓位10%;反之当斜率为负,且持续为负,则股票仓位逐日降低1%,下限为0,如斜率转正,则股票仓位快速提升仓位10%;股票自身组合上限30%,下限0%;
► 转债:转债自2017年纳入组合,主要看隐含波动率较历史高分位数的变化,我们将过去120日80%分位数设定为相对极值,若隐含波动率显著大于该极值,依据显著性大小将仓位逐日降低1%-2%,显著性由120日标准差个数来判断;而若显著小于该值则逐日抬升1-2%,无符合条件的则保持原有仓位;转债自身组合上限20%,下限0%;
► 纯债:纯债主要看债市拥挤度的“尖刺”,我们将过去120日均值设定为相对值,若债市拥挤度显著大于该数值,则依据显著性大小将仓位逐日降低1-2%,显著性由120日标准差个数来判断。而若显著小于则逐日抬升1-2%,无符合条件的保持原仓位;纯债组合上限100%,下限30%(因为现金可以当作存单做替代);
► 依据股票和债券各自的绝对仓位,在30%股票总持仓上限,和130%杠杆限制下,利用货币基金来做仓位调整。
图14:“反拥挤”择时组合构建逻辑
资料来源:Wind,中金公司研究部
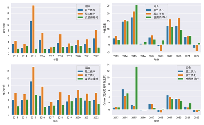
图15:“反拥挤”择时组合的效果
资料来源:Wind,中金公司研究部;注:左轴为组合权益仓位情况;右轴为各组合净值
“反拥挤”择时组合,自2013年以来,年化回报8.19%,年化波动3.71%,最大回撤3%,较股二债八、股三债七组合均有明显收益增强。分年来看,组合2013年以来10年均录得正收益,尤其在收益相对不容易的2016-2018年和2022年。回撤管理和抗波动效果,也都明显好于其他组合。但整体组合的收益弹性,在个别年份,还是会稍微次于固定比例的组合,如2017年和2020年,这两年都面临组合加仓速度较慢的情况。
图16:“反拥挤”择时效果(单位:%)
资料来源:Wind,中金公司研究部
基于增长预期与拥挤度的股债行业轮动
具体择券层面,我们认为就结构而言,行业轮动在2023年可能依然是重要的。基于我们2022年底对于多个转债标的的微观调研,我们发现不同行业的发行人整体对于2023年的盈利增长预期有一定分歧。对于自身盈利改善幅度,转债发行人预期差异大。因此基于行业间基本面情况,我们认为权益资产内部,2023年行业轮动的必要性会加大。
首先从基本面出发,我们依据市场分析师预计构建了各个行业的景气度指数。我们将各行业指数的成分股未来12个月的净利润进行加总,计算较一年前的同比变化情况,以体现行业自身增长预期。再将各个行业的数值与中证800的数值相减,以获取各行业相对大盘的景气度差异。最后计算截面分位数,以此看哪些行业相对优势更显著。通过对于各行业景气度指数的跟踪统计,我们看到部分板块2023年的确可能面临景气度周期的切换。
图17:分行业增长预期变化
资料来源:Wind,中金公司研究部
对于行业轮动策略,我们从增长预期和拥挤度两个维度来进行综合判断。
首先是增长预期,我们在前文中提及部分板块在2023年可能存在景气度的切换,这里的景气度我们所指代的不是当下行业的景气度,而是市场预期的景气度,我们会先选取增长预期近期提升且处于横向70%分位数的行业;
其次是拥挤度,它是第二部分固收+“反拥挤”思路的延申,但构建方式略有不同。对于行业拥挤度,我们计算3个月影线实体比(刻画行业筹码集中度)、换手率和波动率三者历史分位数的均值。我们将拥挤度处于85%分位数的品种进行剔除,以此来构建行业轮动策略。
图18:增长预期与拥挤度结合的行业轮动策略构建思路
资料来源:Wind,中金公司研究部
以当前我们行业轮动策略所选择的“食品饮料”为例,目前其相对中证800的增长预期在5.4%,整体也处于行业70%分位数附近。其市场拥挤度数值处于30-50%分位数附近,整体拥挤压力不大,因此属于我们本期行业轮动策略的目标行业之一。
图19:以食品饮料为例的行业择选逻辑
资料来源:Wind,中金公司研究部
依据如此的行业轮动逻辑,我们分别可以构建个股和转债择选,即选符合精选行业的个股/转债标的。其中转债组合2018年-2022年实现年化回报22.01%,每年均实现正收益,2022年最大回撤12.56%,回报6.2%。
我们依据股二转债一债七的配比,构建无择时效果的固收+组合,可以看到依据行业轮动的组合回报能显著跑赢常规的组合。股债行业轮动组合,2013年-2022年实现年化回报10.23%,最大回撤8.6%,而普通组合回报在7.3%,最大回撤11.3%。
图20:增长预期与拥挤度结合的固收+行业轮动策略效果
资料来源:Wind,中金公司研究部
最近两年来看,主要差距是在2021年6-7月前后。彼时行业间分化相对明显,而后部分行业在2021年年底开始拖累指数下行,但行业轮动策略相对表现较好。若在这一行业轮动的基础上加入我们“反拥挤”的择时,则组合回撤效果会被压降到较为“夸张”的4.5%。
宏观景气复苏低于预期,货币政策超预期,海外通胀及衰退风险加剧。
本文摘自:2023年1月6日已经发布的《固收+2023年展望:"反拥挤"与行业轮动》
罗 凡 分析员 SAC执业证书编号:S0080522070003
杨 冰 分析员 SAC执业证书编号:S0080515120002;SFC CE Ref: BOM868
陈健恒 分析员 SAC执业证书编号:S0080511030011;SFC CE Ref: BBM220