新浪财经

深度研究 | 经营权类基础设施REITs估值研究

园园ABS研究

关注

作者简介

徐成彬,经济学博士,中国国际工程咨询有限公司研究中心副主任、研究员、教授级高工,享受国务院政府特殊津贴专家,研究方向:技术经济、投资经济、PPP和REITs政策研究及实务。

张蓉,女,中国国际工程咨询有限公司研究中心理论方法处副处长、正高级经济师,研究方向:技术经济、工程咨询理论方法。

牛耘诗,工学博士,中国国际工程咨询有限公司研究中心助理研究员,研究方向:基础设施投融资、工程咨询理论方法。

摘要:基础设施领域不动产投资信托基金(REITs)资产分为经营权类和产权类,本文深入探讨了两类资产特征及其估值的差异性,从评估目的、价值类型、市场条件等方面分析了收益法估值对经营权类REITs的适宜性,构建了经营权类基础设施REITs的估值框架和模型;结合已上市的9只经营权类REITs估值参数选取和项目周期价值变化的实际情况,特别是部分高速公路REITs破发现象,评价了估值结果的合理性。本文提出了经营权类REITs估值应坚持权益属性、合理选取核心参数、明确估值合理性判别依据、披露估值依据和运营管理信息、启动扩募机制等结论建议。

关键词:基础设施领域不动产投资信托基金;经营权;资产评估;折现率

引用格式:徐成彬,张蓉,牛耘诗.经营权类基础设施REITs估值研究[J].证券市场导报,2022,(12):31-42.

基础设施不动产投资信托基金(以下简称基础设施REITs)是我国投融资体制改革的重大创新,是金融服务实体经济的重大举措。基础设施REITs估值直接影响二级市场定价和走势,关系原始权益人募集资金规模和投资人收益率。自2021年6月21日首批9只基础设施REITs在深沪证券交易所上市以来,截至2022年11月30日已有22只基础设施REITs先后上市,累计募集资金756.76亿元,市值827.58亿元,平均涨幅9.36%。

按照基础资产收益来源,基础设施REITs试点项目可以分为两大类:一是经营权类项目,如高速公路、污水处理和固废处理等,共有9只;二是产权类项目,如产业园区、仓储物流、保障性租赁住房等,共有13只。两类项目特征和估值方法不同,二级市场波动幅度差异性较大,其中5只经营权类REITs跌破了发行价。这一方面揭示了基础设施REITs权益资产的内在属性,另一方面反映了提升经营权类REITs估值能力的重要性。本文从经营权类REITs的特征辨析切入,结合9只REITs的估值实践和市场表现,研究估值方法、模型和参数选取的基本逻辑及其合理性,分析了高速公路REITs破发现象背后的短期市场波动以及疫情等非市场原因,并对估值核心参数选取、估值合理性判断依据、信息披露、扩募机制等方面提出建议。

一、经营权类REITs与产权类REITs的差异性

(一)特征差异

鉴于现行法律框架,我国基础设施REITs试点阶段采取了“公募基金+资产支持证券(ABS)”的独特结构,要求基础资产所属的项目公司100%股权通过资产支持证券,完全转让给公募基金。基础设施REITs试点项目申报时,要求项目权属清晰、资产范围明确,发起人(原始权益人)依法合规直接或间接拥有项目所有权、特许经营权或经营收益权。

从基础资产的权属性质看,所有权、特许经营权或经营收益权的内涵是不同的。所有权即产权,是发起人(原始权益人)拥有的一种物权,即依法对项目基础资产享有的占有、使用、收益和处分的权利。特许经营权是政府授予法人实体的一项特权,即政府采用竞争方式依法授权原始权益人,通过协议明确权利义务和风险分担,约定其在一定期限和范围内投资建设运营基础设施并获得收益,提供公共产品或者公共服务的权利。经营收益权包括经营权和收益权,即政府授权经营者运营基础设施并获得收益的权利。

从基础资产的土地权属看,产权类项目的土地使用权主要通过协议出让、招拍挂出让或二级市场交易等有偿方式取得,目前尚无划拨方式先例;特许经营权类和经营收益权类项目的土地使用权,除了华泰江苏交控REIT的服务区经营性用地由政府通过作价出资外,其他项目用地使用权均通过划拨方式取得。

从基础资产的收益期限看,产权类基础设施REITs的存续年限主要取决于土地使用权的剩余年限,具体年限与土地性质有关。根据我国土地管理法规,保障性租赁住房、产业园区和仓储物流、旅游类项目用地最长年限分别为70年、50年和40年,国有土地使用权时限自取得国有土地使用证的时间开始计算。相比而言,特许经营权原则上不超过30年;经营收益权期限由经营协议约定,也可以根据需要不约定具体年限。

鉴于上述特征,本文将特许经营权类和经营收益权类的基础设施REITs统称为经营权类基础设施REITs(以下简称经营权类REITs)。经营权类REITs是以特许经营权或经营收益权为基础资产的金融产品,主要聚焦政府授权类基础资产,如公共服务(水、电、燃气、有线电视等)经营管理者向用户收费的权利,交通基础设施(公路、桥梁、隧道、渡口等)经营管理者向过往车辆收费的权利,景区经营者向游客收费的权利,发电企业向电网公司收费的权利等。产权类REITs与经营权类REITs的主要差异见表1。

表1 产权类REITs 和经营权类REITs 的特征比较

(二)估值差异

产权类REITs和经营权类REITs的资产特征差异显著,由此导致两类资产的估值基础不同。

一是资产估值构成不同。由于经营权类项目土地权属不因项目公司股权交易而发生变更,因此其REITs资产估值结果主要取决于基础资产的运营收益,不包含项目土地价值。经营权类REITs的原始权益人需要承诺估值不包括土地使用权作价。产权类项目估值收入主要包括物业租金收入,基金持有期间的土地使用权溢价由投资人享受。

二是资产估值折现率不同。经营权类REITs投资人在基金存续期间面临着资产价值规模不断缩小的趋势,在收费期满后,将按国家有关规定向政府或其指定的主管部门办理无偿移交手续(含项目用地移交),因此在基金存续期不仅需要获得投资分红,还要收回全部投资的“本金”,因而其估值的折现率一般较高,目前上市的9只经营权类REITs估值的折现率大致在8%~10%。产权类项目拥有完整产权,基金持有期间的资产价值缩水不明显,甚至存在增值利得,投资旨在获得现金流分派,其折现率相对较低,基本上在6%~8%。

三是资产估值期限不同。经营权期满后,原来被授权的经营者原则上必须重新公开竞争或展期谈判,才可能获得继续经营权,因而其估值的收益期限一般就是资产剩余经营年限;产权类项目估值的收益期限取决于土地使用权的剩余年限,但到期按规定缴纳展期的土地出让金,一般可以拥有继续使用权,从这个角度可以将其看作永续经营项目。

四是资产残值处理要求不同。经营权类基础设施经营期满,资产通常需要无偿移交给政府或其指定的机构,因此资产估值一般不考虑残值;产权类项目资产折旧或摊销年限往往长于经营期限,对期满残值进行折现,计入资产估值。

二、经营权类REITs资产估值方法

我国经营权类REITs估值还处于探索阶段,评估方法、评估模型和参数选取等尚未形成统一规范的标准,导致估值结果在资本市场中缺乏参照价值和锚定效果,直接影响基础资产评估结果的真实性、准确性和有效性。

(一)资产估值方法比较及适宜性

1.资产评估方法体系

资产评估方法体系是指评定估算资产价值所采用的途径和技术手段的总和。资产评估方法体系包括市场法、收益法、成本法三种基本方法(见图1)。其中,市场法也称比较法,是基于均衡价值理论,采用比较和类比的思路,通过与近期出售同类资产的市场价格比较,调整确定评估资产价值。这种方法适用于市场活跃、公开,且近期有充足的、具有替代性交易实例的资产。收益法则是基于预期效用理论,从产出角度将评估对象未来预期收益折现。这种方法适用于整体资产或产生收益且可以独立计算的单项资产。成本法是基于生产费用价值理论,按照重建或者重置评估对象的思路,将重建或者重置成本作为确定资产价值的基础,扣除相关贬值,以此确定资产价值。这种方法适用于以资产重置、补偿为目的的资产。

2.经营权类REITs估值方法的适宜性

本文从评估对象特征、评估价值类型、评估适宜条件等方面分析经营权类REITs估值方法的适宜性,总体来看经营权类REITs适宜采用收益法估值。

(1)评估对象的基本特征

经营权类REITs资产属于政府授权类无形资产,即由政府授权特定经济主体所控制不具有实物形态、对生产经营长期发挥作用且能带来经济利益的资源。作为资产评估对象,基础设施REITs基础资产具有确定性、可转让性、时效性、排他性、现金流稳定性等特征,总体适宜于收益法估值(见图2)。

(2)评估价值类型

经营权资产评估主要为了交易、融资和合资(或合作),或者为了税收和财务报告。基础设施REITs估值主要目的是交易和融资,即在公开市场条件下为标准化金融产品提供公平交易的价值,为理性的买卖双方在地位平等、信息公开、交易成本时间成本足够低的市场上最终达成的一致价格。该类价值可以采用市场法、收益法和成本法进行评估,但收益法面向未来,更具适宜性(见图3)。

图3 资产评估方法适宜性(价值类型角度)

(3)评估适宜分析

经营权类REITs估值首选收益法,主要原因如下:一是我国基础设施领域经营权交易市场的活跃度相对有限,且该类资产受项目情况、地域特征、合作条件等因素影响较大,可比案例数量较少,市场法的局限性较大。二是经营权类REITs资产价值主要由效用决定,与成本具有弱对应性;此外,成本法还需要完备的历史资料、可计算的资产价值耗费、现实资产与历史资产具有可比性。三是经营权类REITs资产具有自身经营期限长、收入稳定、现金流可预测等特点,与收益法存在天然的契合性。

(二)经营权类REITs估值模型设计

1.估值框架

经营权类REITs估值采用收益法,主要基于项目可分配现金流折现,即在剩余收益期限内对项目可分配现金流逐年折现累加(见图4)。

2.估值模型

根据图4,经营权类基础设施REITs收益法估值模型如式(1)所示:

从式(1)和式(2)可以看出,在明确基准期可供分配净现金流(D0)条件下,基础资产估值(PV*0)与可供分配净现金流增长率(g)和折现率(r)呈现指数相关。

经营权类基础设施预期收益具有较强的稳定性和一定的成长性,REITs预期收益一般都是基于历史预测未来。基础设施REITs试点项目申报要求近3年内总体保持盈利或经营性净现金流为正,预计未来3年净现金流分派率原则上不低于4%。因此,未来初始几年可以看成是显性的收益期,其增长率一般延续过去3年的发展趋势。

(三)经营权类REITs估值模型的核心参数

经营权类REITs资产估值可采用收益法,影响资产估值的主要参数包括收益期限、预期收益和折现率(见表2)。

表2 收益法估值的核心参数

1.收益期限

收益期限是指资产具有获利能力持续的时间。经营权类REITs资产的收益期限一般根据有关法律、法规、契约、合同等进行测定。

根据《基础设施和公用事业特许经营管理办法》,基础设施和公用事业特许经营期限最长不超过30年,一般为10~30年。某些特殊领域的项目由于行业特点、公共产品或服务需求、项目生命周期、投资回收期等因素,经营期限具有一定特殊要求。如国家民用空间基础设施遥感卫星项目经营期限一般为8~10年,大型水利枢纽项目经营期限通常超过30年,多为50年。

2.预期收益

经营权类REITs预期收益应考虑项目近3年运营稳定性,并对比项目可行性研究阶段的预期值,在合理确定基准年收益的基础上,统筹价格增长和服务量增长两个方面。其中价格增长应考虑调价机制;服务量增长率应考虑设计能力、项目特点、项目周期、空置率和市场竞争,以及特许经营协议(或PPP合同)约定的最低需求量等因素。

经营权类REITs的运营成本、资本性支出可根据项目类型、历史数据以及经营计划进行预测。其中,运营成本可按运营收入的一定比例估算。

3.折现率

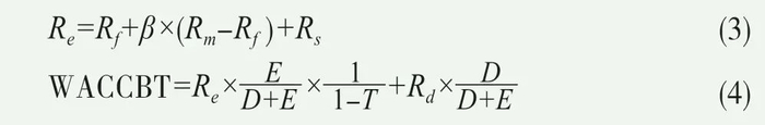
收益法评估所采用的折现率本质上是一种期望投资报酬率,是投资者在投资风险一定的情况下,对投资所期望的最低回报率。它不仅要反映资金的时间价值,还应当体现与收益类型和评估对象未来经营相关的风险,与所选择的收益类型与口径相匹配。目前折现率的测定主要采用资本资产定价模型法(CAPM)、所得税前加权平均资金成本法(WACCBT)、风险累加法等。

资本资产定价模型法(CAPM)和所得税前加权平均资金成本法(WACCBT)的基本公式如式(3)和式(4)所示:

式中,Re是权益资金成本,无风险回报率(Rf)、风险系数(β)、市场风险超额收益率(Rm-Rf,即ERP)、特有风险超额回报率(Rs)、债务资本成本(Rd)等参数的取值存在一定差异,E、D、E/(D+E)、D/(D+E)分别为股东权益、企业负债、股权占总资本比率、债务占总资本比率。T指所得税率,若项目运营期存在“三免三减半”等税收优惠政策,应分别说明各年的所得税率。资本结构一般可采用被评估企业评估基准日的真实资本结构,也可以参考可比公司,行业资本结构水平采用目标资本结构;若收益期限内资本结构变化幅度较大(如真实资本结构与目标资本结构差异较大等),可采用动态资本结构。

(四)核心参数的选取原则与方法

在经营权类REITs估值过程中,收益期限、运营收入及其增值率、折现率等核心参数的选取十分关键。从经营权类基础设施的基本估值模型式(1)及其改进模型式(3)可以看出,折现率(r)和预期收益增长率(g)对估值(PV*0)的影响呈现指数变化关系,其合理性直接影响估值高低及其二级市场表现,参数选取应符合相关原则与方法。

1.收益期限的选取

经营权类REITs资产的收益期限,一般即为剩余经营期限,同时还应符合相关法律法规、政策文件对经营权转让的要求。如《收费公路权益转让办法》规定,收费时间已超过批准收费期限2/3的,收费公路权益中的收费权不得转让。某些经营收益类项目的收益期限还应考虑评估对象的预期寿命、土地剩余使用期限、法律法规和相关合同等多种因素综合确定。

2.运营收入基准值及其增长率的选取

经营权类基础设施具有一定的独占性,用户及其付费具有很强的稳定性。因此,经营权类REITs运营收入基本上是基于历史预测未来,需要合理确定基准值和未来增长率。

确定收入基准值应遵循以下原则:如果项目近3年运营稳定,则综合考量特许经营协议(或PPP合同)中对基准值的限制条款以及评估基准日当年实际发生的平均价格和产量,按照孰低原则确定基准值;如果项目近3年运营不稳定,则应初步选择基准值后,剔除偶然性或突发性因素的影响,进一步修正确定基准值。一般项目可采用评估基准日前的3个年度内价格、产量的平均值或回归分析后确定评估基准值;已服务年限较长、价格或产量波动大的项目,可向前延展至5~10年。

REITs存续期间运营收入的增长率与行业特性和项目运营稳定性有关,个性化特征明显,增长率主要取决于价格增长率和服务量增长率。

(1)价格增长率

基础设施服务定价方法主要包括政府定价(含政府指导价)和市场定价两种。经营权类REITs资产属于重要公用事业、公益性服务和自然垄断经营的商品和服务,因此主要采用政府定价法。如污水垃圾处理费单价和通行费收费标准通常依据项目所在地发布的相关政策或者已签署的特许经营权协议确定,其价格增长率根据相关政府价格政策执行或特许经营协议(或PPP合同)中的调价机制执行。

(2)服务量增长率

基础设施服务量增长率需要综合项目特点、项目周期、市场竞争等因素,并结合相关法律合同进行确定。大多数基础设施项目的服务量可以达到设计能力,但也有部分项目一直存在空置率。如果项目服务量已达设计能力,服务量增长率可按无增长考虑;若已知国家产业政策、行业发展趋势等外部因素对服务量有影响,应作相应调整。如果项目服务量未达设计能力,可根据项目实际情况采用回归分析法、时间序列法等方法计算增长率。

基础设施服务量还需考虑特许经营协议(或PPP合同)有关约定最低需求量。例如,污水垃圾处理项目和高速公路项目的主要营业收入分别为污水垃圾处理费收入和车辆通行费收入。污水垃圾处理费收入由污水垃圾处理费单价和处理量决定,车辆通行费收入由通行费收费标准和车流量决定。若预期污水或垃圾处理量、预期交通量低于合同约定的最低需求量,按合同约定最低需求量处理;若预期量高于合同约定的最低需求量,按预期量处理。

3.折现率的选取

基础设施REITs是市场化的定价机制,经营权类REITs估值采用的折现率反映了项目和投资人的个性化特征和风险偏好,集中表现在风险系数(β)、原始权益人特有风险超额回报率(Rs)、债务资本成本(Rd)和股债比等参数取值,不宜规定全国统一的行业基准折现率。从上文中式(2)和式(3)估值模型看,折现率越低,资产估值越高。如果折现率选取过低,将导致估值情况过于乐观,REITs发行后难以通过市场检验,可能导致市值缩水。因此,为保障经营权类REITs估值的合理性,折现率的合理选取是重中之重。

(1)Rf:无风险回报率

Rf是指投资者投资无风险资产的期望报酬率,该风险资产不存在违约风险。通常可以用国债的到期收益率表示,选择国债时应当考虑其剩余到期限与企业现金流时间期限的匹配性。在REITs项目估值中,无风险回报率的选取通常参考中国国债利率。

(2)β:风险系数

β表示系统性因素给股权投资者带来的不可分散的风险,由REITs投资收益率与市场收益率的协方差除以市场收益率的方差得到。β等于1,表示REITs投资风险与整体市场风险相当;β大于1(或小于1),表示REITs投资风险大于(或小于)整体市场。

经营权类REITs估值时,风险系数理论上由同行业上市REITs的平均系数调整得到。由于我国基础设施REITs上市产品的数量和规模有限,实践中可选取与基础设施基础资产性质相同、经营规模相近、资本结构相似的国内A股同行业上市公司,查取可比上市公司的有财务杠杆贝塔系数βL、带息债务与权益资本价值比值、企业所得税率,并求取可比上市公司无财务杠杆贝塔系数βU的平均值作为评估对象无财务杠杆的系数βU,最后考虑评估对象的实际资本结构而得βL

(3)Rm-Rf:市场风险超额收益率(ERP)

市场风险超额收益率(ERP)是指投资者对与整体市场平均风险相同的股权投资所要求的预期超额收益,即超过无风险利率的风险补偿。ERP通常可利用市场的历史风险超额收益数据进行测算,如利用中国证券市场指数(沪深300指数、上证综合指数等)的历史风险溢价数据计算、采用其他成熟资本市场风险溢价调整方法、应用相关专家学者或者专业机构研究发布的数据等。

(4)Rs:被评估企业特有风险超额回报率

Rs一般可以通过以下方法确定:一是通过多因素回归分析等数理统计方法计算得出。二是将被评估企业特有风险超额回报率拆分为规模溢价和其他特定风险溢价。规模溢价可以利用资本市场数据通过统计分析等到,也可以参考相关专家学者或者专业机构研究发布的数据;其他特定风险溢价一般可以通过经验判断分析确定。三是在对企业的规模、核心竞争力、对大客户和关键供应商的依赖等因素进行综合分析的基础上,根据经验判断确定。

(5)Rd:债务资本成本

Rd是指企业债务融资的资金成本,一般可通过以下方法确定:一是以全国银行间同业拆借中心公布的贷款市场报价利率(LPR)为基础调整得到;二是采用企业债务的实际利率,前提是其利率水平与市场利率不存在较大偏差。

(6)Re:权益资金成本

权益资金成本通过资本资产定价模型(CAPM)计算得到,受无风险回报率Rf、风险系数β、市场风险超额收益率Rm-Rf和特有风险超额回报率Rs这四个指标取值的共同影响。

除以上六个重要参数外,折现率的计算结果还受到杠杆系数(D/E)的影响。不同基础资产的杠杆系数存在差异,也将导致资产估值折现率选取的差异。

三、经营权类REITs资产估值方法的实践应用

截至2022年11月30日,在深沪证券交易所上市的22只基础设施REITs产品中,9只经营权类REITs合计募集资金469.18亿元,占全市场募集资金总规模的62.0%。其中,中航首钢绿能REIT基础资产为固废处理和生物质能源项目,富国首创水务REIT基础资产为污水处理项目,其他7只REITs基础资产均为高速公路项目。

(一)参数选取及估值

9只经营权类REITs资产估值中的核心参数选取如下。

1.收益期限的选取

根据项目申报材料,已上市9只经营权类REITs的基础资产收益年限均按照特许经营权协议确定,平均剩余收益年限为16.56年。由于特许经营期限一般为10~30年,且发行REITs的基础资产需要一定的培育时间才能进入运营稳定期,多数项目的剩余收益期限集中在10~20年,如图5所示。其中,富国首创水务REIT的深圳项目剩余收费期限为13年,安徽合肥项目剩余收费期限为27年;中金安徽交控REIT的高速公路项目分东段、中段、西段三个路段分期建设,剩余年限分别为14.5年、15.5年和14.0年。

2.预期收益的选取

(1)价格增长率的选取

现已上市的9只经营权基础设施REITs估值中,预测单价均采用评估基准日当年实际执行的单价,并且在未来经营预测中未考虑单价的上涨。例如,广河高速估值预测中的通行费收费标准根据《广东省人民政府关于调整收费公路车流通行费计费方式的批复》(粤府函〔2019〕416号)确定;富国首创水务深圳项目的估值严格根据深圳首创与深圳市水务局签署的《深圳市公明水质净化厂(一期)提标改造补充协议》《深圳市松岗水质净化厂(一期)提标改造补充协议》及《深圳市福永水质净化厂(一期)提标改造补充协议》中约定的污水处理费单价进行预测。

(2)服务量增长率的选取

高速公路的交通量必须以现有收费数据为基础,预测时充分考虑实际的增长速度、可竞争交通方式和其他道路的分流车流量等因素,其中交通量增长速度主要考虑经济增长速度、产业布局情况,以及货物种类、铁路、水运的规划等情况,具体项目要具体分析。7只已发行高速公路REITs估值预测的车流量都有一个增长率区间(见图6)。可以看到,不同项目在REITs存续期内的交通量增长率和变化幅度存在较大差异,使得高速公路REITs上市后的市场表现直接受其实际交通流量影响。

在污水垃圾处理项目的产量已达设计能力的情况下,估值预测的服务量增长率基本按照无增长考虑。以富国首创水务REIT为例,其基础资产分别位于深圳和合肥,预测污水处理结算量以目前已经达到的实际产能为基础,其中合肥项目四期2020年7月31日转入商业运行,设计产能从20万吨/日提升至30万吨/日,预计2021年的日均污水结算量达到设计产能的80%,2022-2024年结算量增长率分别为8.33%、7.69%、7.14%,2025年至特许经营期结束的结算量增长率为0。首钢绿能项目年度垃圾处理量按照110万吨预测,与评估基准年垃圾处理量相同。

3.折现率的选取

9只已发行经营权类基础设施REITs的估值预测中,采用的折现率存在一定差异。折现率相关参数选取对比如表3所示。9只REITs的估值预测均采用了税前加权平均资本成本模型(WACCBT)计算折现率,但由于该模型的债务资本成本(Rd)、无风险回报率(Rf)、风险系数(β)、市场风险超额收益率(Rm-Rf,即ERP)、特有风险超额回报率(Rs)等参数的取值存在一定差异,导致各个项目估值采用的折现率差异明显。

表3 经营权类REITs 的折现率计算对比

(1)Rf:无风险回报率

尽管无风险回报率的选取通常参考国债利率,但其数值受评估基准日、国债期限(如5年、10年或15年)的影响而有所差异。例如,渝遂高速公路项目的评估基准日为2020年6月30日,无风险回报率参照我国已发行的10年期国债到期收益率的平均值确定为2.82%;中交嘉通高速项目的评估基准日为2020年12月31日,无风险回报率参照距评估基准日到期年限10年期以上的国债到期收益率,确定为4.04%,两者之间存在较大差异。

(2)β:风险系数

由于A股高速公路上市公司相对稳定,因此上市公司无财务杠杆贝塔系数βU的平均值差异较小。在现已上市的高速公路REITs中,华夏越秀高速的风险系数β取值最小,为0.5103;浙商沪杭甬高速的风险系数β取值最大,为0.8466。两者之间差异很大,主要原因为受评估标的公司(项目公司)杠杆系数(D/E)的影响,越秀高速的杠杆系数为221.75%,沪杭甬高速的杠杆系数为88.54%。

(3)Rm-Rf:市场风险超额收益率(ERP)

不同项目估值确定市场风险溢价的方法不同,会导致结果差异较大。例如,中交嘉通高速取沪深300指数开始日至评估日期间的平均报酬率作为市场预期报酬率Rm,查取证券市场平均报酬率Rm为10.54%,市场风险超额收益率Rm-Rf为6.50%;广河高速的市场风险超额收益率取值为2.34%(未披露详细过程),两者之间差异显著。

(4)Rs:被评估企业特有风险超额回报率

特有风险超额回报率主要考虑评估标的资产在经营规模、经营风险、所属区域经济发展状况等方面具有的特有风险。特有风险超额回报率尚无统一的选择方法,这导致不同项目的系数取值差异较大。例如,沪杭甬项目的Rs取值为0.5%,中交嘉通和渝遂高速的Rs取值为1.00%,越秀高速的Rs取值为1.77%,广河高速的Rs取值为2.25%。

(5)Rd:债务资本成本

除华夏中交嘉通REIT的债务资本成本详细数据未披露外,其他8只REITs的债务资本成本存在一定差异,最高成本与最低成本之间相差95个BP,说明不同项目之间的融资成本有所不同,但差异相对较小。

(6)Re:权益资金成本

权益资金成本通过资本资产定价模型(CAPM)计算得到。如前述参数取值所述,β、Rm-RfRs这三个指标取值差异明显,且基础资产的杠杆系数(D/E)差异也较大,导致计算得到的权益资金成本Re差异也较为显著。取值最高的是中交嘉通项目,权益资金成本为10.50%;最低的广河高速为7.77%,两者相差2.73%。

(7)折现率选取

9只经营权类REITs采用的折现率如图7所示。从估值模型看,折现率越低,资产估值越高。折现率选取过低,将导致估值情况过于乐观,REITs发行后难以通过市场检验,可能导致市值缩水。因此,为保障经营权类REITs估值的合理性,折现率的合理选取是重中之重。图7显示,9只REITs估值的折现率均不低于8%,中航首钢绿能REIT、富国首创水务REIT、华夏越秀高速REIT和国金铁建渝遂REIT的折现率均高于9.5%,相对保守;其余5只REIT折现率在8%~9%,其中平安广州广河高速REIT的折现率最低(8%),其次为华夏中交嘉通REIT,申报阶段的折现率为8.06%,再次为浙商沪杭甬REIT,折现率为8.40%,中金安徽交控REIT和华泰江苏交控REIT的折现率分别为8.59%和8.67%。

4.估值结论

截至2022年11月30日,在深沪证券交易所上市的9只经营权类REITs合计募集资金469.2亿元,占全市场募集资金总规模的62%。9只经营权类基础设施项目的竣工决算投资、REITs申报阶段的资产账面净值和收益法估值、REITs发行阶段的实际募集资金规模,以及存续期市值的比较如表4所示。

表4 已上市的经营权类REITs 项目估值比较

(二)估值结果合理性

在REITs项目申报阶段,基于收益法的资产估值是原始权益人对项目建设投资或资产购置对价的当前价值判断,普遍高于资产账面净值,其合理性留待网下竞价阶段的投资人认可,以及REITs存续期的进一步市场检验。REITs发行时的网下认购倍数是资产估值合理性的重要风向标;在REITs发行后的存续期间,现金流分派率直接反映了资产的获利能力,在可分派现金相对确定情况下,现金流分派率与估值大小成反比;存续期价格走向不仅是对项目申报阶段资产估值的修正,也是对项目生命周期价值的再发现。

1.溢折价比例或倍数

在经营权类基础设施项目的不同阶段,其投资规模或资产价值是变化的。基础设施REITs试点项目申报材料需要提供竣工决算投资、经营期限及其起止时间等信息,据此可以分析确定基础资产原值和账面净值,作为判断REITs估值溢价或折价的依据。其中,资产账面净值是基于历史成本(竣工决算投资)扣除累计折旧和摊销测算,申报阶段估值是基于未来现金流的收益法估值,实际发行募资规模是市场对资产价值的再发现。

对比资产账面净值和申报阶段估值,可以发现,除了中航首钢绿能折价发行(折价率为58.84%)、富国首创水务未披露完整数据,其他7单经营权类REITs估值相比资产账面净值,都存在不同程度的溢价,最高为中金安徽交控,溢价4.24倍;其次为浙商沪杭甬,溢价3.55倍(见表4)。总体而言,预计未来现金流的收益法估值与基于历史成本的资产净值遵循不同的逻辑,不具有可比性,但在一定程度上反映了国有资产的保值增值情况。

对比申报阶段估值和实际发行募资规模,可以看出,中航首钢绿能、富国首创水务募集资金规模分别是资产估值的1.23倍和1.07倍,存在一定程度的溢价发行;其他7个高速公路REITs募集资金规模相比资产估值,都存在一定程度的折价发行,其中最低比例为国金铁建渝遂(0.88),最高比例为浙商沪杭甬(0.98)。总体而言,9单经营权类REITs的实际发行规模基本接近资产估值。

2.网下认购倍数

从表4可以看出,相对于基于历史成本的资产账面净值,除了中航首钢绿能REIT,基于收益法的REITs资产估值都存在不同程度的溢价,有的基础资产评估值溢价数倍于账面净值。

自首批基础设施REITs产品上市以来,基础设施REITs的投资价值日益得到投资人的认可,申报认购倍数屡创新高,逐渐成为“香饽饽”。首批9个项目的机构网下平均认购倍数为8.29倍,其中中航首钢绿能、富国首创水务、平安广州广河和浙商沪杭甬的网下有效报价认购倍数分别为11.13倍、8.35倍、4.56倍和4.86倍。随着市场对REITs的认知度提高,2021年12月发行的越秀收费公路REIT网下认购倍数跃升至44.19倍,2022年4月中国交建REIT的网下认购倍数达37.17倍。此后,国金铁建渝遂、华泰江苏交控、中金安徽交控网下有效报价认购倍数分别为33.03倍、116.28倍和45.12倍,均实现了配额发售,充分体现了市场主体对经营权类REITs估值的认可。

3.净现金流分派率

目前,中航首钢绿能、富国首创水务、平安广州广河、浙商沪杭甬、华夏越秀高速、华夏中交嘉通、国金铁建渝遂共7只经营权类REITs已发布2022年三季报,华泰江苏交控和中金安徽交控发行时间较晚,暂时没有可以参考的公开财报。根据季报数据,截至2022年9月30日,7只REITs的可供分配金额和完成率如表5所示。

表5 经营权类REITs 的可供分配金额及完成率

(截至2022 年9 月30 日)

从可供分配金额完成率看,中航首钢绿能REIT第三季度可供分配金额为1079万元,前三季度可供分配金额超过5000万元,完成率为49%;第四季度的垃圾处理、发电等收入到账相对集中,2022年全年可供分配金额预计完成率达到80%以上(不含应收账款);如果第四季度的应收账款(约2800万元)能到位,那么全年可供分配金额能够达到10800万元,将超过2021年估值时的10200万元目标。富国首创水务的可供分配金额完成率为73%,主要原因是合肥项目所在的长江流域三季度遭遇严重干旱,导致收入相比2021年同期下降。收费公路项目的可供分配金额完成率在65%~73%,完成情况相较预期水平略有差距,总体不及75%,主要受到疫情防控、减免通行费政策等因素影响。总体而言,如果排除新冠疫情和极端天气等不可控因素,应收账款也及时到位,则经营权类REITs的2022年可供分配金额完成率预计都超过80%,基本达到预期目标。

4.二级市场表现

REITs二级市场的走势也是投资人关注的重点。截至2022年11月30日收盘,22只基础设施REITs加权平均上涨幅度为9.22%,但9只经营权类REITs加权平均上涨幅度为-3.65%,其中5只跌破发行价。从经营权类REITs二级市场实际表现看,折现率与二级市场涨跌幅度的关联度较高(见图8),基本上反映了折现率越低→估值越高→二级市场长期涨幅越小的基本逻辑。

按照REITs估值采纳的折现率从低到高的顺序:平安广州广河高速REIT的折现率最低(8%),2021年6月21日上市至2022年11月30日价格下跌12.43%;其次为华夏中交嘉通REIT,申报阶段的折现率为8.06%,2022年4月28日上市至2022年11月30日价格下跌10.99%;再次为浙商沪杭甬REIT,折现率为8.40%,2021年6月21日上市至2022年11月30日价格微跌0.14%。中金安徽交控REIT和华泰江苏交控的折现率分别为8.59%和8.67%,均高于8.5%,目前上市时间均不足15日,其涨跌尚不具有参考性。相对而言,富国首创水务REIT、华夏越秀高速REIT和国金铁建渝遂REIT的折现率均高于9.5%,估值相对保守,二级市场价格从未破发,涨幅相对较高。

总体而言,现上市的9单经营权类REITs折现率最低值为8%,基本反映了资产的长期内在价值和存续期投资者的最低预期回报率,取值相对合理。现阶段二级市场的短期破发与估值关系不大,主要受到短期的市场因素和非市场因素的影响。

(1)基础设施REITs的价格破发是资本市场权益类融资的一种正常波动现象

基础设施REITs是基于项目信用的权益性融资,没有担保、抵押和其他增信措施。自首批基础设施REITs上市以来,基础设施REITs的数量和规模不断增长,资产类型日益丰富,但二级市场价格一直处于波动状态。例如,2021年6月21日首批9只REITs上市日收盘时全部收阳,平均涨幅为3.7%;2022年6月21日中国REITs市场1周年时,首批上市的9只REITs产品迎来解禁,累计上市的12只产品平均涨幅为21%;2022年9月30日收盘时市场17只REITs的平均涨幅为20%;2022年9月30日收盘时市场17只REITs的平均涨幅为20%;10月14日收盘时市场20只REITs的平均涨幅为18.3%;截至2022年11月25日收盘时上市22只REITs的平均涨幅为9.36%。

基础设施REITs的基础资产具有一定的垄断性和排他性,高速公路、固废和污水处理等经营权类资产收益相对稳定。以高速公路项目为例,每公里通行费是判别预期收益能力的重要指标,可将高速公路REITs项目每公里通行费与全省高速公路的平均收费水平进行比较。如位于湖北省的中交嘉通高速公路,全长90.975公里,自2019年大通道拉通后通行量持续增长,当年实际交通量和2020年计算交通流量均超过项目可行性研究报告同期预测水平;2019年实际通行费收入为46,634万元,每公里通行费收入约512万元,超过湖北省平均水平(每公里374万元),表明其运营收入较稳定,估值相对可靠。

随着投资人对基础设施REITs的认知逐渐深化,二级市场的总体表现处于稳健状态。近一个多月的基础设施REITs市值跌幅相对较大,主要受资本市场整体环境的影响。二级市场的价格和市值的起伏变化,也诠释了基础设施REITs权益性资产的本质特性,而非属于固定收益的债权产品。

(2)部分高速公路REITs的二级市场价格破发主要受新冠疫情等非市场因素影响

高速公路是受新冠疫情影响最大的基础资产之一,必要时必须执行免费通行的优惠政策,车流量和收费起伏较大。例如,受疫情影响,中国交建嘉通高速、安徽交控沿江高速、江苏交控沪苏浙的项目公司的营业收入2020年较2019年分别下降19.27%、19.54%和17.34%,净利润和息税摊销折旧前利润(EBITDA)受疫情影响产生较大波动,但近3年总体运营状况较为成熟,运营收入和盈利水平相对稳定。

2022年10月以来,新冠疫情反复,传播速度加快,国内诸多省市疫情防控压力显著加大,交通出行普遍受到很大限制,高速公路收费影响首当其冲,投资人的短期信心受到明显扰动。可以预见,随着疫情防控形势的好转,恢复正常通行收费后,车流量增长较快,高速公路REITs的二级市场价格也必将理性回归至其内在价值。

四、结论与启示

本文从经营权类基础设施REITs的特征切入,从评估目的、价值类型、市场条件等方面分析了收益法估值的适宜性,构建了经营权类基础设施发行REITs的估值框架和模型,明确了收益期限、预期收益、折现率等参数选取原则和方法,并分析其在已上市9只经营权类REITs资产估值中的应用情况。研究发现,经营权类REITs与产权类REITs遵循不同的估值逻辑,经营权类REITs估值一般不含土地使用权,经营期满时将无偿移交,持有期间存在“还本”付息的内在需求;基于收益法的经营权类REITs估值结果基本接近市场真实交易水平或符合市场预期,具有较高的合理性。在估值模型中,预期净现金流增长率和折现率与资产估值呈指数相关,相关参数选取方面还有待进一步优化。

建议下一步从分段测算收益增长率、合理确定高速公路等资产折现率等方面进行估值优化,以便更好地评估REITs资产当前价位合理性以及资产未来的增值能力,为后续其他基础设施REITs产品的发行上市提供借鉴意义。

一是坚持基础设施REITs权益属性。基础设施REITs估值是基于项目自身信用,收益来源于项目现金流,实际现金流分派率与资产估值和二级市场价格有关,现行政策要求的4%现金流分派率是一种预期值,并非固定回报;鉴于产权类REITs和经营权类REITs的差异性以及融资成本不断下降的趋势,从长远看,产权类REITs要求的现金流分派率将会下降,而经营权类REITs要求的分派率将会上升。发行阶段溢价或折价是对基础资产估值的修正,二级市场的短期价格波动是权益性资产的正常表现。因此,应防止将REITs做成债性产品。

二是合理选取估值模型的核心参数。鉴于经营权类REITs属于10年以上的长周期投资,预期收益(可供分配金额)与其提供的服务量密切相关,而服务量(如交通流量、污水处理量等)往往是一个逐渐增长的“爬坡”过程,达到一定年限后将进入稳定期,因此估值实践应充分考虑历史数据和未来规划,分阶段预测显性期、半显性期和稳定期的收益增长率,合理对各阶段净现金流进行折现估值。显性期一般可取3年,延续近3年的增长趋势;显性期与稳定期之间为半显性期,其收益率应根据项目特征、行业发展和周边规划综合考虑。如果发行REITs时经营权类基础资产已运营多年,趋于稳定,则可以不考虑半显性期。经营权类REITs估值应将折现率作为重点,近期高速公路REITs折现率不宜低于8%。

三是明确估值结果合理性判断依据。经营权类REITs估值相对合理,在保障国有资产保值增值、引导公允发行定价、稳定二级市场价格、保护投资人利益等方面具有重大意义,但现阶段还存在同类资产交易数量有限、假设检验难以落地、溢价率或折价率标准不统一等问题,有待进一步市场发展和研究探索。建议基于全生命周期进行价值动态比较,收益法估值一般要高于历史成本的资产净值,具体溢价比例或倍数不应作为合理性依据;网下认购倍数或配额比例一定程度上反映了投资信心。经营权类REITs要坚持长期价值投资,预期现金流分配率及其实际完成率是行之有效的判别指标。

四是披露估值依据和运营管理信息。基础设施REITs是市场化融资行为,充分披露经营权类REITs估值信息,有助于投资人理性决策。鉴于折现率取值不仅影响基础资产估值,还与二级市场涨跌幅直接相关,特别对于估值较高的高速公路项目,发行REITs时应充分披露折现率、收益增长率等参数选取情况;强化上市后的运营管理,及时路演沟通,增进信息交流。

五是启动经营权类REITs扩募机制。相比产权类REITs,经营权类REITs剩余年限相对较短,普遍存在资产价值逐渐“缩水”现象。随着REITs新购入资产的进入,经营权类REITs将逐步被打造为资产上市平台,扩募机制将有效冲抵初始入池资产净值逐年归零趋势,做大市场规模,增强流动性,为二级市场稳定发展奠定基础。

加载中...