新浪财经

为什么越无知的人越自信:从认知偏差到自我洞察

新京报

关注

有这样一个网络故事,有人询问邻居:“如果你有一百亩地,你可以捐给他人吗?”邻居回答:“可以。”又问:“如果你有一百万,你可以捐给他人吗?”邻居继续回答:“可以。”再问:“如果你有一头牛,你可以捐给他人吗?”邻居这次却回答说:“这可不行。”问及原因,邻居回答说:“因为我真的有一头牛啊!”

这个故事里有一个非常有趣的现象——当事情和我们无关的时候,人们往往会高估自己的道德水平。任何在学校或职场与他人打过交道的人都可能会有这样的印象:不少人对自己的认知偏离了客观事实。

心理学家大卫·邓宁对这种现象展开了深入研究,并与贾斯汀·克鲁格共同提出了“邓宁-克鲁格效应”(即“达克效应”)。该效应揭示了一些十分有趣的自我认知现象,比如:在一项任务中,表现差劲的人会倾向于认为自己比实际情况更加优秀,而表现优秀的人会倾向于低估自己的表现。同样,人们往往会将自己置于道德优越的高地,认为自己的品性远比其他人的品性更优越,但事实并非如此。

在《为什么越无知的人越自信:从认知偏差到自我洞察》一书中,邓宁全面总结了关于自我认知的研究成果,分析了为何我们在个人能力和品性两个方面会倾向于形成认知偏差,并揭示了避免这些认知偏差的途径。

以下内容选自《为什么越无知的人越自信:从认知偏差到自我洞察》,较原文有删节修改。文中小标题为编者所加,非原文所有,已获得出版社授权刊发。

《为什么越无知的人越自信:从认知偏差到自我洞察》,[美]大卫·邓宁 著,刘嘉欢 译,中译出版社2022年7月版。

为何道德优越感普遍存在?

人们往往会将自己置于道德优越的高地,认为自己的品性远比其他人的品性更优越。例如,在对威廉姆斯学院的学生进行道德方面的调查时,整整80%的学生表示自己拒绝抄袭其他人的考试答案,而他们认为仅有56%的其他学生同样会拒绝抄袭;74%的学生表示会向商店店员退还找多的钱,而他们认为仅有46%的其他学生会采取同样的做法。人们还认为自己比其他人更加慷慨和具有奉献精神。在所有调查对象中,51%的人表示自己会向饥饿的同学分享比萨,认为仅有36%的其他学生会采取同样的做法。几乎所有学生(90%)都表示自己会帮助其他人换漏了气的车胎,而认为仅有34%的其他学生会采取同样的做法。

事实上,在人们倾向于产生优越感的所有方面,道德方面的优越感似乎是最强烈且最普遍的。例如,相比断言自己智力超群,人们会更倾向于断言自己道德优越。艾利森、梅西克和戈瑟尔斯让大学生们写下他们有过的“良好”行为与“不良”行为,以及明智行为与愚蠢行为。他们还被要求写下曾在其他人身上目睹的类似行为。不出所料,相比在描述其他人时,参与者在描述自己时写下了更多的良好行为和更少的不良行为。参与者在智力方面则没有产生在道德方面的这种优越感。相比在描述其他人时,参与者在描述自己时写下了同样多的明智行为与愚蠢行为。

电影《南极大冒险》(2006)剧照。

范兰格在一项实验中也得出了这一基本发现。在该实验中,他让参与者描述他们影响其他人的一段经历,以及其他人影响他们的一段经历。随后,参与者倾向于认为自己对他人产生影响的行为比其他人对自己产生影响的行为更加“正当”,但他们并没有倾向于认为自己的行为更为明智。

为何道德优越感比智力优越感更加普遍存在?有三个不同原因。

首先,在我们的社会生活中,品德比智力更加让人向往和重要——而人们又确实想要拥有理想的人格特质。1968年,安德森让参与者评价555种人格特质的理想程度。与道德相关的特质最受参与者的喜爱,无疑比与智力能力相关的特质更受喜爱。在被评为最积极的特质中,前10名的特质里有5种特质是明确用于描述道德行为的(真诚排名第一,另外4种是正直、忠诚、诚实、可信赖和可靠)。

在智力相关的特质中,只有聪明挤入了前10名。在排名的末尾,倒数10名的特质中整整有9种特质是用于描述与道德相关的问题的(包括撒谎、虚伪、刻薄、残酷、不正直、不诚实、恶毒、无耻和狡诈;惹人讨厌是唯一的例外)。接着又是54种与道德相关的特质,这才出现第一个明确的与智力相关的特质:无能。有证据表明,人们之所以声称自己更加有道德(或更准确地说,更加正直)恰恰是因为他们认为有道德比聪明更加令人向往。

另有研究证实,道德评价对社会判断有着重要和显著的影响。在了解他人时,相比能力方面的信息,人们往往对道德方面的信息更感兴趣,道德方面的信息决定了某人对另一个人的整体印象以及该印象的好坏。当收到有关他人的负面信息时,人们通常会较快做出道德评价,而较慢做出能力评价。在评价政治人物时,人们往往认为道德问题比能力问题更加重要。

其次,道德相比智力更像是一种选择和自制的结果,而人们往往会产生能控制自我行为的错觉。不撒谎与能力无关,而与选择克制撒谎的欲望有关。相反,解答联立方程组并非与选择和自制相关(好吧,其实也有关,人们可以选择拿起遥控器打开电视而不是解题),而与人们固有的数学能力更加相关。正因为做出道德行为的关键在于选择和自制,所以人们很有可能过于肯定了自己的自控力。

电影《浅草小子》(2021)剧照。

道德行为标准的不明确性再者,道德行为的标准相比出色智力表现的标准更加不明确。由于道德行为的标准不明确,人们便会更加随心所欲地根据个人行为来定义道德行为。例如,在三角学测试中,得90分明显比得0分反映了更强的数学能力(由于存在纵向不明确性,该断论并非在任何条件下均适用)。

但是,赠予大街上的无家可归者20美元与不对其提供任何帮助,哪种行为更有道德?有人可能认为,正如人们在许多街角和美国两院所采取的做法,更明智的选择是不提供任何帮助,从而迫使无家可归者或当局对该困境采取行动。同样地,医生应该告知患者患有严重的绝症吗?哪种选择更合乎道德?选择告知固然符合诚实的信条,但这样做是否违背了同情的原则?无论医生做何选择,他们都可以声称自己道德高尚。

预测自己会比周围人做出更加高尚和善良的行为

然而,对想要弄清楚为何人们存在道德优越感的学者来说,前面的内容中还包含着一个令人头疼的谜团。戈瑟尔斯研究的数据直接表明,一般人往往认为自己比其他人更有可能坚持正义和高尚的道路,而这从统计学的角度来看根本不可能。这种矛盾可能是由两种截然不同的错误导致的,从而体现了两种迥然相异的心理特征。

第一种可能的错误是,人们对自己的道德素质有着准确的认识,但低估了其他人的品性。他们错在过于悲观地看待他人的品性,因此常常会低估他人采取善良、慷慨和合乎道德的举动的频率。这就表明道德优越感这种倾向并非自我洞察方面的问题,而是社会洞察方面的问题。人们因某种原因对其他人会采取的行为产生了错误的直觉,因此研究型心理学家需要找出这些直觉的错误之处及成因。

第二种可能的错误是,人们其实对其他人做出了正确的评价,却对自己做出了错误的评价,高估了自己的道德倾向和善良程度。这就表明过度的道德优越感是自我洞察方面的问题,因此研究型心理学家须查明自我评价时的潜在问题产生了怎样的影响。

电影《浅草小子》(2021)剧照。

错在何处?

2000年,尼克·埃普利和我开展了一系列研究,试图了解与道德优越感的自我认知相关的理论上和经验上的错觉。我们从过去的研究中得知,人们预测自己比周围人会更经常做出无私和有道德的行为。但是他们对自己的预测与对周围人的预测哪个是正确的、哪个是错误的呢?鉴于此,在若干研究中,我们向参与者描述了许多考验道德或无私精神的假设情境,并问参与者他们及其周围人在那些情境下会做出怎样的举动。

当然,我们预料到人们会预测自己会比周围人做出更加高尚和善良的行为。这是不足为奇的,但使我们出乎意料的是第二个步骤的结果。其中,我们随后让参与者面对真实的情境,以观察他们的实际行为。某人的自我预测能较准确地预测出其实际行为,但对他人的预测会显得过于怀疑他人的品性吗?还是人们对周围人的预测是正确的,因而表明导致道德优越感的原因是人们高估了自己的品性?当然,我们认为道德优越感也有可能是由两种错误按不同权重共同导致的。

上述研究完成后,我们发现最终结果非常明确和简单。导致过度的道德优越感的错误只有一个。在一项研究中,我们让康奈尔大学的学生们想象每年在纽约州伊萨卡寒冷的冬季落下帷幕和稍暖的春季随之而来时,校园中举办了一场年度慈善活动。兄弟会的成员走到校园的各个角落,以一美元一支的价格兜售水仙花,所得的收益将捐往美国癌症协会。在一年一度的“水仙花日”到来的5周前,我们在一节有250名学生的课堂上调查学生们将购买多少支水仙花。我们还让他们预测该课堂上的一般学生会购买多少支水仙花。

不出所料,相比对一般学生的预测,调查对象对自己的预测显示出更高的道德期望,83%的学生表示自己至少会购买一支水仙花,同时认为教室里的学生中仅有56%的人会做出同样的行为。平均来看,调查对象表示自己会购买两支水仙花,而表示其他学生仅会购买1.5支水仙花。可学生们的自我预测与社会预测哪个才是正确的呢?我们等了5周(确保自己也购买了水仙花),然后再次调查这节课上的学生。仅有43%的学生真的购买了水仙花,所有学生平均每人购买了1.2支水仙花。相比调查对象自我预测的结果,该数据与调查对象对其同班同学的预测的结果更加相近。

在另一项研究中,我们将学生们带到实验室,付给他们5美元报酬让其花费20分钟填写问卷。对大约一半的参与者,我们让他们预测自己和其他学生在面对如下假设情况时会采取的做法:假设有机会捐赠他们的部分或全部报酬给救世军、美国红十字会或美国防止虐待动物协会三个慈善机构中的任一机构。我们向参与者提供了每个慈善机构的宣传册,以防他们不熟悉这些机构。我们要求参与者预测:如果他们会捐款,他们将捐多少钱及捐往哪个机构,还要求他们预测有多大比例的其他学生会捐款,以及其他学生平均会捐多少钱(不捐款的学生纳入计算)。学生们的预测同样体现出了他们的道德优越感。每个学生都预测自己至少会捐出部分酬金,平均而言,他们预测自己会捐出2.44美元,他们预测仅有51%的其他学生会捐款,且其他学生仅会捐出1.83美元。

同样地,哪个预测是正确的呢?为了确定这一点,我们真的让另一半的参与者捐款。我们向他们提供了相同的手册及一个信封,他们可以私下将捐款放入信封并注明要捐往的机构。与水仙花日那项研究一样,相比参与者自我预测的结果,参与者的实际捐款情况与他们对其他学生的预测结果更加接近。大约有61%的参与者捐了款,参与者的平均捐款金额为1.53美元——与参与者对其他学生捐款金额的预测结果相近,但远低于参与者对自己捐款金额的预测结果。

对道德原则还是个人利益更敏感?

另一项后续研究更复杂,它旨在考察人们对塑造他们与周围人的行为的情境影响是否有正确的认识。我们推断,如果人们将自己摆在道德高地上,那他们应该会认为相比与个人利益相关的情境变化,他们的行为更容易受与道德原则相关的情境变化影响。相反,他们会认为,相比与道德属性相关的情境变化,其他人比自己更容易受与个人利益相关的情境变化影响。我们将一组参与者带到实验室,向其描述了4种假设情境。

电影《轻狂岁月》(1996)剧照。

4种情境均有着同样的基本设定:参与者有一个在其他实验室的实验搭档。参与者看到了他们的实验搭档的照片,对某些参与者来说,搭档是长相普通的年轻男性,身着运动衫,头戴棒球帽,气质阴郁沉闷。当实验进行到一半时,要求参与者在两项任务中选择一项在接下来的时间完成,而他们的实验搭档则需完成被选剩的任务。两项任务是相似的,但其中一项任务比另一项任务需要多花费5分钟的时间。最关键的是,让参与者预测自己将做出无私的选择(选择自己完成耗时稍长的实验),还是自私的选择(选择耗时较短的实验),以及他们认为其他学生一般会做何选择。

在这种基本设定下,我们通过改变其他设定来影响该情境引起道德关切或个人利益关切的程度。为了影响情境引起个人利益关切的程度,我们在第二种假设情境中将耗时较长的实验描述成很难操作且耗时更长。实际上,我们将该实验描述成比耗时较短的任务需要多花费25分钟的时间来完成,要求参与者再次预测他们及其他学生会做何选择。

后面两种不同情境的设定旨在引起人们的道德关切。在其中一种情境下,参与者需要在两项所需时长仅相差5分钟的实验任务中做出选择,他们的实验搭档同样需要完成被选剩的任务。然而,他们的实验搭档换了。他们的搭档不再是年轻的普通男性,而是拥有天使般脸庞和天真无邪笑容的10岁左右的小女孩。在第4种情境下,实验搭档同样是小女孩,但参与者需要在耗时较短的任务与更费力且耗时多25分钟的任务之间做出选择。

通过参与者在这4种情境下的预测,我们可以知道参与者认为其在多大程度上会受到与个人利益相关的情境变化的影响(耗时较长的实验要求5分钟的小牺牲或25分钟的大牺牲),以及在多大程度上会受到与道德相关的情境变化的影响(实验搭档是沉闷的男性或10岁的小女孩)。我们还可以知道参与者认为其他参与者在同样的情境变化下会受到多大的影响。

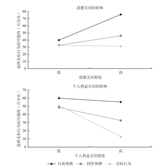
道德关切与个人利益关切对自我行为和同伴行为的预期影响与实际影响的比较(来源于Epley&Dunning,2000,第4项研究)

如上图所示,参与者认为自己比其他参与者更加善解人意和有道德。当被问到特定情境变化对其行为会有何影响时,参与者表示自己不会受到与个人利益相关的情境变化的影响。无私行为的代价是牺牲5分钟还是25分钟并不重要。另一方面,他们表示自己仅会受到与道德相关的情境变化的影响,如数据所显示,相比实验搭档是年轻男性时,他们在实验搭档是小女孩时选择耗时较长实验的可能性会提高35%左右。

然而,他们认为其他同学则没有这么高尚:相比实验搭档是年轻男性,当实验搭档是小女孩时,其他人选择无私行为的可能性仅会提高15%。参与者认为,其他学生会受到个人利益相关的情境变化的影响:相比需要牺牲5分钟时,当需要牺牲25分钟时,其他人选择无私行为的可能性会降低15%。

参与者的自我预测与同伴预测哪个最贴近事实?为了确定这一点,我们让另一组参与者面对真实选择,每个参与者都面临前文描述的4种情境中的一种。如前图所示,当面临真实选择时,唯一影响参与者行为的因素就是与个人利益相关的情境变化。相比仅需牺牲5分钟的时间时,当需要牺牲25分钟时,参与者选择耗时较长的实验的可能性降低了近40%,实验搭档是大学生或小女孩对他们的决定并无影响。

原文作者/[美]大卫·邓宁

摘编/安也

编辑/张进

加载中...