新浪财经

拦截一发来袭导弹的数学、物理及其他

虎嗅APP

关注

拦截一发来袭导弹的数学、物理及其他

本文来自微信公众号:返朴(ID:fanpu2019),作者:曹则贤,题图来自:视觉中国

一、引子

笑话年年有,今年更独特。近些日子,有中国台湾某退休将领,做电视节目嘉宾时言道:“一发导弹拦截的成功率是70%,那我三发一起拦截,成功率就是210% 嘛,哪有拦不住的!” 有点儿常识的人瞬间捕捉到这是个大笑话,吓得赶忙捧腹扶眼镜。

这笑话在华人圈一时间热度飙到42℃。有人直言这位退将的数学是体育老师教的,结果因为侮辱了体育老师被体育老师给打了。有女嘉宾怒怼,“一发导弹拦截成功率70%,三发拦截成功率就是210%,照这么说四杯25℃的水,倒在一起直接就沸腾喽!”还有人从排列组合的角度,分别给出三发导弹中与不中八种不同组合的概率。这画风转换有点儿快,一个笑话竟然还引出一堂数学课来了。

既然有人关切,笔者也来凑个热闹,假装很不严肃地好好讨论一下这个问题:“设一发反导导弹对来袭导弹的拦截成功率为70%,那么,三发一起拦截的成功率是多少?”

二、概率的数学初步

首先,alas,这个问题是错的!对着来袭导弹发射一发反导导弹,结果就两种:击中或者没击中。用数值表示,就是1或者0,没有成功率70%的说法。

所谓的成功率为70%这种说法,是一种统计语言的描述,而统计是针对大数而言的。设用某型号导弹拦截某确定型号的来袭导弹,在相同条件下实验了N次,其中成功了M次,则若N 足够大,数值 

可认定为该导弹拦截实验的成功率。因此,正确的说法是用某型号导弹拦截某型号来袭导弹的成功率为多少,而不是用一发导弹拦截的成功率为多少。

那么,实验次数(观察次数), 或者用更一般性的术语,统计样本数,多大才算足够大呢?这个得看具体的研究对象了。比如,有一门物理叫统计物理,其涉及对象的样本数动辄是1023量级的;关于我国国民出生时体重的统计,样本数是在10亿的规模。至于反导导弹的成功率,要求实验次数达100次计算的成功率才是可靠的,这在数学上不过分吧?但这从物理的角度看却很过分。用100发反导导弹做实验去获得其成功率数据?你问问一般国力的国家买不买得起100发反导导弹?所以,某型号导弹拦截成功率的说法其实是个不很靠谱的说法。

好吧,退一步说,假设拦截成功率为70% 是个经过大数实验得到的比较可靠的说法。70%成功率的拦截导弹可让人不踏实。如果想提高拦截成功率,直觉的做法是多发几发反导导弹,一发不行两发,两发不行三发……这就引出了一个问题,用n发导弹拦截,拦截成功率是多少?具体到本文关切的问题,拦截成功率为70%的某型导弹,3发导弹拦截一发来袭导弹,成功率是多少?

一种算法是,70% + 70% + 70% = 210%。210% > 100%,  结论:“那肯定就拦截成功了嗦!”这当然是个笑话。

但是,这个笑话却引出一个比较严肃的话题:“什么样的(物理)量是(代数)可加的?” 我们熟悉的长度、面积、体积、质量、兜里的钞票、物体数目等等是 (代数) 可加的。比如

3个+5个=8个

3米+5米=8米

3块钱+5块钱=8块钱

3千克+五千克=8千克

就是我们熟悉的加法。但是,但是,千万不要以为代数加法简单。有学过普通物理的朋友会说电荷也是代数可加的(麦克斯韦的电磁学经典会有专门一节讲关于电荷代数可加性的认识过程),3库伦+5库伦=8库伦。然而,这里有个大陷阱。电荷跟质量不同的地方在于它是极性的(polar),电荷分正负。-3库伦+3库伦=0 库伦。一个区域内总电荷为 0 库伦是没有电荷吗?你要这么想就naïve了。

一个区域内总电荷为零,同一个区域内没有电荷,是完全不同的两种物理体系。就是钱财这个量,一旦被扩展到可取负值的情形,其加法也是可疑的。比如,某甲月收入3800元,某乙月进账24833800元,欠账24830000元,24833800+(-24830000)=3800,但前者是普通高收入阶层,而后者属于精英土壕阶层。

热力学会将物理量按照性质严格地加以区分。粒子数 N、体积 V、表面积A等是广延量。两个体系凑一起,相应的这些量可以代数相加,其分别对应的化学势μ、压强p、表面能σ则是强度量。强度量不能简单相加。

前述女嘉宾怒怼,“……照这么说,四杯25℃的水倒在一起直接就沸腾喽!” 这说明大家都知道温度是不能简单相加的。在热力学里,温度T是个强度量,它对应的广延量就是不懂的人特别愿意使用的概念:熵 (S,entropy)。其实,温度是个统计量,很少有体系有明确的温度,但熵总是有的,且可以简单相加。

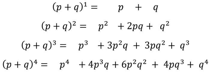
本文关注概率问题,概率不能简单相加!一般教科书里处理的简单概率问题,会用到与二项式展开 (p+q)相关的杨辉三角 (Pascal triangle) 方面的知识。让我们一起回顾一下。二项式展开 (p+q)的前几项如下:

注意右面各行的系数。再硬性(!)引入(p+q)0=1  (这说明为什么自然数要从0开始), 就构成了大家熟悉的杨辉三角 (图1) 。

图1.  杨辉三角 (Pascal triangle)

设想 p 是某件事发生 (成功) 的概率,q 是某件事未发生 (不成功) 的概率,p+q=1。现在神奇的事情发生了。不管 n 是几,(p+q)n=1都成立。这就是说,杨辉三角的每一行恰恰就是这类事件被重复考察n次时,相应的各种可能对应的概率。比如,对某事件实验三次,则表达式 (p+q)3=p3+3p2q+3pq2+q的右侧分别就是发生3,2,1,0次的概率;若对某事件实验四次,则表达式 (p+q)4=p4+4p3q+6p2q2+4pq3+q的右侧分别就是发生4,3,2,1,0次的概率。是不是很简单?

于是,关于“一发导弹拦截成功率为70%,三发导弹拦截的成功率是多少” 这事儿,有人会计算如下。参照表达式  (p+q)3=p3+3p2q+3pq2+q,则三发皆中的概率为70%×70%×70%=34.3%,两发中一发未中的概率为3×70%×70%×30%=18.9%;一发中两发未中的概率为3×70%×30%×30%=44.1%。 三者相加,故拦截成功的概率为97.3%。或者, 拦截不成功的概率为 30%×30%×30%=2.7% ,则拦截成功的概率为100% -2.7%=97.3% 。简单吧?

三、导弹拦截拦截是个物理问题和经济问题

问题要是那么简单就好喽。

学过概率论的人都知道,概率论是一门坑很多的学科,要不天下有开赌场致富的非法路径呢。概率论不是简单的拿个算式去算个数,要考虑问题的物理图像,物理图像,物理图像!

先说说中学物理里的常见的接灯泡问题(伪物理问题)。设有一种灯泡,接上电会亮的概率为 p=70% (按说就不该出厂),问三个灯泡串联和并联的情形下(图2),教室有亮光的概率各是多少?如果是串联,有一个不亮就把整个电路断了,所以教室被照明的概率是表达式 (p+q)3=p3+3p2q+3pq2+q右侧的第一项,为34.3%;如果是并联,但凡有一个灯泡是亮的就行,所以教室被照明的概率是表达式 (p+q)3=p3+3p2q+3pq2+q前三项之和,也就是 1-q,为97.3%。

三个灯泡并联的问题, 与使用大炮轰击一个目标的问题相同:三发炮弹齐发,但凡有一发轰击到目标,即算达到目标。目标被摧毁的概率可以按照前述算法计算。这里计算正确性的保证来自三发炮弹的独立性。然而,关于三发导弹拦截一发来袭导弹成功率的计算,看似与三个灯泡并联和三发炮弹齐发的问题相同,但实际上却有很大的差别。

设若敌方有一发导弹来袭,且来袭导弹在飞行途中,这时的反导大概就是所谓的中段反导。若时间还允许,拦截方式大概是发射一发,如果成功,事情到此为止;如果不成功,赶紧补发一发。为什么不三发齐发呢?因为反导导弹太珍贵了,糟蹋不起。再者,导弹都是在高速运行中的,三发齐发又不能做到同时击中来袭导弹,则若一发击中来袭导弹(这是我们的追求和目标),其它两发不是白浪费了。这又不是炮弹轰击敌阵地,一发击中,补中两发算是加强打击效果。当然了,实际测试反导导弹性能时,双发齐发倒是真有的。三发齐发不是原则上不可以,而是实在没那么豪气。

如果敌方来袭导弹已经接近目标,这就是末段反导了。这时候的拦截务必要做到万无一失,特别是为了保护高价值目标,为此可以不惜代价。这个阶段的拦截手段一般使用近防炮。近防炮要形成一道动态的弹幕,让一段时间内的来袭目标,哪怕是一发炮弹,都不能通过。为此,近防炮的关键指标是射速,一般在每分钟6000发以上。我国新型船舰上使用的1130近防炮,射速超过每分钟一万发以上,射击距离在3公里左右。一分钟一万多发,速射十分钟就是十多万发。十万发速射炮炮弹,你估计一下得多少钱?真打不起啊。

四、来自反导的开悟

在基础物理中,描述一个运动物体,要用到质量 m,速度 v(这是一个矢量),动量 p=mv (矢量), 和动能 Ek=½mv2 。按说,有了质量 m 和速度 v 就够了,为啥还要用到动量和动能呢?关于这个问题,笔者当普物老师时没想明白,但是盯着导弹和反导的示意图(图3)时我想明白了。

首先,不管是导弹还是反导导弹,速度是硬道理。飞得够快,才能追得上对手或者免于被对手追上。这就是我们的导弹追求高速的道理。据公开信息,我国东风17的速度约为10马赫,东风41的速度可达25马赫,这速度是杠杠的。然而,导弹的高性能不光在于速度,还在于高机动性。导弹在突袭或者反导的时候要能灵活地变轨,这要根据牛顿第二定律,

,其中力F由推进剂提供,可见动量是相关的物理参数。注意,对于速度在10 马赫量级的导弹,其不仅没有战斗部,在进入大气层后它还会因为高速飞行被逐步烧蚀掉,所以导弹的质量很关键。发射时质量要足够大,等到达目标时我们希望其还能剩个1公斤左右。接近目标后,导弹的毁伤能力则由动能表征。大家不妨计算一下一个1公斤的导弹头 (就是一块金属钨),速度为25马赫时,动能是多少?这样大家对它的威力就心里有数啦!

五、多余的话

那位退将侯的概率论水平,有点可笑,但并不可怕。笔者遇到稍微深一层面的概率问题,比如条件概率,就大概率会立马出错。真正可怕的是,“退将侯”这种水平的人是怎么当上将军的,是怎么能上电视节目给别人分析问题的?21世纪,国家发展问题首先是个科学问题,军事问题也首先是个科学问题,对此,我们要端正态度。

参考文献:曹则贤,军事物理学, 上海科技教育出版社 (2022).

本文来自微信公众号:返朴(ID:fanpu2019),作者:曹则贤

加载中...