看我?还在看我?再看......
假如有一只海螺盯着你看,你会有什么感觉?
图源:Pinterest
图源:cheezburger
海螺正在暗中观察 图源:gizmodo
是不是感觉海绵宝宝里的小蜗探出大眼睛在看你?
图源: entrepreneur
可能很多人都不知道海螺有眼睛,其实海螺不仅有眼睛,而且还像图里那样大得明显。和他有亲戚关系的贝类,眼睛就比海螺小得多。
不要以为它的眼睛只是装饰品,实际上它的眼睛和章鱼这类头足纲类动物形态类似,因为眼球的构造和摄像头差不多,也被称为摄像头式眼(Camera type eye)。
下图就是鹰翼海螺(Strombus raninus)的眼球,大约1.9 mm × 1.6 mm。
图源文献1
这种眼睛像小蜗一样,有一根长长的、可收缩的眼柄连接这眼球,眼球由角膜、晶状体、玻璃体、色素细胞和感杆束组成。
海螺各器官的位置,其中标注了眼睛的位置。
但海螺和人类及其他脊椎动物的眼睛还是不太一样,甚至可以说这些低级生物的眼睛在构造上更“高级”些。
海螺的眼睛
如下图所示,在脊椎动物(左边)的眼睛中,神经纤维(2)在视网膜(1)前面,这就意味着光要穿过神经纤维才能抵达视网膜,阻挡了一部分光线,造成了视网膜上有一块区域没法感光,便形成了盲点(4)。而在海螺和头足类动物的眼睛中,神经纤维在视网膜后面,便不会阻挡光线或破坏视网膜。
换言之,人类的眼睛还没有海螺的眼睛设计得合理,毕竟人家眼睛没有盲点。
人的眼球构造 图源:thoughtco
海螺眼球的晶状体更接近一个球形,人眼球的晶状体更接近一个椭圆,相比海螺的更扁。
出现这个差异,是因为海螺生活在水里,而人在陆地上,人看物体时透过的介质是空气,而海螺则是透过水。介质的折射率不同,导致了水生的海螺进化出了更高折射率的球形晶状体。
科学家还发现,海螺的球形晶状体的折射率并不是均匀的,折射率是从中心向外向下递减形成一个梯度。
那问题来了,这么一个移动缓慢的生物,它要眼睛有什么用?
首先,我们得知道它能看到啥?而它能看到啥,很大一部分上取决于眼球对光的灵敏度。
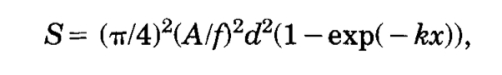
科学家 Kirschfeld 推算出一个公式,通过眼球的瞳孔直径、眼球焦距、感杆束长度、感杆束直径和光感受器的吸收系数,计算出眼球对光源的绝对灵敏度。
A为瞳孔直径 ,f为眼球焦距,d为感杆束直径,x为感杆束长度,k为光感受器吸收系数 图源:文献1
然后科学家通过计算得出鹰翼海螺的光绝对灵敏度平均值为9.9μm2,而人眼的只有0.023μm2(单位的意思是每平方米能接受到的光子数量)。鹰翼海螺的对光源的绝对灵敏度是人类的约430倍。也就是说,海螺对光的敏感度比人高得多。
对光的灵敏度高,只能说这种生物在弱光环境下会看得更清楚。海螺喜欢黄昏和傍晚行动,它们的眼睛肯定需要对光有更高的灵敏度。但光线稍微强一点,海螺的眼睛可能就受不了了。
不同生物间的眼球各项数值对比 resolution 那一栏为视网膜分辨率,人类的肉眼分辨率是海螺的60倍左右 图源:文献1
但是在视网膜的分辨率方面,海螺就比不过人了(如上表)。所以,简单来说,海螺拥有一双对光敏感但分辨率极低的眼睛,啥也看不清。相比用眼睛这个词来称呼它这一视觉器官,其实叫它“光感受器”更合适。如果有一只鱼从它面前游过,估计它的眼睛就只能看到一个黑影划过。
不过这点视力足够它用了。只要它感受到外面的光影发生了变化,它马上就会把头缩回提供庇护的壳子里。人家压根不需要逃跑,只需要在觉察到危险的时候龟缩就好了。
扇贝的眼睛和海螺的眼睛功能也差不多。但扇贝的眼睛虽小,数量却多得多,一只扇贝大约有200多个眼睛,所以相比于海螺兄来说,它的感光范围更广。并且,它觉察到危险后,会马上鼓掌一样游开,在逃跑能力这一方面上,只能说扇贝略胜一筹。
图源:clamsplaning
此外,海螺的眼睛还有一个你想不到的特异功能,它会再生。2018年,有科学家对海螺做了一个实验,把它的两只眼睛切掉了,但过了8周之后,它就长了一对新眼在眼柄上。
海螺眼睛的再生过程 图源:文献2
由此看来,在再生这点上,人类的眼睛就永远比不上海螺的眼睛。
参考文献:
Seyer J O. Structure and optics of the eye of the hawk‐wing conch, Strombus raninus (L.)J. Journal of Experimental Zoology, 1994, 268(3): 200-207.
Clark J M. Restoration of visual performance and opsin expression within the retina during eye regeneration in the Florida fighting conch (Strombus alatus)J. 2018.