新浪财经

养天敌的天敌来保护自己,植物吐水好神奇

瞭望智库

关注

你有没有注意过这样的现象:一些植物的叶片顶尖或边缘总是挂满亮晶晶水珠。

可能很多人都以为这是露珠。然而,这并不是。露珠一般会铺满叶面,在叶片表面形成一层水膜,水珠排列没有规律。但这些水珠会整整齐齐地排列在叶片边缘。

这种奇妙的现象,叫吐水(Guttation),往往发生在植物的生长期。

文 |  廖鑫凤

本文转载自微信公众号“科普中国”(ID:Science_China),原文首发于2022年7月23日,原标题为《植物和昆虫竟然在夜晚干这种事......》,不代表瞭望智库观点。

1

植物吐水现象并不罕见

三百多年前就有人观察到了植物吐水的现象,不过当时的人们只是把它当成一种偶然现象。随着在越来越多的植物(尤其是草本植物)中都发现了吐水现象,植物吐水已被如今的学界认定为普遍现象,从而也正式拥有了名字。

植物的吐水现象其实并不罕见,水稻小麦、大麦、甘蔗等许多常见的植物,在生长季都有吐水现象。不同于植物的伤流或者泌胶现象,吐水并不是植物受伤后分泌液体,而是自然形成的、为了保持体内水分平衡的措施。

在夏季,植物快速生长、代谢旺盛,吐水更是频繁。

吐水现象一般在夜晚发生,因为在夜晚,植物根部仍然在源源不断吸收土里的水分与无机盐,但植物蒸腾作用变弱,就只能通过叶子边缘的微小水孔排出多余的水分,形成叶片边缘挂满亮晶晶水珠的现象。

绝大多数吐出的水都会排列在叶片的边缘,这是因为叶片的边缘有特化的排水组织,称为排水器(hydathodes),由特化的气孔形成排水孔向叶片外排水,它们紧连着一个空腔来储存水分,水分则来源于与叶子内维管组织相连的通水组织。

植物叶片排水器结构,图片来源:参考文献1

2

植物“吐”的水能养活一群昆虫

一般而言,植物“吐水”能够排出夜晚根部吸收的多余水分,对维持植物叶片与体内的水分平衡有着重要的作用。

不仅如此,在后续的研究发现,叶片的排水器和维管组织是连在一起的。研究人员猜测,“吐”出的水中可能还含有维管运输的其它物质,比如矿物质、、蛋白质等。

科学家也早已发现,有许多昆虫会吸食植物吐水形成的小水珠,但最初只是认为这些昆虫单纯在补充水分。

而“植物吐水含有大量营养”结论的突破口来自于蓝莓。科学家发现蓝莓不仅吐水量惊人,而且吐的水十分受昆虫的欢迎。

莓的吐水现象,以及吃水的各种昆虫,图片来源:参考文献2

这说明,植物吐水可能并不仅仅只是昆虫的水源,还有可能是昆虫们重要的食物来源。

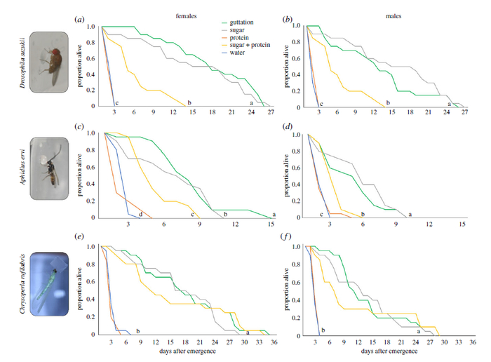
为了验证这个结论,科学家采集了蓝莓吐的水,同时收集了经常采集蓝莓吐出的水的三种昆虫:包括一种果蝇(Drosophila suzukii),属于草食昆虫,一种寄生蜂(Aphidius ervi),是寄生性昆虫和一种草蛉(Chrysoperla rufilabris),是捕食性昆虫,它们代表着三个不同的营养级。

接下来,科学家用收集的蓝莓植物“吐”的水、纯水、糖水、纯蛋白与糖水蛋白混合液去喂养这三种昆虫。

结果发现,只喝纯水的昆虫不能存活下来,喝蓝莓植物“吐”的水的昆虫、喝糖水的昆虫以及喝混合液体的昆虫都能好好地存活下来。喝蓝莓植物“吐”的水的昆虫寿命甚至比肩拿糖水喂养的虫虫们。

不同营养液后三种不同昆虫的寿命,绿线表示喂养蓝莓的吐水液,图片来源:参考文献2

不仅如此,科研人员还将喂养不同营养液的昆虫雌虫进行交配,让其受精后产卵,查看它们的产卵量是否会受到影响。结果表明,喝植物吐水的昆虫并没有受到影响,蓝莓植物吐水堪称“天然营养液”了。

通过测量,科学家也发现,蓝莓吐的水中糖与蛋白的含量都很高,分别达到1.5克每毫升和4.3毫克每毫升。花蜜中糖的含量约为0.4克每毫升,蓝莓植物“吐”的水比花蜜含糖量还要高三倍。(这么有营养,笔者都有喝蓝莓“吐”的水的冲动了)。

因此,对于采食蓝莓吐水的昆虫来说,它是一种十分好的营养来源。这可能是除花粉,花蜜、蜜露之外,植物生产的第四大类营养物质。此外让植物吐水更胜一筹的,是它产生的量、持续的时间比其它三者都要长。

植物吐水含有丰富营养物质,难道只是为了养活昆虫?按照自然界的规律,事情肯定没有那么简单。     

3

养天敌的天敌来保护自己

蓝莓“吐”这么多水,还是一种开放资源,似乎昆虫只要捷足先登,就都能吃上一口。那么,这种吐水现象会不会吸引大量的草食昆虫,不仅把“吐”出的水喝了,还会把植物叶子给吃光呢?

科学家在野外实验中统计调查了蓝莓吐水吸引到的昆虫群落。在野外,有大量的昆虫去取食蓝莓吐的水,与人工去除吐水的蓝莓植株相比,吐水植株明显吸引了更多的寄生蜂类、捕食性的昆虫如草蛉等,但吸引的草食性昆虫数量却减少了很多。

也就说,蓝莓通过“吐”出的水,吸引了更多自己天敌的天敌,从而能更好地保护自己。

更有趣的是,吐水的植株上,蚊子的数量明显下降了。可能是因为受到了其他捕食者的威慑,蚊子们不得不放弃了这种营养物质。这或许可以成为一种新型的防蚊手段。

吐水在作物中相当普遍,如果能控制农作物的“吐水配方”,说不定就能实现一种新的生物防治,让农作物自己吸引更多捕食性昆虫来对抗天敌,“借刀杀虫”,实现从上到下的防虫调控。

植物吐水不仅是植物重要的水分平衡调节手段,它还具有重要的生态功能,靠着吐水里的物质调控着“朋友圈”。

也许某一天,通过人工调控植物吐水中含有的物质,还能实现对某物质的富集。这样,我们不仅能采集蓝莓的果实,还能采收蓝莓吐的水,实现天然的蓝莓“吐水”汁生产,美味又营养。不知道那个时候,你是否愿意来尝试一下呢?

参考资料:

[1] Mondal, FLS,FIAAT, Amal. (2014). Guttatin-A Natural Phenomenon:Useful medium for production of Recombinant Proteins.

[2] Urbaneja-Bernat P, Tena A, González-Cabrera J, et al. Plant guttation provides nutrient-rich food for insects[J]. Proceedings of the Royal Society B, 2020, 287(1935): 20201080.

加载中...