新浪财经

拿证速递 | 招商璀璨公馆7月27日开启认购(附一房一价表)

媒体滚动 2022.07.26 14:47

乐居买房讯 招商璀璨公馆于7月27日开启认购,认购金72万元。

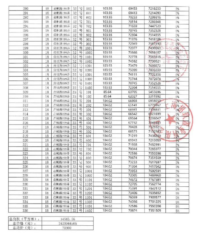
招商璀璨公馆于7月27日9:00至7月31日12:00开启认购,认购金72万元,首套存款证明为108万元,二套存款证明为361万元,该项目将采取线上认购,可关注公众号“璀璨星公馆”。招商璀璨公馆随三批次入市,推出336套102-104平房源,均价约70300元/平,开盘时间为8月15日,入围比为2,社保系数为0.12。

根据购房新政策,计分规则总分由基础分和年限分两部分组成,其中基础分根据认购对象名下有无房产、五年内是否有购房记录、家庭结构和户籍情况打分,年限分根据认购对象的社保缴纳月数(计分年限*12)和系数相乘算得。入围规则项目认购数与上市房源套数比超过1.8:1,根据上述打分结果确定入围分数线,划定入围名单。

招商璀璨公馆位于浦东高行森兰板块,占地近8万方,总建面约20.4万方,容积率仅1.6,是区域内罕见的低容积率地块。项目由18栋小高层组成,其中12#、16#为自持住宅,8#为保障房,剩余15栋为13F-14F的小高层,总共942套房源。

社区方面,项目采用入口水景、中心花园、全龄活动区等三大主题景观组团,打造度假酒店式归家体验。社区中心可享2000㎡室内运动场所,配置室内游泳池,还有诸如老年活动室、养育托管点等与日常生活密切相关的服务性设施设备。建筑方面,项目外立面采用大面积窗墙比,建筑风格前卫时尚现代简约,彰显项目高格品质。

招商璀璨公馆距离6号线洲海路站距离仅约700米,6号线联通森兰与陆家嘴,可以在巨峰路站换乘12号线,可以到达五角场、南京路、虹桥火车站;

除此之外,还有两条轨交正在规划中,20号线:由金昌路至外高桥,将于洲海路设立站点,联通森兰与上海西站;21号线:由吴淞国际邮轮港至浦东机场,将于东靖路设立站点,联通森兰与迪士尼、张江。

招商璀璨公馆周边拥有哈罗外籍人员子女学校国际名校、明珠森兰小学、六师附小  、繁锦幼儿园、进才森兰实验中学等国内先进优质教育资源。

招商璀璨公馆周边1公里范围内商业齐全,有约8万方商业中心森兰花园城,与约5万平阳光天地、约5万平森兰商都,森兰商贸街规划中、约9000平迪卡侬全球旗舰店,约45万平的浦东嘉里中心正在规划中。

从价格来看,新房方面,周边的森兰名苑和宝华浦东紫薇花园,分别位于项目南北两个方向,均价分别为7.2万/平与6.76万/平,而招商项目7.03万/平的指导价正介于两者之间。

二手房方面,项目一街之隔的中冶尚城二手房成交价格已经在10万左右,而招商璀璨公馆的指导价才7.03万/平,两三万的倒挂,价格优势十分显著。

总体来看,招商璀璨公馆位于第四代国际住区森兰板块,又靠近地铁6号线,出行便捷。项目主推百平3房,总价控制在700-1000万之间,预计又将是一个高分盘。

扫码进群 了解更多房产信息

加载中...