【中金固收 · 专题】国债期货尾盘反转策略——固收量化探索系列
中金固定收益研究
从国债期货自身交易特性出发,可以更好地服务于趋势的确认。通过对市场交易时段的观察,本文以连续的尾盘反转确认短期趋势,进行策略研究回测。连续的尾盘反转,是一个有效的交易信号。本文对该策略的历史收益和有效性进行了描述和探究。总体而言,当尾盘连续出现反转,次日国债期货价格的趋势交易,可以在历史回测中取得正收益。
另外,本文还讨论了其他提高该策略表现的改进方法。首先,尾盘反转的强度,在回测中的表现是不同的。信号发出日的尾盘弱反转与尾盘强反转,在不同前提下会有不同表现。其次,尾盘反转的观测天数限制,在回测中会对胜率造成影响。最后,相对于次日开盘买入,当日尾盘买入借助国债期货日间价格变动的趋势,加大正向波动。这些尝试,致力于根据投资者的需求,减少无效交易,提高胜率,增厚收益。
希望我们的研究,可以帮助投资者更好地理解国债期货的尾盘趋势反转现象,挖掘信号背后资金行为的本质。
报告基于历史数据统计分析,过往数据不代表未来表现,不构成对投资者的投资建议。市场环境、政策、流动性等宏观要素可能发生不利变化。文中采用的样本数据有限,可能存在样本外风险,数据处理方式可能存在误差。
一、趋势交易的难点与国债期货的特点
在研究报告中,较少看到国债期货的趋势交易量化策略。与之相比,在国债期货之外的期货品类中,趋势交易的量化策略是十分普遍。趋势交易的主要思路是顺势而为。当价格向上突破,则顺势做多,反之亦然。常见的指标包括且不限于以下几种,如趋向指标、能量指标、量价指标、压力支撑指标、成交量指标、超买超卖指标、波动指标等。
之所以在国债期货较少看到趋势交易的量化策略,是因为在期货衍生品中,国债期货有一定特殊性。相对于商品和股指,国债的整体价格变动较小。20日滚动收益率的标准差如下图所示,相对于其他的期货品种,国债期货的整体价格变动明显小于其他期货。趋势交易的量化策略需要制定买入标准。这个标准,多为当观察到指标超过阈值,判断趋势形成。如果价格变化不大,量化算法容易错判趋势和正常波动。所以,用趋势交易的量化策略对国债期货进行交易时,比起简单地追随趋势本身,更应当关注国债期货价格趋势形成的原因与持续性。通过现象的出现,确认推动价格趋势上涨的原因已经形成,进而进行顺势交易。
图表1:各期货品种20日滚动收益率的标准差
资料来源:Wind,中金公司研究部
寻找趋势的形成,还是需要回归国债期货市场本身的特点。国债期货的交易时段,全天有三个相对活跃的时段。下图是不同年份十年国债期货活跃合约,在每个时段的平均成交量。由于2020年国债期货开盘时间有所变更,在这里不予统计。通过观察可以发现,有三个时段投资者积极参与,成交放量,十分活跃。第一个时段是国债期货开盘时段。相对而言,开盘时段是全天成交的高峰。盘后预期的兑现和未来预期的交易推升成交量。第二个时段是接近午盘时段。随着现券成交的活跃,休盘时间信息的充分交互,国债期货成交放大。第三个时段是尾盘时段。相对下午的成交量,尾盘成交量明显上升。
图表2:十年国债期货各年度成交量分时图
资料来源:Wind,中金公司研究部
我们认为,国债期货尾盘的信息十分有意义。第一,在国债期货收盘后,债券市场交易持续进行。国债期货尾盘的博弈,带有对当日债券市场和盘后重大消息的预期。另外,重要政策指引和经济金融数据,也多有在国债期货收盘后发布。第二,尾盘成交量的放大,对未来走势的预判带有一定借鉴意义。尾盘的集中成交可以提供方向指引。
二、策略概述与回测
通过我们对国债期货尾盘价格的梳理,我们发现以下规律。十年国债期货数天内频繁出现尾盘连续出现反转拉升或下跌趋势时,对次日国债期货走势有一定预判作用。我们认为,频繁的尾盘反转拉升或下跌,代表资金对未来趋势的判断。同时,这种行为会有一定的惯性。所以,我们的思路是,在发现频繁的尾盘反转拉升或下跌时,进行趋势交易,做多或做空国债期货。利用主力行为的惯性趋势,在国债期货上赚取收益。
首先,定义何为尾盘出现反转拉升或下跌。以下午两点为标准,区分尾盘和非尾盘时段。从早上开盘到下午两点的非尾盘时段定义为时段A。两点以后,以每个时段25分钟为标准,定义14:00-14:25为时段B,定义14:25-14:50为时段C,定义14:50-15:15为时段D。我们以图表2中分时段成交量来说明这样划分时段的原因。午盘一点开盘后,成交活跃,直到午后两点左右度过一个小高峰。一点到两点这段时间,带有交易午盘信息的倾向。为了避免午后刚开盘交易信息的影响,所以我们以两点划分尾盘和非尾盘。
所谓尾盘反转拉升,是指ABCD四个时段均价的下跌趋势,在C时段或D时段反转,并保持至收盘。用更精准的语言表达,即为一天内,时段B均价低于时段A均价,同时时段D均价高于时段C均价。如下图所示,存在如下两种情况。全天趋势下跌并在D时段反转,以及全天趋势下跌并在C时段反转。反之,则为盘尾反转下跌。即为一天内,时段B均价高于时段A均价,同时时段D均价低于时段C均价。
图表3:尾盘反转拉升示意图
资料来源:中金公司研究部
图表4:尾盘反转下跌示意图
资料来源:中金公司研究部
通过统计发现,简单地以开盘和收盘价计算次日收益,国债期货价格在三天中出现两天尾盘反转后,次日国债期货价格上涨的概率约为57%。这个胜率,在一定程度上说明了策略思路的有效性。由此,我们对该策略展开回测,对其历史表现深度挖掘。
于是,规则如下:
当发现前3个交易日有2天发生尾盘反转拉升,且当日发生尾盘反转拉升时,发出十年国债期货做多信号;
当发现前3个交易日有2天发生尾盘反转下跌,且当日发生尾盘反转下跌时,发出十年国债期货做空信号。
发出做多信号后,以次日开盘前5分钟的均价买入十年国债期货合约,在日末进行平仓。为了避免开盘价格波动过大,取开盘前五分钟的均价买入。平仓时,以收盘价平仓合约。
下面来检验连续尾盘反转的效果。为了各个时间段收益在图上可比,假设每次买入等量的国债期货。横轴为时间,纵轴为每百元累计收益。从2016年1月1日至2022年6月15日,策略的回测表现如下:
图表5:3个交易日有2天发生尾盘反转,次日开盘买入国债期货的策略历史回测表现
资料来源:Wind,中金公司研究部
国债期货每百元累计收益如下图所示:
图表6:3个交易日有2天发生尾盘反转,次日开盘买入国债期货的每百元累计收益
资料来源:Wind,中金公司研究部
下面我们来对策略进行复盘。正如文章最开始说的,国债期货波动率相对较低,短期趋势和波动较难区分。做国债期货趋势交易,需要确认趋势的形成是否有支撑。这一点,在国债期货趋势交易中,是与策略收益同样重要的事情。所以,需要检验发出交易信号后,交易日的盈利变动情况,来观察连续尾盘反转在逻辑上是否合理。为了观测信号发出后的实际效果,我们将信号发出后的交易日每分钟的价格变动求均值,来描述信号发出后短期价格变动的整体情况。由于国债期货开盘时间从2020年7月20日起有所变动,需要将2020年7月20日前和2020年7月20日后分开讨论。如下图所示,图表显示了将做多和做空交易的价格收益变动。
图表7:2020年7月20日前出现 2天发生尾盘反转,次日国债期货的平均收益分时图
资料来源:Wind,中金公司研究部
图表8:2020年7月20日后出现 2天发生尾盘反转,次日国债期货的平均收益分时图
资料来源:Wind,中金公司研究部
首先,从图中可以发现,信号发出后的交易日,做多和做空在开盘后总体表现为正。这表明尾盘反转的逻辑,在做多和做空时均成立。另外,值得注意的是,开盘、午盘以及尾盘几个重要的时间点,交易有明显的拉升。这表明,反转逻辑很可能在活跃交易时段,被资金普遍认可。由此,尾盘反转,可以作为“聪明钱”提前介入时发生的现象。这在逻辑上支撑了尾盘连续反转的策略思路。
三、策略改进
1、尾盘反转强度
针对尾盘连续反转,可以展开对反转强度的研究。之前提到,交易信号的出现,是在连续3个交易日内出现至少2次尾盘反转,并且要求最后1天尾盘反转。在连续3个交易日内,反转强度最重要的指标是最后1天的反转强度。因为最后1天的反转强度,与之后的趋势交易,在时间上最接近。由此,可以探究的一个思路是,以最后1天的反转强度为标准,划分所有交易,寻找反转强度与交易盈利的相互关系。
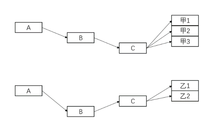
如上文所述,以下午两点为标准,两点以前定义为时段A。两点以后,以每个时段25分钟为标准,定义14:00-14:25为时段B,定义14:25-14:50为时段C,定义14:50-15:15为时段D。以尾盘反转拉升为例,将反转的强度划分等级。当信号发出日,D时段均价反弹,在A、B、C、D四个时段均价中排位第1时,将这次交易信号标记为排位第1。同理,可以标记为排位第2和第3。尾盘反转下跌时,将反转的强度划分。当信号发出日,D时段均价转跌,在A、B、C、D四个时段均价中排位最低时,将这次交易信号标记为排位第1。同理,可以标记为排位第2和第3。由于尾盘拉升和尾盘下跌都分别存在两种形态,D时段发生反转称为形态甲,将在C时段发生反转称为形态乙。通过排名和形态的组合,我们得到D时段如下图所示的5种状态,分别为甲1、乙1、甲2、乙2、甲3。分类如下图所示。
图表9:尾盘反转拉升强度示意图
资料来源:中金公司研究部
图表10:尾盘反转下跌强度示意图
资料来源:中金公司研究部
在所有304次交易中,无论是做多国债期货还是做空国债期货,将所有交易,按照信号发出日D时段尾盘反转强度和形态,分为甲1、乙1、甲2、乙2、甲3。值得注意的是乙2和甲3以最高的胜率,赚取了绝大多数利润。乙2和甲3是反转程度最弱的两个形态。这个现象发生的原因,我们认为是由于尾盘反转过强时,价格会有回调的需求,换言之,已经兑现完投资者的预期。尾盘反转弱一些时,反而有可能在次日,完成预期的兑现,达到趋势交易的目的。
图表11:3个交易日有2天发生尾盘反转,次日开盘买入国债期货的反转强度与盈利效果
资料来源:Wind,中金公司研究部
综上所述,如果希望减少无效交易,增加尾盘反转交易的胜率,可以根据信号发出日尾盘反弹的强度,增加有效交易占比。
2、连续2日尾盘反转买入
针对尾盘连续反转,同样可以更改其他条件限制。之前提到,交易信号的出现,是在连续3个交易日内出现至少2次尾盘反转,并且要求最后1天尾盘反转。将买入条件限制改为仅连续2日尾盘反转买入,可以加强限制条件。于是,有规则如下。
当发现连续2天发生尾盘反转拉升,发出十年国债期货做多信号;
当发现连续2天发生尾盘反转下跌,发出十年国债期货做空信号。
发出做多信号后,以次日开盘前5分钟的均价买入十年国债期货合约,在日末进行平仓。取开盘前五分钟的均价买入,为了避免价格波动过大。平仓时,以收盘价平仓合约。
下面来检验连续尾盘反转的效果。为了各个时间段收益在图上可比,假设每次买入等量的国债期货。横轴为时间,纵轴为每百元累计收益。从2016年1月1日至2022年6月15日,策略的回测表现如下:
图表12:连续2天发生尾盘反转,次日开盘买入国债期货的策略历史回测表现
资料来源:Wind,中金公司研究部
国债期货每百元累计收益如下图所示:
图表13:连续2天发生尾盘反转,次日开盘买入国债期货的每百元累计收益
资料来源:Wind,中金公司研究部
相较于3个交易日有2天尾盘反转的策略,连续2天反转的策略胜率更高。连续2天尾盘的资金买入,表明资金意愿更加强烈。然而,由于限制更加严格,可交易次数由304次减少到169次,盈利机会减少,导致总收益下降。但是,在追求胜率的投资者眼中,这种改进同样不失为一种选择。
另外,我们同样对该策略的反弹强度做出统计,表格如下:
图表14:连续2天发生尾盘反转,次日开盘买入国债期货的反转强度与盈利效果
资料来源:Wind,中金公司研究部
与之前结论相似,甲3和乙2代表的弱反转在总胜率上,效果依旧优秀,可以达到60%以上。不同的是,连续两天尾盘反转中,甲1和乙1代表的强反转在总胜率上表现也相对较好。连续2日尾盘反转,相对于3个交易日中有2日尾盘反转,资金意愿更强烈。在资金意愿更强时,甲1和乙1代表的强反弹才可能反弹空间更大。这样,才难以发生当日尾盘完成兑现预期,次日平盘或下跌的情况。正因此,连续2日尾盘反转的强反弹同样表现很好。
3、尾盘买入持有
对于尾盘反转策略,持有国债期货合约隔夜也是另一种选择。当3个交易日有2天发生尾盘反转,我们认为国债期货价格存在趋势变化。那么,这种趋势可能不仅反映在次日从开盘到次日收盘的价格变动上,它同样可能反映在信号发出当日收盘到次日开盘的价格变动上。
为此,可以制定另一套买入卖出规则。以下午两点为标准,两点以后定义为尾盘。两点以前定义为时段A。两点以后,以每个时段25分钟为标准,定义14:00-14:25为时段B,定义14:25-14:50为时段C,定义14:50-15:13为时段D。区别在于时段D最后两分钟不予计算时段均价。
所谓尾盘反转拉升,是指时段B均价低于时段A均价,同时时段D均价高于时段C均价。反之,则为盘尾反转下跌,即B均价高于时段A均价,同时时段D均价低于时段C均价。
于是,规则如下:
当发现前3个交易日有2天发生尾盘反转拉升,且当日发生尾盘反转拉升时,发出十年国债期货做多信号;
当发现前3个交易日有2天发生尾盘反转下跌,且当日发生尾盘反转下跌时,发出十年国债期货做空信号。
发出做多信号后,以当日收盘最后2分钟的均价买入十年国债期货合约,在次日以收盘价进行平仓。
为了各个时间段收益在图上可比,假设每次买入等量的国债期货。横轴为时间,纵轴为每百元累计收益。从2016年1月1日至2022年6月15日,策略的回测表现如下:
图表15:3个交易日有2天发生尾盘反转,当日尾盘买入国债期货的策略历史回测表现
资料来源:Wind,中金公司研究部
国债期货每百元累计收益如下图所示:
图表16:3个交易日有2天发生尾盘反转,当日尾盘买入国债期货的每百元累计收益
资料来源:Wind,中金公司研究部
相对于开盘买入10.44元的累计收益,尾盘买入可以获得12.58元的累计收益。它在历史回测上累计收益表现更好。这是因为,尾盘的上升或下降趋势同样会在日间价格变动反应。然而,尾盘买入也有两个不足。第一,在成交量上,尾盘的成交量相对有限。以2021年最后两分钟的尾盘成交举例,成交量平均不到1000手。无法作为大体量资金提供流动性,仅可作为辅助方式。第二,在胜率上,由于加入了日间价格变动的不确定性,尽管总收益上升,但是胜率有所降低。第三,在实操层面,尾盘买入需要做好软硬件准备和交易计划。尾盘买入的迅速反应,需要实时的价格接入和程序自动化计算。例如,通过python接入Wind实时数据,自动计算。同时,交易也需要直接执行,无其他人工流程。
四、全文总结
本文结合了国债期货自身的特点,针对国债期货趋势交易进行研究。在国债期货的全天交易中,开盘,午盘,以及尾盘等特定时段交易活跃。交易活跃的时段,是资金兑现预期,达成一致的阶段。本策略关注尾盘时段价格的反转,本质上是观察资金的预期,顺势而为。总体而言,当尾盘连续出现反转,次日国债期货价格的趋势交易,可以在历史回测中取得正收益。另外,本文还在策略改进上做出一定探究。希望通过观察尾盘反转力度,以及改变观察天数,尽量减少无效交易,提高胜率。同时,通过尾盘买入合约持有隔日合约,能够以加大正向波动的方式增厚收益。希望我们的研究对投资者有所帮助。
本文摘自:2022年7月22日已经发布的《国债期货尾盘反转策略——固收量化探索系列》
陈健恒,SAC执业证书编号:S0080511030011 SFC CE Ref: BBM220
张亦弛,SAC执业证书编号:S0080121120144
范阳阳,SAC执业证书编号:S0080521070009
东 旭,SAC执业证书编号:S0080519040002 SFC CE Ref: BOM884
法律声明
向上滑动参见完整法律声明及二维码