【中金固收】国开行双向含权债发行,创新带来机会——国开行重启可回售债券发行简评
中金固定收益研究
含权债简介
含权债指的是发行条款中规定在债券存续期间某个特定的时间点,发行人或者投资者可以行使某种权利的债券,这些权利主要包括回售权、赎回权、票面利率调整选择权等。其中,回售权通常是投资者的权利,赎回权则是发行人的权利,票面利率调整权则通常会与回售权或赎回权相结合。
国开行可回售债券历史发行情况
国开行于2001年12月12日发行首单设有回售条款的含权债, 2001年至2011年期间,共计发行可回售债券26次,涉及债券25只,合计发行规模4853.9亿元。期限结构上,早期多为5Y+5Y和10Y+10Y,此后亦有尝试短期+短期的组合,自2008年起多以3Y+7Y组合为主。条款设定上,2008年之前,国开行发行的可回售债券在行权后利率不做调整,发行人对票面利率没有选择权;此后为降低回售风险,国开行参考彼时企业债与公司债做法,于2008年8月首次发行非对称期限变动利率投资人选择权债券,引入了回售权搭配发行人票面利率选择权的组合方式。
目前含权债仍多见于信用债市场,利率债存量低
2004年是我国含权信用债的元年,不过受信用债市场发展阶段所限,当时的含权信用债所涉券种均为企业债、发行人均为央企,条款设置也比较单一。2007年-2010年,含权信用债的规模、占比、所涉券种范围、条款组合的丰富性均得到进一步发展,尤其是在利率上行的2007年、2009年,其中“回售+调整票面利率”的双向含权设置成为常见条款。2011年-2014年,含权信用债的发行规模及占比总体回落,不过券种结构随着信用债市场的发展有所变化,而条款则受信用债收益率下行以及永续债发行影响进一步丰富。2015年-2016年,在永续债继续发展的基础上,公司债的显著扩容使得含权信用债迎来了又一波增长,此后含权信用债的规模、占比、券种分布相对趋于稳定。
可回售债券定价
对于可回售债券的定价,从理论上讲遵循如下几个原则:1)不考虑流动性溢价、能否质押等因素扰动下,结构为m年+n年的可回售债券,其当期发行利率应不高于同期同一发行人新发m年普通债发行利率;2)可回售债券的最终定价应在同期同一发行人新发m年普通债发行利率基础上,减去期权调整利差,后者取决于远期利率水平和调整后的票面利率水平;3)如果票面利率的调整并非在当期发行时点确定,而是在第m年可回售期另行由发行人根据市场情况公布,则期权调整利差理论应为0。
本次国开行双向含权债条款及定价
本次发行的2022年第十八期债券(220218)为3+2年期固定利率双向选择权债券,第十九期债券(220219)为5+5年期固定利率双向选择权债券,二者均为按年付息,发行量均不超过30亿元,以实际中标量(债券面值)为准。条款方面,220218前三年的票面利率,以及220219前五年的票面利率均由本次招标确定。对于220218,如发行人行使票面利率调整权,则其后两年的债券票面利率在前三年票面利率的基础上进行调整(上调或下调),在其存续期后两年固定不变;如发行人未行使票面利率调整权,则存续期后两年票面利率仍维持原有票面利率不变。对于220219,如发行人行使票面利率调整权,则后五年的债券票面利率在前五年票面利率的基础上进行调整(上调或下调),在其存续期后五年固定不变;如发行人未行使票面利率调整权,则存续期后五年票面利率仍维持原有票面利率不变。
定价方面,考虑到国开行自身信用资质较高,且依托其自身政策性银行定位,未来在债券一级市场融资遇阻且信用风险扰动概率较低,进而对于本期即将发行的3Y+2Y和5Y+5Y双向含权国开债而言,其期权价值应为0,调整利差OAS也应趋近于0,即对于3Y+2Y的品种而言,发行利率定价应接近于当前新发3Y国开债的发行利率;对于5Y+5Y的品种而言,发行利率定价应接近于当前新发5Y国开债的发行利率。考虑到含权债的流动性情况通常要弱于普通债券,在抵质押层面可能也面临一定障碍,投资者可能会索取一定的补偿进行平衡。我们按照经验大体预估来看,投资者可能会对流动性溢价和质押属性分别索取5-7bp左右的补偿。不过同时考虑到此次为时隔多年国开行重启含权利率债的发行,我们预计预估投资者对此次双向含权债的认购热情会较高,进而会冲抵一部分的补偿索取。综上来看,我们预估此次国开行可回售债券发行票面可能会比当前3Y和5Y期普通国开债收益率基本持平,3Y+2Y的品种落在2.45%-2.55%的区间内,5Y+5Y的品种落在2.65%-2.75%的区间内。
国开行重启可回售债券的意义及影响
我们认为此次国开行重启可回售债券的发行具有三重意义:1) 首先对于债券市场整体而言,进一步丰富了债券市场品种,尤其是对政策性银行债品种的补足,为创建多元化投资的债券市场添砖加瓦。2) 其次,从投资者角度讲,国开行可回售债券的发行,一方面丰富了投资者的可选资产,另一方面也为投资者提供了有效的对冲利率上行风险的工具。3) 最后,国开行重启可回售债券的发行,也是发挥其债券银行优势,积极推动债券市场创新的体现,对于我国利率市场化的推进、债券市场工具的丰富、债券市场的繁荣和发展等均起到了积极作用。展望来看,我们认为未来我国债券市场的品种将得到进一步的丰富和扩容,投资者的债券投资策略也将更为多元化,债券市场将迎来新的高速发展期。
利率调整超预期。
含权债简介及国开行可回售债券发行回顾
含权债指的是发行条款中规定在债券存续期间某个特定的时间点,发行人或者投资者可以行使某种权利的债券,这些权利主要包括回售权、赎回权、票面利率调整选择权等。其中,回售权通常是投资者的权利,赎回权则是发行人的权利,票面利率调整权则通常会与回售权或赎回权相结合。具体而言:
可回售债券是允许投资者以事先规定的价格将债券提前回售给发行人的一类含权债。可回售债券相当于债券看跌期权、利率看涨期权,给予投资人在利率上升、债券价格下跌时以事先规定的价格将债券提前卖还给发行人,并以较高的市场利率再投资的权利。通常情况下,可回售债存续期间通常只有一次行权机会。对于仅含投资者选择权且不含发行人票面利率调整权的可回售债券而言,通常投资者会在行权日前夕比较当时时点后端期限潜在的票面利率与发行时票面利率的大小,当投资者预估行权日后端期限利率会高于当前票面利率时,往往会选择行权;低于当前票面时会选择放弃行权继续持有。
虽然回售权是赋予投资者的权利,但发行人可以通过行权之前调整存续期票面利率,即增加票面利率调整权,来改变债券未来现金流,从而影响投资者的回售意愿。投资者需要特别注意发行人票面利率调整选择权的具体设置,尤其是调整方向和幅度的限制,这决定了发行人是否有足够的空间影响投资者的回售意愿。目前国内可回售债在条款设置上通常为投资者回售权搭配发行人票面利率调整权的形式,只单独包含投资人可回售权而不调整利率的债券较少。
可赎回债券则与可回售债券相反,是允许发行人以事先规定的价格将债券提前从投资者手中赎回的一类含权债。可赎回债券相当于债券看涨期权、利率看跌期权,给予发行人在利率下行、债券价格上涨时,以事先规定的价格将债券提前赎回,并以更低的市场利率进行再融资的权利。
国开行可回售债券的发行过往及行权情况
国开行于1998年9月开始市场化发债,2001-2011年为国开债发行快速扩容阶段,国开债年发行规模由2001年的2100亿元逐渐抬升至2011年近1.1万亿元,与此同时国家经济快速发展下债券融资收益率有所抬升,国开债收益率相应震荡走高,10年期国开债收益率年均值由2002年的3.18%整体抬升至2011年的4.50%。在此背景下,为适度降低融资成本,同时提升国开债吸引力,国开行于2001年12月12日发行首单设有回售条款的含权债,这也是国开行历史上首次发行投资人选择权债券。2001年至2011年期间,国开行共计发行可回售债券26次,涉及债券25只(050205为增发债券),其中5只为浮息债,合计发行规模4853.9亿元。期限结构上看,早期多为5Y+5Y和10Y+10Y,此后亦有尝试短期+短期的组合,如0.5Y+0.5Y、0.5Y+1.5Y、1Y+2Y、3Y+7Y等,自2008年起发行的多以3Y+7Y组合为主。
从条款设定上,2008年之前,国开行发行的可回售债券在行权后利率不做调整,即为单一仅含投资者回售权的债券,发行人对票面利率没有选择权;此后为降低回售风险,国开行参考彼时企业债与公司债做法,于2008年8月首次发行非对称期限变动利率投资人选择权债券,引入了回售权搭配发行人票面利率选择权的组合方式,若投资者不行使回售权选择继续持有,则回售日之后的票面利率会调整为新的票面利率,且调整幅度在当期发行之际便会进行公告。以080225.IB为例,“投资人可选择在2010年12月18日向发行人全部或部分回售该债券(回售价格为100元/百元面值)或继续持有该债券至2015年12月18日,如投资人选择继续持有本期债券,则后五年的债券票面利率在前两年票面利率的基础上加150基点(债券依据算头不算尾的原则计息)”。以往国开债发行的同时包含票面利率调整选择权的可回售债券,其票面利率调整均为向上增加既定的基点数,并未有过下调票面利率的情况。
图表1:2001年至2011年10年期国开债到期收益率走势及可回售债券发行时期
资料来源:万得资讯,中金公司研究部
图表2:国开行可回售债券发行情况(不含浮息债、二级资本债、次级债)
资料来源:万得资讯,中金公司研究部;截至2022年6月17日
由于可回售债券条款中规定,如果投资人选择回售,需至少提前行权日一个月的时间点告知中债托管部,所以投资者选择行权与否,往往是基于行权告知截止日的利率水平及彼时的市场情况进行判断,即需要在当时时点利率的基础上,叠加考虑未来一个月潜在利率的波动。如果临近行权告知截止日时的市场利率要明显低于行权后的票面利率,同时投资者预期未来一个月内利率不会出现大幅抬升时,通常会选择不行权;如果临近行权告知截止日时的市场利率和行权后的票面利率相差不大,投资者行权与否存在不确定性,还需综合考虑市场当时的环境;如果临近行权告知截止日时的市场利率远高于行权后的票面利率,同时投资者预期未来一个月内利率不会出现大幅回落时,往往会选择行权。从对实际行权与否的梳理来看,投资者的选择基本符合上述逻辑。不考虑浮息债的情况,国开行过往发行的20只可回售含权固定利率债中,没有任何投资者选择行权的债券有6只,少量行权(行权额占比低于40%)的债券3只(其中一只仅微量行权),多数行权(行权额占比高于70%)的债券10只,全部行使行权的债券1只。细分来看,对于不行权或极少量行权的债券,其在行权通知截止日前,后端期限国开债(比如3Y+7Y的债,后端期限指7Y国开债)二级成交利率均低于行权后票面利率,意味着如果不行使提前回售券,投资者在后端期限剩余年份中可以获取更高的票息回报。对于行权量占比较高的债券,其均呈现在行权通知截止日前,后端期限国开债二级成交利率高于行权后票面利率的特征。
图表3:国开行可回售债券行权情况(不含浮息债、二级资本债、次级债)
资料来源:万得资讯,中金公司研究部
此外,为提高资本充足率以增强开发银行营运实力,国开行于2002年6月12日首发次级债,2002年-2011年期间共计发行次级债15次,涉及债券13只(030214为增发债券,110255增发一次),合计发行规模1800亿元。期限结构上,早期多为5Y+5Y,此后亦有7Y+5Y、10Y+5Y和25Y+5Y等长期+短期组合,不过整体仍以5Y+5Y为主。从条款设定上,2011年以前多为赎回权和发行人票面利率调整权的组合方式,若行权日国开行选择不赎回,那么此后的利率为在发行时票面利率的基础上加点确定,加点幅度在120bp-300bp。以090215.IB为例,“发行人可选择在2019年10月13日以面值全部赎回债券,发行人选择赎回前,将至少提前一个月,即于2019年9月13日之前公告;调整票面利率若发行人在第10个计息年度不行使赎回权,则后5年(2019年10月13日-2024年10月13日)票面利率在前10年票面利率基础上加300BP”。2011年当年发行次级债则不再设置票面利率调整权。国开行过往发行的13只次级债中,除110256由于行权日在2036年尚未行权,其余12只均100%赎回。从资金用途来看,根据110255.IB披露信息,除用于充实附属资本,“次级债券募集的资金,将同开发银行发行其他金融债券募集的资金一起,统筹用于‘两基一支’行业的中长期贷款项目。”
2012年至2020年,国开行未再发行次级债,而在双数年发行二级资本债共7只,合计发行规模1420亿元。期限结构上以5Y+5Y为主,2012年亦尝试25Y+5Y和45Y+5Y品种。从条款设定上,2012年发行3只仅设赎回权,2014-2020年发行4只则设有赎回权和减记条款。国开行过往发行的7只次级债中,除4只尚未到行权日,其余3只亦均100%赎回。
图表4:2001年至今国开行各类含权债发行规模
资料来源:万得资讯,中金公司研究部;注:数据截至2022年6月17日
含权债多见于信用债市场,与中国信用债市场发展历程紧密相关
2004年以来,越来越多的信用债在发行时设置了有选择权的条款,主要包括:回售权、赎回权、票面利率调整选择权、延期权、利息递延权。此外,根据《含选择权债券业务操作细则》(2012年修订版)[1]可知,有选择权的条款还包括可调换选择权、定向转让选择权、合并选择权,不过从实际来看,这三个条款的使用频次相对有限。
图表5:含权信用债发行规模及在信用债发行量中的占比
资料来源:万得资讯,中金公司研究部;注:2022年为截至2022年6月16日数据
2004年是我国含权信用债的元年,3月我国第一支含权信用债“04通用债”发行[2],含权信用债的发行规模在当年信用债总发行量中的占比高达47%。不过受信用债市场发展阶段所限,当时的含权信用债所涉券种均为企业债、发行人均为央企,条款设置也比较单一,包括赎回、回售、可调换、定向转让。含权信用债的推出与当时债券市场的低迷表现不无关系,2004年利率一路上升,达到历史高位,也给信用债的发行带来了一定困难,而强信用资质企业含权债的发行则一定程度上有利于吸引投资者。2005-2006年,随着利率水平的回落及短融品种的出现,信用债市场扩容,这一阶段含权信用债的发展相对平缓。
2007年-2010年,含权信用债的规模、占比、所涉券种范围、条款组合的丰富性均得到进一步发展,尤其是在利率上行的2007年、2009年,其中“回售+调整票面利率”的双向含权设置成为了常见的条款。这一阶段含权信用债的发行规模由每年100亿元左右上升至2500亿元以上,在信用债发行量中的占比也从2%提升至17%。券种方面,根据Wind统计,2007年9月,我国第一支公司债“07长电债”发行,该债券增加了“回售”条款;2009年4月,含有“赎回及调整票面利率”的“09浙交投MTN1”发行,这是第一支含有可选择权的中期票据。到2010年,含权中票的发行规模提升至超800亿元,在当年所发行中票中的占比增至16.60%,不过当时企业债占据主导的局面依然没有改变。条款方面,首先,这一阶段“调整票面利率”条款开始配合其他条款共同出现;其次,“回售+调整票面利率”的双向含权设置成为了含权信用债中最为常见的条款组合,2009年、2010年这类信用债的发行规模在含权信用债中占90.61%、80.65%。发行人方面,自2008年起,含权信用债的发行人也由央企扩充至地方国企及非国企主体。
2011年-2014年,含权信用债的发行规模及占比总体回落,不过券种结构随着信用债市场的发展有所变化,而条款则受信用债收益率下行以及永续债发行影响进一步丰富。这一阶段,含权信用债的发行规模有所波动,在信用债发行量中的占比则下滑至10%以内。不过发行结构出现了一些变化,一方面,2014年一般中期票据取代企业债,成为了含权信用债的发行主力,这与信用债市场的结构变化有关。另一方面,虽然“回售+调整票面利率”组合仍为含权信用债中最常见的条款,但2014年以来伴随信用债收益率的持续下行,市场上出现的票面利率双向可调整的可回售债明显增多,而此前“调整票面利率”基本仅能单向上调票面利率。同时受2013年下半年推出的永续债影响,“回售+调整票面利率”在含权信用债中的占比有所下降,由超90%回落至70%。
2015年-2016年,在永续债继续发展的基础上,公司债的显著扩容使得含权信用债迎来了又一波增长,此后含权信用债的规模、占比、券种分布相对趋于稳定。2015年公司债的扩容显著地促进了含权信用债的发行,其中含权私募债的发行规模由2014年的735亿元增长至2016年的12029亿元,含权一般公司债的发行规模也由2014年的431亿元增长至2016年的9086亿元。此后,含权信用债每年在信用债发行量中的占比基本稳定在30%左右,券种分布也从最初的企业债一家独大转变为私募债、一般公司债、一般中期票据百花齐放的局面。条款方面,首先“回售+调整票面利率”发行规模仍在含权信用债中占据主导,2019年以来稳定在七成至八成。其次永续债的发行规模上升,成为含权信用债的重要组成部分,发行规模占比在20%左右。再有,2020年以来部分发行人进一步将“赎回权”扩展为“有条件赎回权”,这类设置主要涉及一些永续债及个别非永续债。对永续债而言,“有条件的赎回权”通常设置“发行人因税务政策变更进行赎回”及“发行人因会计准则变更进行赎回”等条件,意在特定情况下保护发行人利益;非永续债而言,“有条件的赎回权”目前主要包括三种情形,一是在债券回售登记期结束后,如未回售金额不足特定金额,发行人有权强制赎回;二是部分外资企业设置有条件的强制赎回条款,触发情景包括税务原因、不可抗力、违约事件;三是可持续挂钩债中,如发行人未满足可持续发展绩效目标,则需行使赎回权。我们预计随着信用债市场的继续发展,非永续债的“有条件的赎回权”条款可能会得到更加广泛、内涵更为丰富的应用。
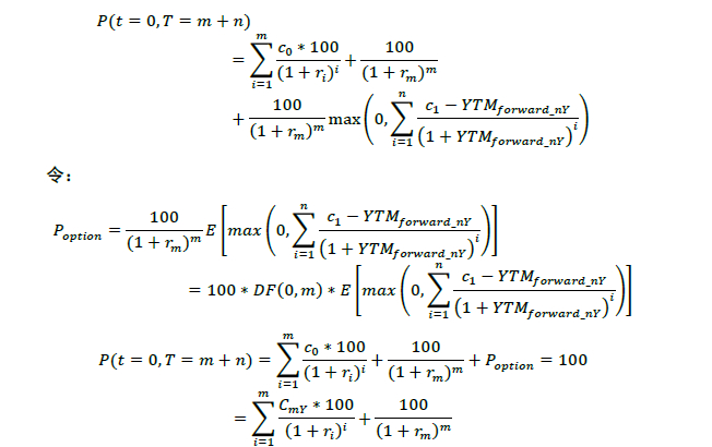
如何给可回售债券定价?
不考虑流动性溢价、能否质押等因素扰动下,结构为m年+n年的可回售债券,其当期发行利率应不高于同期同一发行人新发m年普通债发行利率
我们可以从简易逻辑和理论模型两个角度对可回售债券定价进行讲解。不考虑流动性溢价、能否质押等因素扰动下,结构为m年+n年的可回售债券(第m年投资人可选择是否回售),其当期发行利率应不高于同期同一发行人新发m年普通债发行利率:
逻辑层面来讲,以5Y+10Y可回售国开债为例,假设当前新发5Y期国开债发行利率为2.73%,那么理论上如果5Y+10Y可回售债发行票面利率高于2.73%,从投资者角度来讲,当前时点买入该债券是稳赚不赔的,因为不管未来利率如何变动,投资者都可以在5年后行权,并在持有的5年期间获取无风险套利收益。比如我们假设最终5Y+10Y可回售债券的发行票面利率为2.80%,那么相比普通5年期国开债而言,投资者在持有该可回售债的前5年当中,每年可以无风险的获取7bp的票息套利收益。所以为了消除无风险套利,理论上可回售债券发行的票面利率应低于当期新发5Y普通不含权国开债的发行利率,而低出的幅度便是该含权债的期权价值。在5年后的行权时点,投资者需要判断不行权情景下,该可回售债券剩余10Y现金流折现后的价值与行权价(K=100)的大小,如果5年后的折现现值高于100,投资者会选择不行权,继续持有该可回售债券,如果小于100,则会选择行权回售该债券给发行人。这里面的K=100,也可以理解为在5年后行权时点,重新买入一个新发10年期、票面利率为行权时点10年国开债到期收益率、面值为100的国开债。
我们也可以换个角度对可回售债券进行拆解,即把其当作一个正常的5年期国开债,并在此基础上,发行人给予投资者选择权,可在5年后选择是否以调整后的票面利率继续持有该债券。从这个角度出发,在5年后的行权时点,如果调增后的票面利率高于当期新发10年期国开债发行利率,投资者会选择行权继续持有该可回售债券,因为这个时候如果把债券回售给了发行人,从持有到期的角度讲,是无法在市场上再获取一个票面更高的同期限国开债;当调整后的票面利率低于10年期新发国开债发行利率,投资者会选择不行权(不再持有该可回售债),因为此时投资者可以拿从发行人处获取回售的100元,重新买入一个新发、票面更高的10年期国开债。所以当5年后10Y期利率水平超过调整后票面利率水平的概率越大,投资者行权概率越小,期权价值越低,可回售债券的定价就应越接近于一个不含权的5年国开债发行利率;当5年后10Y期利率的水平超过调整后票面利率水平的概率越小,行权的概率越高,期权价值也会有所抬升,进而可回售债券的发行利率要比不含权的5年国开债发行利率的下调幅度越大。
从理论公式推导来讲,同样 不考虑流动性溢价、能否质押等因素影响,假设当前时点 t=0,结构 m年 +n年的 可回售债券发行利率(初期票面)为 𝑐0,在第 m年后步入可回售期后, 发行人调整的票面利率为 𝑐1 如果;不含票面利率调整权, 𝑐0=𝑐1:
1) t=m时,投资者需判断不行权情景下可回售债券剩余 n年现金流折现到 t=m时,与行权价( K=100)的大小 如果 大于 100则不行权,小于 100则行权。在 t=m时,该债券剩余 n年 现金流折现为:
其中,rForwardi为 t=n时的贴现曲线;
2) 对上述公式做进一步拆解可以 得到
其中,YTMforward_nY为 t=m时的 n年期国开债到期收益率。
3) 再叠加 t=0到 t=m期间的票息收入折现回 t=0,有:
其中𝑟i为即期国开债贴现曲线, 𝐶𝑚𝑌为当前时点( t=0)新发 m年普通不含权国开债理论发行(票面)利率。进一步的:
由于期权价值永远不小于0 (𝑷𝒐𝒑𝒕𝒊𝒐𝒏≥𝟎),所以一定有 𝑪𝒎𝒀−𝒄𝟎≥𝟎, 也就是说考虑到期权价值永远不小于 0,实际的发行票面是要低于正常发一个不含权的 m年期国开债 。
可回售债券的最终定价应在同期同一发行人新发m年普通债发行利率基础上,减去期权调整利差,后者取决于远期利率水平和调整后的票面利率水平
我们定义期权调整利差 OAS=𝐶𝑚𝑌−𝑐0,有
理论模型推导看,想要给新发可回售债券定价(即求得OAS),我们需要具备的数据包括即期贴现曲线和未来时点的n年国开债到期收益率水平,其中后者往往需要假定一个模型进行数理分析。模型选定后,通过calibration等方式确定参数后,再选取数理方法进行定价,比如二叉树、蒙特卡洛模拟、PDE等方式求解。
如果票面利率的调整并非在当期发行时点确定,而是在第m年可回售期另行由发行人根据市场情况公布,则期权调整利差理论应为0
从发行人的角度来讲,如果发行主体在一级市场发债始终比较顺畅(不存在债券新发遇阻或需求不足等系列问题),上述公式中理论上𝒄𝟏应该是小于等于t=m时的新发n年期国开债发行利率(𝒀𝑻𝑴𝒇𝒐𝒓𝒘𝒂𝒓𝒅_2𝑌),可以 理解为由于发行人在t=m时可以𝒀𝑻𝑴𝒇𝒐𝒓𝒘𝒂𝒓𝒅_𝑛𝑌的成本在市场新发一只n年期的债券,因此并不需要付出额外的成本去“鼓励”投资者选择不回售。从𝑷𝒐𝒑𝒕𝒊𝒐𝒏自身公式看, 当 𝒄𝟏小于或等于 𝐘𝐓𝐌𝐟𝐨𝐫𝐰𝐚𝐫𝐝_𝒏𝒀时(票面调整后的利率小于等于 m 年后的n 年期 到期收益率), 𝐏𝐨𝐩𝐭𝐢𝐨𝐧=0 期权价值其实始终为0,则OAS理论上应该也为0。
本期国开行双向含权债条款及定价
本次国开行双向含权债条款
本次发行的2022年第十八期债券为3+2年期固定利率双向选择权债券,第十九期债券为5+5年期固定利率双向选择权债券,二者均为按年付息,发行量均不超过30亿元,以实际中标量(债券面值)为准。具体要素参见下表。
图表6:国开行2022年第十八、十九期金融债券要素一览表
资料来源:中国债券信息网,中金公司研究部
2022年第十八期债券前三年的票面利率,以及2022年第十九期债券前五年的票面利率均由本次招标确定。对于2022年第十八期债券,如发行人行使票面利率调整权,则后两年的债券票面利率在前三年票面利率的基础上进行调整(上调或下调),在其存续期后两年固定不变。如发行人未行使票面利率调整权,则存续期后两年票面利率仍维持原有票面利率不变。对于2022年第十九期债券,如发行人行使票面利率调整权,则后五年的债券票面利率在前五年票面利率的基础上进行调整(上调或下调),在其存续期后五年固定不变。如发行人未行使票面利率调整权,则存续期后五年票面利率仍维持原有票面利率不变。
具体操作流程上看,发行人将于2022年第十八期债券和2022年第十九期债券行权日前的第10个工作日,在中债官网上发布关于是否调整债券票面利率以及调整幅度的公告(以下简称“公告”)。自发行人发出公告后,债券的任何持有人均有权选择在债券的行权日将持有的债券全部或部分回售给发行人(回售价格为100元/百元面值)或继续持有该债券到期。如投资人选择回售债券则需自发行人发出公告之日起5个工作日内,于中央结算公司系统进行回售登记,具体操作办法见届时中央结算公司公告。回售登记期不进行申报的,则视为不行使投资人回售选择权,继续持有债券并接受公告。
本次国开行含权债定价简析
对于此次包含票面调整选择权的可回售债券定价,从上述理论推导结论来看,考虑到国开行自身信用资质较高,且依托其自身政策性银行定位,未来在债券一级市场融资遇阻概率较低,理论上无论是3Y后还是5Y后,其在进行票面利率调整时,调整后的票面利率均大概率不会高于当期新发2Y或5Y新债的票面利率,进而对于本期即将发行的3Y+2Y和5Y+5Y双向含权国开债而言,其期权价值应为0,调整利差OAS也应趋近于0,即对于3Y+2Y的品种而言,发行利率定价应接近于当前新发3Y国开债的发行利率;对于5Y+5Y的品种而言,发行利率定价应接近于当前新发5Y国开债的发行利率。不过上述结果并没有考虑流动性溢价、债券是否能抵质押等其他因素的扰动。考虑到含权债的流动性情况通常要弱于普通债券,在抵质押层面可能也面临一定障碍,投资者可能会索取一定的补偿进行平衡。
对2011年之前国开行可回售债券发行利率梳理来看,对于m年+n年的结构而言,多数情况下发行利率要低于发行前一日中债m年期国开债到期收益率估值,可追溯到估值的样本数据共19只,其中低于中债估值的样本有12只,占比达63%。幅度上来看,发行利率低于前一日中债估值的均值为12.3bp,极端情况下发行利率则低于前一日估值高达39bp。从历史发行情况来看,相较于非含权国开债,投资者对于含权国开债的认购积极性相对较高。具体看前置期限分别为3年期和5年期的含权国开债,3年期品种中标利率在2.10%-4.75%之间,全场倍数在1.65倍-5.73倍之间,中标利率较招标前一日3年期国开债到期收益率之差在-16bp至39bp之间;5年期品种中标利率在2.77%-4.22%之间,全场倍数在1.29倍-2.34倍之间,中标利率较招标前一日5年期国开债到期收益率之差在-39bp至14bp之间。
图表7:2001-2011年含权国开债中标利率
资料来源:万得资讯,中金公司研究部;注:图中期限为前置期限
图表8:2001-2011年含权国开债全场倍数
资料来源:万得资讯,中金公司研究部;注:图中期限为前置期限
由于政策性银行含权债的样本比较少,对于流动性溢价及其他影响因素的补偿估算比较困难,我们按照经验大体预估来看,投资者可能会对流动性溢价和质押属性分别索取5-7bp左右的补偿。不过同时考虑到此次为时隔多年国开行重启含权利率债的发行,我们预计预估投资者对此次双向含权债的认购热情会较高,进而会冲抵一部分的补偿索取。综上来看,我们预估此次国开行可回售债券发行票面可能会比当前3Y和5Y期普通国开债收益率基本持平,3Y+2Y的品种落在2.45%-2.55%的区间内,5Y+5Y的品种落在2.65%-2.75%的区间内。
国开行重启可回售债券的意义及影响
此次国开行重启可回售债券的发行具有三重意义:
1) 首先对于债券市场整体而言,进一步丰富了债券市场品种,尤其是对政策性银行债品种的补足,为创建多元化投资的债券市场添砖加瓦。据万得统计,截至2022年6月17日,存量可回售债券(不含ABS、定向工具和项目收益票据)合计9315只,余额约8.02万亿元,信用债占绝对多数,政策银行债存量仅剩1只,均为国开行2003年发行的03国开16,存量余额19.4亿元。此次国开行重启可回售债券的发行,不仅可以重新激发含权利率债的市场需求,丰富利率品种和期限结构,更进一步地,由于政策性银行债具有0风险权重,因此国开行可回售债券成功发行后,也可以作为其他信用债品种的定价基准,有效提高其他含权债的估值精度,利于全市场估值体系的搭建。
2) 其次,从投资者角度讲,国开行可回售债券的发行,一方面丰富了投资者的可选资产,另一方面也为投资者提供了有效的对冲利率上行风险的工具。通常情况下,当投资者担心未来利率抬升时,往往会倾向于买入可回售债券,因为在行权日,假设利率水平抬升,投资者可以将手中的现券卖回给发行人,再把得到的资金进行新的资产配置。在当前利率水平整体处于波动向下、且金融机构缺资产的环境中,投资者往往在债券配置过程中显得纠结,即虽然一定程度的认可利率中枢趋势下移,但又担心配置在了利率低点。而对于此类投资者而言,像可回售债券这种可以规避利率上行风险的品种其实是一个不错的选择,既可以满足资金的配置需求,又可以规避利率上行的风险。当然,投资者也需要付出一定的成本来享有这种对利率上行风险的保护,这也是为什么可回售债券在发行时利率通常要低于同期限的普通债券。
3) 最后,国开行重启可回售债券的发行,也是发挥其债券银行优势,积极推动债券市场创新的体现,对于我国利率市场化的推进、债券市场工具的丰富、债券市场的繁荣和发展等均起到了积极作用。国开行通过债券创新创造了市场发行体、投资人与监管机构多赢的局面,而且为我国债券市场的发展注入了新的生机和活力。
展望来看,我们认为未来我国债券市场的品种将得到进一步的丰富和扩容,投资者的债券投资策略也将更为多元化,债券市场将迎来新一轮快速发展期。
[1]https://www.chinabond.com.cn/cb/cn/sczy/ywwj/ywgz/djtg/20120531/13980888.shtml
[2]http://www.sasac.gov.cn/n2588025/n2588124/c3929324/content.html
本文摘自:2022年6月21日已经发布的《国开行双向含权债发行,创新带来机会——国开行重启可回售债券发行简评》
陈健恒,SAC执业证书编号:S0080511030011 SFC CE Ref: BBM220
东 旭,SAC执业证书编号:S0080519040002 SFC CE Ref: BOM884
张纯祎,SAC执业证书编号:S0080521070005
耿安琪,SAC执业证书编号:S0080121070209
法律声明
向上滑动参见完整法律声明及二维码