新浪财经

三维光场非线性调控理论研究取得进展

媒体滚动 2022.04.21 07:30

近期,中国科学院西安光学精密机械研究所瞬态光学与光子技术国家重点实验室副研究员曾健华团队及其合作者在三维光场的非线性调控前沿理论方面取得两项研究进展,分别以Matter-wave gap solitons and vortices in three-dimensional parity-time-symmetric optical lattices3D Nonlinear Localized Gap Modes in Bose-Einstein Condensates Trapped by Optical Lattices and Space-Periodic Nonlinear Potentials为题,发表在《交叉科学》【iScience 25, 104026(2022)】和《先进光子学研究》【Advanced Photonics Research 2022, 2100288 (2022)】上。 

量子力学要求可观测物理量必须具有厄米性,即实际物理系统必须是厄米系统,才能保证物理量(哈密顿算符)具有实数本征值。数学家和物理学家长期致力于寻找非厄米系统,并试图无限接近真实物理模型。1998年,美国物理学家Carl M. Bender 和 Stefan Boettcher发现存在一类非厄米系统,其本征值可以确保为全实数,条件是该系统满足宇称-时间(parity-time symmetry)对称且其实部和虚部满足一定的数学变换条件。美国中佛罗里达大学非线性光学专家、教授D. N. Christodoulides研究组在2008年报道了激光在PT对称光晶格中的线性和非线性传播特性。随后,PT对称势(周期和非周期势)在光学以及物理学其它领域的实现和应用成为研究前沿。 

在该领域的早期发展阶段,曾健华研究团队曾研究了囚禁于PT对称赝厄米光晶格中的二维光波或物质波的非线性局域理论【Phys. Rev. E 85, 047601 (2012)】。2013年,华东师范大学教授黄国翔团队与合作者提出在三能级原子系统中,通过拉曼效应可以实现PT对称折射率;2016年,美国阿肯色大学教授肖敏与西安交通大学教授张彦鹏团队联合报道了通过光诱导方式,在四能级原子层中实验实现了折射率具有周期性增益和损耗的PT对称光晶格。光诱导方法可以制备三维光晶格,实验上产生三维PT对称光晶格并非遥不可及。此外,在超冷原子系统中,通过原子的注入与释放(逃逸)也可以实现PT对称势。因此,研究三维PT对称光晶格中物质波的非线性局域现象在光场非线性调控前沿理论研究方面具有迫切性和前瞻性,并对未来相关实验工作的开展具有指导性和引领性。

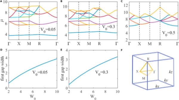
为此,曾健华研究团队借助三维光场的非线性调控方法,在iScience上报道了在三维PT对称光晶格中的物质波带隙孤子和涡旋的理论研究成果。研究发现,在三维PT对称光晶格的虚部强度是实部的一半时,所有能带均发生简并行为,此时不存在带隙;此外,通过增加晶格的调制深度,第一带隙的宽度呈线性增加趋势。由于具有特别的线性带隙特性,PT对称光晶格为研究在非线性情况下的局域带隙模提供了新平台。进一步结合理论分析和数值模拟方法,科研人员系统研究了三维相干局域物质波的形成、结构特点和动力学特性,找出了相应的稳定带隙区域,从而克服了三维超临界塌缩。研究结果为在高维非厄米系统中探索和稳定三维局域带隙模开辟了新途径。 

除了光晶格技术,费希巴赫共振技术可以调节原子-原子之间的间接和碰撞相互作用,从而为局域物质波和多体物理现象的研究提供了非线性调控方式。曾健华研究团队此前将两种技术相结合,研究低维情况下的局域物质波特性,揭示了该模型独特的非线性局域特性【Phys. Scr. T149, 014035 (2012); Front. Phys. 15, 12602 (2020)】。线性晶格和非线性晶格结合具有空间结构共振和非共振特性,为物质波局域和量子模拟研究提供了更为灵活多样且简易可调的手段。曾健华研究团队近期将三维光晶格技术与周期性非线性费希巴赫共振技术结合,在Advanced Photonics Research上报道了相关最新理论和计算仿真结果,研究了多类三维非线性物质波(玻色-爱因斯坦凝聚)局域带隙模的产生和动力学稳定性,确认了具有较好鲁棒性的物质波基本带隙孤子和高阶模式以及带隙涡旋,从而克服了三维超临界塌缩。研究发现所有三维局域带隙模均只在线性能带的中间部分有极好的稳定性,而在带隙的边缘则稳定性极差,展示了丰富的动力学特性。研究揭示了高维度空间下三维局域带隙模的非线性机理。 

研究工作得到国家自然科学基金重大项目子课题和面上项目的支持。

图1.三维PT立方晶格的线性能带谱图。(A、B、C)能带随晶格虚部的变化情况;(D、E)第一带隙宽度随晶格调制深度的变化情况;(F)在倒格子空间的第一布里渊区

图2.囚禁于PT晶格中的三维物质波带隙涡旋(涡量为1)。原子数与化学势的关系(上行);非在轴(中行、左)和在轴带隙涡旋(下行、左)及其2D俯视图(中)和相位图(右)

图3.三维耦合线性-非线性晶格中的非在轴(左)和在轴(右)物质波带隙孤子簇。原子数与化学势的关系(上行);由五个(下行,b)和四个(下行,c)基本物质波带隙孤子组成的孤子簇

图4.三维耦合线性-非线性晶格中的物质波带隙孤子和孤子簇动力学演化行为。稳定的(A1)和不稳定的(A2)基本带隙孤子, 稳定的(B1)和不稳定的(C2)平面带隙孤子簇,不稳定的立体带隙孤子簇

来源:中国科学院西安光学精密机械研究所

加载中...