新浪财经

钱学森26年前的工资单火了:1979元相当于现在什么水平?曾主动要求减薪

上游新闻

关注

4月8日,一则《1996年钱学森先生的工资单,什么水平?》的帖子成为虎扑论坛热帖,网友不仅找出了当年钱学森的工资,还提到了他一生中曾数度致信要求减薪,慷慨捐出奖金,并且在1992年就高瞻远瞩,建议发展电动车的往事。

“我姓钱,但我不爱钱”

1955年,钱学森冲破千难万险,带着全家回到祖国落户北京。

回国后,在中国科学院享受特级研究员待遇,每月工资为350元。后来他被增聘为中国科学院学部委员(后称院士),增加补贴100元。

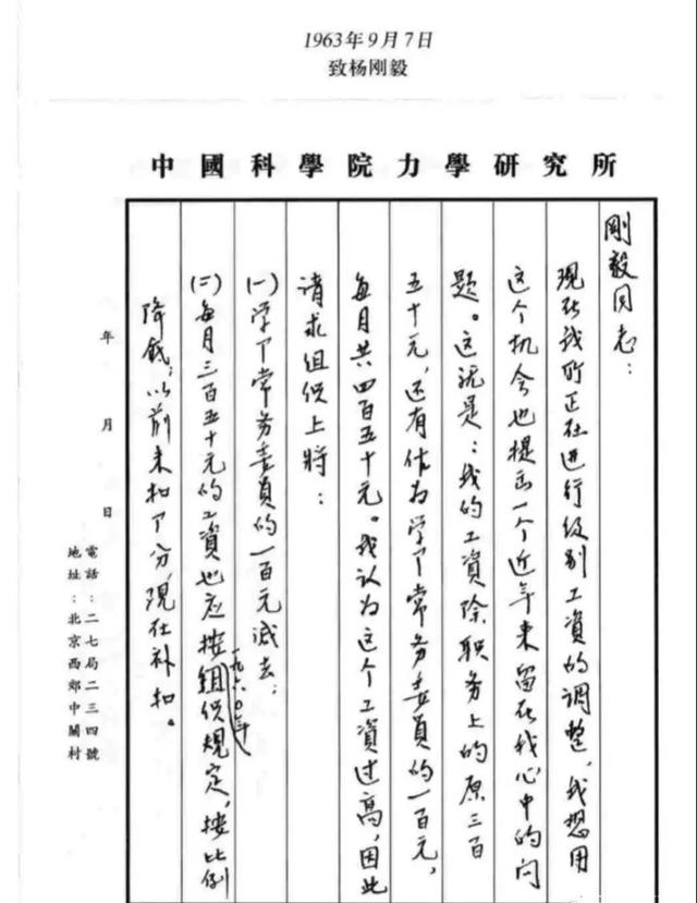
1963年9月,钱学森写信给当时国防部第五研究院党委书记杨刚毅,主动要求降工资。信中说,“现在我所正在进行级别工资的调整,我想利用这个机会也提出一个近年来留在我心中的问题。这就是:我的工资除职务上的原350元,还有作为学部常务委员的100元,每月共450元。我认为这个工资过高。”

钱学森图书馆藏有三张钱学森的工资条,可以看出在1996年2月,钱学森的工资为1979元。

“我姓钱,但我不爱钱。”据钱学森之子钱永刚讲述,父亲一直说自己生活可以了,更愿意把钱捐出去帮助更困难的人。

在工资收入之外,钱学森还有一些稿费收入。

1957年初,钱学森所著的《工程控制论》获得中国科学院自然科学奖一等奖,奖金1万元。当时他响应政府号召,用此款买了国家公债,公债到期,连本带息总共1.15万元。1961年12月,钱学森把这笔钱捐献给了中国科技大学,作为改善教学设备之用。

与他人合写的文章,钱学森总是把自己的稿费让给合作者。他常对合作者说:我工资比你高,你留着补贴家用吧。在1990年前,钱学森和他人合作著书7部,他把自己应得的稿费14238元全部让给了合作者。

1995年,钱学森获得何梁何利基金首届“何梁何利优秀奖”,奖金100万港元。这笔巨款支票汇到后,他看都没看就写了委托书,授权秘书把钱转交给促进沙漠产业发展基金管委会,支援我国西部的沙漠治理事业。

这还仅是从公开资料能找到的不完全统计金额。

“我国汽车工业应直接进入新能源阶段”

4月7日,公安部交通管理局发布公告称,截至2022年3月底,全国机动车保有量达4.02亿辆,其中汽车3.07亿辆。新能源汽车保有量达891.5万辆,一季度新注册登记111万辆。

早在30年前,钱学森就高瞻远瞩,提出了发展新能源汽车的建议。

在《钱学森书信选》中,收录有一封1992年钱学森的信。在这封写于30年前的信中,钱学森建议绕过汽油柴油阶段,直接发展新能源汽车。

信中这样写:

“我国汽车工业应跳过用汽油柴油阶段,直接进入减少环境污染的新能源阶段。今年我国汽车生产将达1000万辆,到下个世纪20年代保护环境将是十分重要问题。现在美国、日本、西欧都在组织各自技术力量攻高效蓄电池,计划开发出蓄电池汽车。”

“在此形势下,我们绝不应再等待,要立即制定蓄电池能源的汽车计划,迎头赶上,力争后来居上!”

“这是有可能实现的。不久前广东中山市中标搞氢化物-蓄电池中试基地,说明我国氢化物-镍蓄电池汽车现在就可着手开发。而这种能源的小汽车一次充电的行程已远远大于铅蓄电池汽车一次充电的100公里,可达250-300公里,是可以进入实用的。外国也在同样阶段,并不比我们领先多少。”

“更先进的蓄电池我们也有力量研制。例如哈尔滨工业大学就已有王纪三教授任总经理的珠海益士文化学电源开发中心,他们正在研究汽车动力新能源。”

“所以国家要组织力量,中国有能力跳过一个台阶,直接进入汽车的新时代!”

综合自中国之声、解放军报、澎湃新闻、扬子晚报网、《钱学森书信选》

责任编辑:梁斌 SF055

加载中...