新浪财经

相爱容易,相处难!研究发现:感情不幸的男性更易“心碎”... | 有益思

媒体滚动 2022.02.16 13:46

本文转自  |  中国生物技术网

微信号  |  biotech-china

愿天下有情人和平相处。因为,即使是最成功、最长久的感情,也同样会经历波折,让你在“幽幽暗暗反反复复中追问”,并最终明白“平平淡淡从从容容才是真”。对男性而言,“老婆开心,日子舒心”可能才是双赢,否则,会威胁到自身健康。

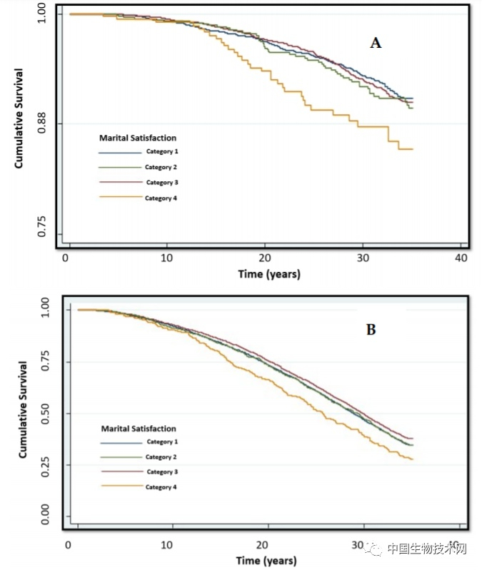
近期,发表在《journal of clinical medicine》上的一项研究中,来自以色列特拉维夫大学的研究人员发现,那些认为自己婚姻不成功、不幸福的男人更容易英年早逝。

研究结果显示,婚姻不幸福与中风和全因死亡率之间存在显著关联:那些对婚姻满意程度最低的男性死于中风的几率比报告婚姻满意程度最高的男性高出69%。此外,与婚姻不成功的男性相比,婚姻非常成功的男性全因死亡率降低了19%。

该研究还分析了婚姻质量与心脏健康的关系。研究人员发现,婚姻不幸福的男性死于心血管疾病的可能性要高出20%。当调整已确定的死亡风险因素(如年龄、缺血性心脏病、糖尿病、收缩压、吸烟、bmi、体育活动等)后,这些关联仍然存在。

婚姻是最重要的人际关系,它提供了建立家庭和社会支持的结构。此前已有研究表明,婚姻关系的质量与当事人的健康密切相关。较高的婚姻质量与较低的死亡风险相关。该研究为这一结论提供了新的证据。

此外,还有一项“大数据”研究也发现了在两性关系中,男性似乎更“脆弱”。

近日,发表在《journal of social and personal relationships》上的一项研究中,来自英国兰卡斯特大学领导的国际心理学家团队首次对情感关系问题进行了大数据分析。他们发现,当两性关系恶化时,与女性相比,男性会经历更多的痛苦。

研究人员表示,此前对两性关系问题的了解大多来自于参与情感治疗的人群,这是一小部分有时间、金钱和动机来解决关系问题的特定人群。但来自普通公众情感问题的研究还是一个空白。

在这项研究中,研究人员分析了超过18.4万名匿名在网络论坛上发表情感问题网友的人口统计学和心理特征,从而确定了最常见的情感问题主题,并为其绘制了图谱。

结果显示,沟通问题是最常被提及的问题之一,近五分之一的人表示在情感中遇到了难以沟通的问题;八分之一的人提到情感关系中的信任问题。

数据中还出现了一些意想不到的模式,包括在特定主题中存在的关键性别差异。

该研究通讯作者、兰卡斯特大学心理系首席研究员ryan boyd博士说:“在进行这项研究时,我们意识到这是一个重要的机会,可以将许多关于两性关系差异的常见观点纳入测试。例如,男性在两性关系中的情感投入是否真的比女性少,还是说男性只是在分享他们的感受时受到了误解?”

分析表明,人们在谈论感情问题时提到的最常见主题是与自己的感受相关(为情所困),而不是问题本身。最常见的主题是“心痛”,包括后悔、分手、痛哭流涕和心碎等关键词。

值得注意的是,研究人员发现男性谈论“心碎”的次数明显多于女性,也就是说,他们更常讨论与“为情所痛”有关的主题。这一事实强调了男性在情感上至少像女性一样受到关系问题的影响。

这些发现表明,男性在感情上的投入也许不比女性少。

此外,研究人员发现,在网络环境中,男性比女性更容易寻求有关情感关系的帮助。

boyd指出,通常,女性比男性更可能在关系中确认问题、考虑并寻求治疗。然而,当消除对男性寻求情感帮助的刻板印象时,他们似乎也和女性一样,都在努力寻求克服情感关系障碍的方法。

这项发现对公众和临床环境都有意义。研究人员指出,对两性关系问题进行更精确的描述有助于我们更好地理解情感中出现问题的时间和原因,从而有可能帮助伴侣避免经历最常见的情感挫折。

研究人员还认为,由于情感关系问题普遍存在,男性和女性一样也会需要帮助。因此,这一发现将有助于让男性鼓起勇气,以消除对自己寻求情感帮助感到的耻辱。

总之,愿天下有情人和平相处,在出现问题的时候,去尝试友好沟通,或主动向外界(非猪队友)寻求帮助。

论文链接:

https://doi.org/10.1177/02654075211046635

https://doi.org/10.3390/jcm10081729

上观号作者:上海科协

加载中...