新浪财经

谈谈大热的氧化镓

投资界

关注

第一、二、三、四代半导体材料各有利弊,在特定的应用场景中存在各自的比较优势,但不可否认的是,中国在第一、二代半导体的发展中,无论是在宏观层面的市场份额、企业占位还是在微观层面的制备工艺、器件制造等方面,中国与世界领先水平之间都存在着明显的差距。

国内可能并且走在世界前沿的半导体材料或者能让中国在半导体行业实现弯道超车并以此为契机助力中国经济高质量发展的机会应该是对新型材料的研究与开拓,比如应用场景广泛、波及行业众多、产业占位靠前的在功率、射频等方面可以大放异彩的氧化镓材料;其具备制备成本较低、相对环保、性价比更高、材料属性优势明显、工艺制造精妙但成本相对较低优势等特点。目前,国内对于新型材料的研究仍处于开拓期,文章接下来会以Ga2O3等新型材料的材料属性优势、制备工艺流程、相关研究企业、具体应用场景等等进行介绍。

氧化镓材料属性认识

(1)氧化镓-Ga2O3

氧化镓单晶材料,是继Si、SiC及GaN后的第四代宽禁带半导体材料,以β-Ga2O3单晶为基础材料的功率器件具有更高的击穿电压与更低的导通电阻,从而拥有更低的导通损耗和更高的功率转换效率,在功率电子器件方面具有极大的应用潜力。氧化镓是一种来自日本的新型半导体晶体材料,可以廉价地生产高质量、大型单晶基板,有望成为下一代功率器件材料,其潜力超过氮化镓和碳化硅;氧化镓由于低成本及与GaN的低失配的特性,可用于GaN材料的外延衬底,Ga2O3具有4.9eV的极宽带隙,超过了SiC和GaN显示的3.3eV,此特性使其制作的器件比由禁带较窄材料组成的器件更薄、更轻,并且能应对更高的功率,宽禁带允许在更高的温度下操作,从而减少对庞大的冷却器件系统的需求,这种差异使Ga2O3能够承受比硅、SiC和GaN更大的电场,而不会被击穿。

此外,Ga2O3能在更短的距离上处理相同量的电压,这使得生产更小、更高效的大功率晶体管变得非常有价值。Ga2O3看起来非常适用于电动汽车充电的配电系统,或者将电力从风力涡轮机等替代能源输送到电网的转换器。Ga2O3的优势还有作为金属氧化物半导体场效应晶体管(更为人所知的MOSFETS)的潜力。传统上,这些微小的电子开关是由硅制成的,用于笔记本电脑、智能手机和其他电子产品。对于像电动汽车充电站这样的系统,我们需要能在比硅基器件更高的功率水平下工作的MOSFETS,而这正是Ga2O3可能成为解决方案的地方。在微电子器件中,带隙是决定材料电导率的主要因素,带隙宽的物质通常是不导电的绝缘体,带隙窄的物质是半导体。

(2)功率半导体材料的特性

器件功能是由器件材料属性、结构共同决定的,器件的材料属性是决定器件功能优劣的关键,直接谈器件材料属性大家可能会觉得空洞不知所以,所以作者先介绍功率半导体的功能,以此引出实现此功能何种属性能较好的被使用。功率半导体器件应用需要考虑大功率电路应用的特性,如绝缘、大电流能力等,在实际应用中,以动态的“开”和“关”为运行特征,一般不运行在放大状态。由功率半导体器件构成的电力电子变换器实施的是电磁能量转换,而不是单纯的开/关状态,它的非理想应用特性在电力电子变换器中起着举足轻重的作用。要用好功率半导体器件,既要熟悉电力电子变换器的拓扑,更要充分掌握器件本身的特性,第一、二、三、四代半导体都有可以作为功率半导体的材料,但是不同的材料属性直接决定着器件的性能、价格、体积等等。下表为几种材料的属性对比:

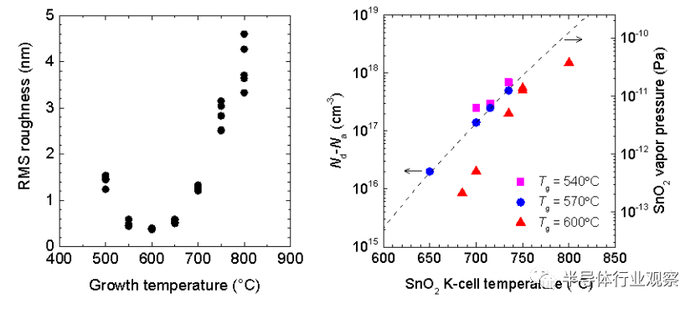
以上是材料属性的基础对比,对于更深层面的功率器件的表皮晶圆需要特征:(1)表皮表面的平坦度;(2)低载流子浓度区域的浓度控制;氧化镓的这方面特性,被日本Novel Crystal Technology研究人员经过实验进行了定性,其使用臭氧MBE方法作为表皮沉积方法,晶体平面方位,掺杂剂优化了种子、生长温度、原料供应量等生长参数。例如,图1显示了表面平整度与生长温度之间的关系,以及载体浓度与掺杂原料电池温度之间的关系。这些允许在1nm或更低的表面粗糙度和1016cm-3的低载波浓度区域进行控制,以满足电源器件的表面粗糙度,此项结果证明,氧化镓与第一、二代功率半导体材料具有明显的优势,甚至对比于第三代半导体碳化硅都具有明显的优势。

表面平整度与生长温度关系、载体浓度与掺杂原料电池温度关系

注:图片来源于NCT官网

但金无足赤,人无完人,物体都是具有双面性的,氧化镓除了以上所展示出的优点,它也存在一些自身的问题。比如,β相在展现出色的物性参数的同时,也有一些不如SiC及GaN的方面,这就是迁移率和导热率低,以及难以制造p型半导体。不过,目前研究表明这些方面对功率元件的特性不会有太大的影响。之所以说迁移率低不会有太大问题,是因为功率元件的性能很大程度上取决于击穿电场强度。就β相而言,作为低损失性指标的“巴利加优值”与击穿电场强度的3次方成正比、与迁移率的1次方成正比。巴加利优值较大,是SiC的约10倍、GaN的约4倍。

(3)材料决定属性决定的器件对比图

不同材质功率器件对比图

注:图片来源北京铭镓半导体官网

在电流和电压方面的要求:Si,SiC,GaN和Ga2O3功率电子器件的应用如上图,由于其材质的属性的本质区别,导致这以不同衬底制作出来的功率器件会表现出很大的差异,比如以氧化镓为衬底的功率器件就能在相对成本较低的情况下实现第一、二、三代半导体的功率器件功能,由图二也可以看出,以氧化镓为衬底制作出来的功率器件在承受更高电压、电流方面就具有很大的优势,据统计,如果将中国低效电机改成使用氧化镓等高功率半导体材料的高效电机,每年可节约900+亿度电,实现450+亿元(RMB)的节电效益,形成500+亿元(RMB)的增加值,可以有效的助力碳中和、碳达峰的国家政策。

(4)主要分类

导电型(氧化镓同质外延)、半绝缘型(同质外延)、高纯型(同质外延)分别在肖特基二极管、场效应晶体管、传感器和光电衬底的应用方向,主要应对下游市场为新能源汽车、家电、工业变频、光伏、电焊机、工业变频、高铁、智能电网、工业电机、国防军工,发光二极管、电网安全检测、国防军工、森林消防、智慧高速、智慧家居等;

氧化镓/氮化镓(异质外延)、氧化镓/蓝宝石(异质外延)分别在射频器件、传感器件的应用主要应对下游市场通信基站装置、发光二极管、电网安全检测、国防军工、森林消防、智慧高速、智慧家居、气敏传感安全检测等等,应用场景广泛、受众群体众多。

氧化镓制备工艺

高质量单晶材料的制备是后期有效应应用的基础与前提,新型材料氧化镓的制备工艺具有复杂但成本可控、精妙但工艺成熟等特点,为防止文章过于空洞,特以同为新型材料的碳化硅生产为对比,助读者能有一个清楚的参照物做对比,不至于理解起来过于空洞,至于成本如何可控、工艺如何,读者可在以下对比中可窥得一二。

(一)制备工艺的方法对比

(1)碳化硅制备主流方法:PVT

PVT法通过感应加热的方式在密闭生长腔室内在2,300°C以上高温、接近真空的低压下加热碳化硅粉料,使其升华产生包含Si、Si2C、SiC2等不同气相组分的反应气体,通过固—气反应产生碳化硅单晶反应源;由于固相升华反应形成的Si、C成分的气相分压不同,Si/C化学计量比随热场分布存在差异,需要使气相组分按照设计的热场和温梯进行分布和传输,使组分输运至生长腔室既定的结晶位置;为了避免无序的气相结晶形成多晶态碳化硅,在生长腔室顶部设置碳化硅籽晶(种子),输运至籽晶处的气相组分在气相组分过饱和度的驱动下在籽晶表面原子沉积,生长为碳化硅单晶。以上碳化硅单晶制备的整个固—气—固反应过程都处于一个完整且密闭的生长腔室内,反应系统的各个参数相互耦合,任意生长条件的波动都会导致整个单晶生长系统发生变化,影响碳化硅晶体生长的稳定性;此外,碳化硅单晶在其结晶取向上的不同密排结构存在多种原子连接键合方式,从而形成200多种碳化硅同质异构结构的晶型,且不同晶型之间的能量转化势垒极低。因此,在PVT单晶生长系统中极易发生不同晶型的转化,导致目标晶型杂乱以及各种结晶缺陷等严重质量问题。故需采用专用检测设备检测晶锭的晶型和各项缺陷。

(2)氧化镓制备主流方法:

按β-Ga2O3照晶体生长过程中原料状态的不同,可以将晶体生长方法分为:溶液法、熔体法、气相法、固相法等。熔体法是研究最早也是应用最为广泛的晶体生长方法,也是目前生长β-Ga2O3体块单晶常用的方法。通过熔体法可以生长高质量、低成本的β-Ga2O3体块单晶,其中最为常用的生长方法主要有两种:提拉法和导模法。文章以导模法为例介绍,导模法(Edge-defined film-fed growth method)是一种重要的晶体生长方法,具有近尺寸生长、异形晶体生长、生长速度快、生长成本低等优点,是传统提拉法(Czochralski method)的一种延伸和补充,实际操作中可以将传统提拉法晶体生长炉改造后使用,常用于闪烁晶体材料、半导体晶体材料的生长。导模法需要在坩埚中放置模具,晶体生长界面位于模具上表面。由于射频线圈高频电流的作用,使铱坩埚产生涡流而产生热量。高温下,坩埚中的Ga2O3原料变成熔体,由于表面张力和浸润作用,熔体沿模具中的毛细管上升到模具上表面。预先在籽晶杆上安放一枚籽晶,让籽晶下降至接触模具上的熔体表面,待籽晶表面稍熔后,提拉籽晶杆,使熔体在籽晶的诱导下结晶于籽晶上,最终生长出特定形状的大块单晶体。

(二)具体步骤与流程图

(1)碳化硅制备流程

第一步原料生成,将高纯硅粉和高纯碳粉按工艺配方均匀混合,在2,000℃以上的高温条件下,于反应腔室内通过特定反应工艺,去除反应环境中残余的、反应微粉表面吸附的痕量杂质,使硅粉和碳粉按照既定化学计量比反应合成特定晶型和颗粒度的碳化硅颗粒。再经过破碎、筛分、清洗等工序,制得满足晶体生长要求的高纯度碳化硅粉原料。

第二晶体生长,在2,300°C以上高温、接近真空的低压下加热碳化硅粉料,使其升华产生包含Si、Si2C、SiC2等不同气相组分的反应气体,通过固-气反应产生碳化硅单晶反应源;由于固相升华反应形成的Si、C成分的气相分压不同,Si/C化学计量比随热场分布存在差异,需要使气相组分按照设计的热场和温梯进行分布和传输,使组分输运至生长腔室既定的结晶位置;

第三晶锭加工将碳化硅晶锭使用X射线单晶定向仪进行定向,之后通过精密机械加工的方式磨平、滚圆,加工成标准直径尺寸和角度的碳化硅晶棒。对所有成型晶棒进行尺寸、角度等指标检测。

第四晶棒切割在考虑后续加工余量的前提下,使用金刚石细线将碳化硅晶棒切割成满足客户需求的不同厚度的切割,并使用全自动测试设备进行翘曲度(Warp)、弯曲度(Bow)、厚度变化(TTV)等面型检测。

第五切割片研磨通过自有工艺配方的研磨液将切割片减薄到相应的厚度,并且消除表面的线痕及损伤。使用全自动测试设备及非接触电阻率测试仪对全部切割片进行面型及电学性能检测。

第六研磨片抛光通过配比好的抛光液对研磨片进行机械抛光和化学抛光,用来消除表面划痕、降低表面粗糙度及消除加工应力等,使研磨片表面达到纳米级平整度。使用X射线衍射仪、原子力显微镜、表面平整度测试仪、表面缺陷综合测试仪等仪器设备,检测碳化硅抛光片的各项参数指标,据此判定抛光片的质量等级。

第七抛光片清洗在百级超净间内,通过特定配比的化学试剂及去离子水对清洗机内的抛光片进行清洗,去除抛光片表面的微尘颗粒、金属离子、有机沾污物等,甩干封装在洁净片盒内,形成可供客户开盒即用的碳化硅衬底。

碳化硅制备流程图

注:图片来源于巨浪资讯

(2)氧化镓制备流程

与碳化硅半导体材料制备步骤类似,Ga2O3晶体衬底片加工包括退火、定向、切割、贴片、减薄、研磨、抛光和清洗,工艺流程如下图所示:

氧化钾制备工艺步骤

注:图片来源北京铭镓半导体官网

(三)制备难易对比

方法并无绝对的好坏优劣之分,只是适用情况、工艺繁简有别,不管何种工艺也无论工艺是否过时,它都承载着研究人员的心血与付出,在一定程度上都是科技发展的具体载体,接下来的对比只是为了说明氧化镓的制备成本可控,并无定性的指明孰优孰劣的意思。氧化镓成本可控可以体现在以下几个方面:第一,相较于碳化硅必须实现2,300℃以上高温、接近真空的低压下加热碳化硅粉料,使其升华产生包含Si、Si2C、SiC2等不同气相组分的反应气体才能进一步生产,氧化镓的导模法的实现条件就相对要求低了很多,其温度要求低,而且不用使原料粉末升华成气体相对条件要求较低;第二,相较于200多种碳化硅同质异构结构的晶型,且不同晶型之间的能量转化势垒极低的情况,氧化镓的同质异构结构的晶体类型少了很多只有几种,这对于制备的可控性来说大大降低了难度,这也是为什么氧化镓的成本低于碳化硅的重要原因;第三,相较于碳化硅制备的石墨坩埚等一次性损耗品来讲,氧化镓的坩埚虽然购置费用昂贵,但是可以实现循环利用,其平摊到每一次的制备成本当中是远低于碳化硅的制备成本的,这又是氧化镓成本低于碳化硅的一大原因。

(四)相对环保

众所周知,在国家加强生态建设、碳中和、碳达峰的大环境下,材料制备无污染是一个比较值得关注的问题,氧化镓相对比与第一二代半导体甚至是第三代是更环保的材料,比如硅基制造中多个环节涉及环境污染,生产过程中将产生一定量的废水、废气、固废和噪音;碳化硅衬底材料生产虽属于重污染行业,但污染物废水(主要包括酸洗清洗废水、废气净化废水、倒角清洗废水、研磨清洗废水、机械抛光清洗废水、生活污水等)、一般固废(主要包括提纯杂质、加工下脚料、生活垃圾等)、危险废物(主要包括废研磨液、废切削液、废抛光液等)、废气(主要包括酸洗废气、乙醇清洗废气、有机废气等)、噪声等也存在,氧化镓在这方面比第一二三代具备更环保的特点。

当前研究现状

当前该领域的研究,尤其以日本在氧化镓方面的发展最为领先。早在2012年,日本Novel Crystal Technology(下简称“NCT”)公司就实现了2英吋氧化镓晶体和外延的突破;2014年,日本NCT实现2英吋氧化镓材料的批量产业化;2017年,日本FLOSFIA实现了低成本亚稳态氧化镓(α相)材料的突破;2018年,日本NCT实现了4英吋氧化镓材料的突破,日本FLOSFIA实现了α相氧化镓外延材料的批量化生产,2019年日本田村实现4英吋氧化镓的批量产业化等等。在这个发展过程中,日本氧化镓产业也涌现出了几个产业明星。当中尤其以NCT和FLOSFIA最为亮眼。资料显示,日本功率元件方向的氧化镓研发始于日本国立信息通信技术研究所的东胁正高先生、京都大学的藤田静雄教授、田村(Tamura)制作所的仓又朗人先生。国外主要研究机构如下图:

国外主要研究者

注:图片来源于北京铭镓半导体

(一)国外主要研究企业简介

(1)日本NCT

NICT和田村制作所合作投资成立了氧化镓产业化企业“Novel Crystal Technology”,简称“NCT”。公司成立2015年6月,资本金1000万日元。2015年8月至2016年3月,通过第三方配股募集6570万日元,资本金7570万日元。2017年11月至2018年5月,通过第三方配售增资筹集1.4256亿日元。2020年2月至6月,通过第三方配售增资筹集6.9989亿日元。其首要目标是扩大和推广氧化镓的传播。在氧化镓的研究与开发方面,塔穆拉实验室、国家信息与通信技术研究所(NICT)和东京农业技术大学等研究团队处于领先地位。现在,“Novel Crystal Technology”是日本氧化镓研发的中坚企业,主要业务有含氧化镓外延膜的基板的制造与销售、单晶及其应用产品的制造与销售、半导体及其应用产品的制造与销售等等。

(2)日本FLOSFIA

FLOSFIA是京都大学研究的衍生产品,专门从事雾化气相沉积(CVD)的成膜。利用氧化镓(Ga2O3)的物理特性,FLOSFIA致力于开发低损耗功率器件。公司的“喷雾干燥法”(MistDry)先将氧化镓溶解于某种几十种配方混合而成的溶液里,然后将溶液以雾状喷在蓝宝石衬底上,在蓝宝石基板上的溶液干燥之前,就形成了氧化镓结晶。这样通过从液态直接获得GaO衬底,不需要高温、超洁净的环境,实现了超低成本制造GaO。

(二)国内研究企业

国内对于氧化镓的研究还处于开拓其,主要研究企业为北京铭镓半导体有限公司、杭州富加镓业有限公司、江苏利泷半导体科技有限公司、威科赛乐微电子股份有限公司等,其余还有些是氧化镓具体制备过程中的部分环节参与者,比如氧化镓粉末供货商上海乙基化工有限公司等。

(1)北京铭镓半导体有限责任公司

北京铭镓半导体有限公司前身为2017年的“镓族科技”,是中国第四代半导体领域的开拓企业,其CEO陈政委先生以其独到的眼光与深刻的见解一直致力于中国第四代半导体的开拓与探究。据悉,北京铭镓半导体有限公司已完成近亿元的天使、PreA轮融资,公司已完成2英吋氧化镓材料研发和小批量生产,3-4英吋氧化镓材料的突破,并具备加工、外延、测试等完整的链条,已与合作单位一起已经实现1000V耐压的肖特基二极管模型制作,并已经实现5000V耐压的MOSFET模型制作,开发出氧化镓基日盲紫外探测器分立器件和阵列成像器件,为深紫外光电器件提供了良好解决方案,可支持极弱火焰和极弱电弧实时检测等。公司完成了产业中试的前期技术、人员、软硬件等量产化要求的所有准备工作,拥有厂房涵盖完整的产业中试产线,具备构建了氧化单晶衬底、氧化镓异质/同质外延衬底生产和研发平台。

(2)富加镓业

富加镓业科技有限公司(简称“富加镓业”)成立于2019年12月,注册资金500万,坐落于美丽的杭州市富阳区,是由中国科学院上海光学精密机械研究所与杭州市富阳区政府共建的“硬科技”产业化平台——杭州光机所孵化的科技型企业。杭州富加镓业科技有限公司也在中科院上海光机所技术的支持下成立,剑指氧化镓材料的产业化;此外,富加镓业专注于宽禁带半导体材料研发,公司核心创始人也是具有中科院博士等业内资深人才,研发人员中硕士以上比例达到80%;公司拥有多台大尺寸导模法晶体生长炉、多气氛晶体退火炉、高精密抛光机等仪器设备,为公司的发展提供了基础支撑和持续创新动力硬件保证。

应用场景

为何说氧化镓会成为引领中国经济高质量发展的一“镓”马车,通过以上介绍,读者应该可以得出其成本可控、应用场景广泛、受众群体众多、相对环保等特点。文章接下来介绍其广泛的应用场景,其中值得说明的是由于文章作者资料以及认知的有限性,虽然介绍了诸多的应用场景但是不可否认的是对于这种新型材料的认识以及场景的应用作者是完全概括不全的,在诸多领域作者存在介绍不全、介绍不充分的情况,望知悉!

综合在光电、电力电子器件应用图如下:

光电电力器件应用

注:图片来源于北京铭镓半导体官网

(一)高压电力电气系统局部放电检测

局部放电现象,主要指高压电力电气设备的局部放电。电力设备绝缘材料在足够强的电场作用下局部范围内发生的放电,而没有贯穿施加电压的导体之间。局部放电根据放电强度从弱到强可分为:电晕放电、沿面闪电、闪络、电弧放电、火花放电。不同等级的放电会对电气设备的绝缘材料造成不同的影响,现代电缆和电缆附件在长期局部放电作用下会其绝缘材料会被慢慢腐蚀直至失效。因此需要对运行中的高压电力设备要加强监测,当局部放电超过一定程度时,应将设备退出运行,进行检修或更换。应用Ga2O3日盲紫外传感器开发日盲紫外探测器只要能探测到局部放电时产生的日盲紫外光光强,这样便可以利用局部放电产生的光强与探测放电频率间接评估运行设备的绝缘状况和及时发现绝缘设备的缺陷。

(二)紫外消毒杀菌检测

紫外线杀菌是现今社会上最普遍的消毒方法之一,紫外线消毒主要是用波长253.7nm的C波紫外线来消灭细菌、芽孢、病毒、分支杆菌等微生物,这样能破坏这些微生物的机体内的去氧核糖核酸(即DNA)的结构,让它们失去繁殖能力或者是死亡,具有广谱性。采用紫外线辐射计杀菌,完全不产生任何有害物质。速度快、效率高、操作简单,便于运行管理和实现自动化运行。在医疗行业、水处理行业、食品行业、室内空气净化等都已有广泛应用,其应用场合主要有:第一,水的消毒:包括自来水厂,纯净水厂消毒设备的在线监测。第二,空气消毒:可以用于家庭房间、病房、实验室、学校、电影院、公交车、办公室、家庭等里的空气消毒监测;第三,食品消毒:食品生成企业及餐饮业的紫外线消毒在线监测。

(三)大功率器件

氧化镓材料在高低压配电房、变电站、智慧家居系统、射频、不间断电源等等应用场景都可以发挥其作用,其最有希望的应用可能是电力调节和配电系统中的高压整流器,在功率器件方面的应用会是氧化镓大放异彩的重要领域,也是其引领中国经济高质量发展的关键,因为功率器件的市场范围大,受众群体多,波及范围广,在中国核心制造业以及精密仪器的核心制造方面会发挥不可替代的作用。比如,目前还在用硅基、碳化硅基做衬底材料制作的IGBT、MOS等等。MOSFET是一种可以广泛使用在模拟电路与数字电路的场效晶体管(field-effect transistor)。IGBT(Insulated Gate Bipolar Transistor),绝缘栅双极型晶体管,是由BJT(双极型三极管)和MOS(绝缘栅型场效应管)组成的复合全控型电压驱动式功率半导体器件, 兼有MOSFET的高输入阻抗和GTR的低导通压降两方面的优点。IGBT模块具有节能、安装维修方便、散热稳定等特点;当前市场上销售的多为此类模块化产品,一般所说的IGBT也指IGBT模块;随着节能环保等理念的推进,此类产品在市场上将越来越多见;IGBT是能源变换与传输的核心器件,俗称电力电子装置的“CPU”。

总结与展望

从Yole的报道中可以看出,绿色线代表的GaO尺寸以前所未有的斜率快速增长,这得益于其材料可以通过上文提到的液相法进行生长,且已经接近目前SiC和GaN的最大商用化尺寸。硅基材料经过了80多年的发展,达到了目前的12寸。SiC材料的最大尺寸记录是近日更名为Wolfspeed的美国Cree公司所推出的8英寸衬底样品,其尚未导入大规模商业化,产业界刚刚准备规模化生产基于6英寸衬底的功率器件。具体市场分析如下(单位:RMB):

日本氧化镓功率器件市场预测

注:图片来源于北京铭镓半导体官网

由以上Yole与日本等国外权威机构的预测分析走势以及结合中国高质量经济发展的迫切需求来看,氧化镓的市场清晰度以及发展确定性是毋庸置疑的,而且氧化镓在助力中国经济高质量发展、实现碳中和、碳达峰等领域都与国家的发展与民族的复兴吻合度极高,氧化镓势必会成为引领中国经济高质量发展的一“镓”动力十足的马车!

注:文章部分数据作者根据官方公布数据进行了一定程度上的基础处理;所有图片来源均已注明来源,比如NCT、北京铭镓半导体等。

加载中...