中金:突破电池安全性技术,补齐高镍化关键一环
我们一直以来坚定认为高镍和磷酸铁锂是未来动力电池技术发展的两个核心方向,长期以来高镍电池技术发展的核心关键问题之一在于电池安全性。随着需求爆发和技术进步,我们看好高镍渗透率于2022年加速提升,进入长周期上升轨道,我们建议重点关注新型电池安全解决方案的各环节龙头。
高性能和高安全性的两方面需求贯穿电池技术发展的始终。根据我国《节能与新能源汽车技术路线图2.0》规划,至2035年普及型、高端型动力电池比能量分别要达到300Wh/kg、500Wh/kg,现有电池技术较此目标差距明显,进一步挖掘、匹配高能量密度电极材料是电池企业核心首要目标之一。然而现有电池体系中,高能量密度电极热稳定性差且与电解液副反应危害电池安全,造成高能量密度与高安全难以兼顾的局面。根据CIAPS统计,今年国内三元正极市场高镍渗透率已逐月攀升至10月份的41%,考虑高镍电池的安全性问题较为突出,我们认为解决安全性问题是高镍电池技术发展的关键。
电芯材料体系升级致力于解决电池本征安全性。具体而言,我们认为:1.电解液改性有助于提升高镍安全性,LiFSI新型锂盐、阻燃添加剂等材料有望加快应用;2.固态电池有望得到重视,半固态方案与现有液态电池工艺兼容度高,有望最先实现产业化,并且有望大幅提升高镍安全性;3.涂覆隔膜渗透率继续提升,新型阻燃型隔膜有望加快产业化;4.PET镀膜等新型集流体材料有助于提升高镍安全性,有望得到产业重视。
电池PACK多维构筑高镍安全性防线。具体而言,我们认为:1.圆柱4680封装方案不仅具有传统圆柱电池单体放热量小、散热面积大等优势,同时全极耳方案可进一步降低内阻发热,并增加极耳散热通道,有望得到推广;2.电池热管理方面,液冷技术凭借换热系数高、速率快、均温性好、温控精准等优势,支撑三元技术向高镍迭代;3.阻燃材料方面,陶瓷化硅橡胶在阻燃、力学性能、制备工艺等方面具有优于传统阻燃材料特性,我们看好其加速渗透。
新能源车销量不达预期,高镍三元电池装机量不达预期,新型电池技术迭代等。
动力电池朝向高镍化发展,安全性指标优先级提升
电池技术发展的首要目标是高性能和高安全性。根据我国《节能与新能源汽车技术路线图2.0》规划,至2035年普及型、高端型动力电池比能量分别要达到300Wh/kg、500Wh/kg,现有电池技术较此目标差距明显,进一步挖掘、匹配高能量密度电极材料是重要路径。然而现有液态锂电池体系中,高能量密度电极热稳定性差且与电解液副反应危害电池安全,造成高能量密度与高安全难以兼顾的局面,具体来说:
► 从电池结构看:隔膜高温破裂和液态电解液燃烧直接造成了电芯热失控。基于电池热失控的滥用模型,电池热失控过程按照先后阶段可以分为:电池过热-SEI层分解-隔膜融化-正极分解反应-粘结剂分解和电解液燃烧等步骤。其中隔膜破裂和电解液燃烧分别对应电池热失控的起始和高潮阶段。因此,传统隔膜+液态电解液的结构直接影响了电池热稳定性。
► 从电极材料看:高能量密度电极材料本征热稳定性不佳,且易与电解液发生副反应,破坏材料结构并影响电池安全。为了追求能量密度的提升,从正极材料角度考虑,现行高确定性技术路线是挖掘高镍三元材料潜力。然而三元材料本征热稳定性随Ni含量增高持续下降,表现为热稳定温度降低、热失控时热值增加,提升热失控发生的可能。此外,高能量密度正极(如高镍三元、高电压LCO、富锂锰基材料等)以及锂金属负极在充放电时会和液态电解液发生副反应,表现为诸如过渡金属溶解、正极材料析氧、SEI持续生成等情况。副反应影响电极材料稳定性、破坏电池结构并直接危害电池安全。
► 从电解液看:电解液添加剂间易相互干扰,改性难度较高。电解液中添加剂直接影响电解液电化学窗口、电极/电解液界面稳定性等关键问题。由于添加剂通常以溶质形式存在于有机电解液溶剂中,因此添加剂间、添加剂溶剂间的相互反应与干扰,都会使添加剂在复杂的电解液体系中难以发挥理想的效果。
图表1:传统电池热失控机制

资料来源:Materials for lithium-ion battery safety,中金公司研究部
图表2:三元材料比容量与热稳定呈负相关

资料来源:Comparison of the structural and electrochemical properties of layered Li[NixCoyMnz]O2 (x = 1/3, 0.5, 0.6, 0.7, 0.8 and 0.85) cathode material for lithium-ion batteries,中金公司研究部
新能源车快速发展使得安全性问题愈发凸显。据GGII不完全统计,2021年上半年国内一共发生超41起电动车起火事故,相比于2020年上半年同比增长90.4%;2021年上半年新能源乘用车发生的起火事故数量占事故总数近80%,与乘用车保有量占比较高有关。据《2019动力电池安全性研究报告》,行驶中自燃、停车自燃、充电自燃、碰撞自燃是电动汽车发生事故的4 个主要原因,占主要事故总数的66.4%。
图表3:我国新能源车自燃起火事故数量

资料来源:GGII,中金公司研究部
图表4:2011-2019年国内外电动汽车事故场景统计

资料来源:《2019动力电池安全性研究报告》,中金公司研究部
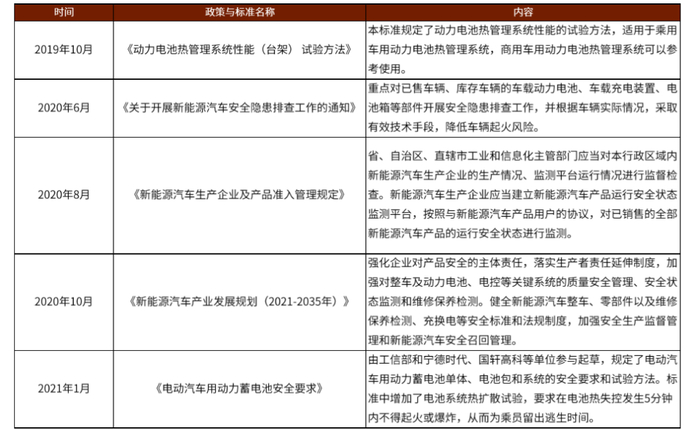
消费者偏好叠加行业监管政策倒逼安全性能优先级被提高。根据美国交通部和全美消防协会(NFPA)报告,社会车辆每行驶3040万公里就有一次车辆燃烧事故。但根据特斯拉披露的汽车安全报告,其旗下电动车型每行驶2.8亿公里才会发生一次燃烧事故。虽然基于现有样本数据,电动车燃烧事故概率低于传统燃油车,但考虑新能源车普遍保有时间远小于燃油车,线路老化、机械故障等问题相对较小,客观上提升了电动车平均安全水准。新能源车起火事故和召回事件也使得消费者更加关注安全性能指标:根据腾讯社交平台消费者调研展示的用户画像,“电池受温度影响大,易发生安全事故”是现有新能源汽车消费者四大主要顾虑之一。此外,市场监督管理总局和工信部出台的《关于进一步加强新能源汽车产品召回管理的通知》和《关于开展新能源汽车安全隐患排查工作的通知》也进一步要求主机厂和电池厂加强对产品质量安全的管控。
图表5:关于动力电池和新能源汽车安全性能规定的政策和标准

资料来源:Materials for lithium-ion battery safety,中金公司研究部
图表2:三元材料比容量与热稳定呈负相关

资料来源:Comparison of the structural and electrochemical properties of layered Li[NixCoyMnz]O2 (x = 1/3, 0.5, 0.6, 0.7, 0.8 and 0.85) cathode material for lithium-ion batteries,中金公司研究部
新能源车快速发展使得安全性问题愈发凸显。据GGII不完全统计,2021年上半年国内一共发生超41起电动车起火事故,相比于2020年上半年同比增长90.4%;2021年上半年新能源乘用车发生的起火事故数量占事故总数近80%,与乘用车保有量占比较高有关。据《2019动力电池安全性研究报告》,行驶中自燃、停车自燃、充电自燃、碰撞自燃是电动汽车发生事故的4 个主要原因,占主要事故总数的66.4%。
图表3:我国新能源车自燃起火事故数量

资料来源:GGII,中金公司研究部
图表4:2011-2019年国内外电动汽车事故场景统计

资料来源:《2019动力电池安全性研究报告》,中金公司研究部
消费者偏好叠加行业监管政策倒逼安全性能优先级被提高。根据美国交通部和全美消防协会(NFPA)报告,社会车辆每行驶3040万公里就有一次车辆燃烧事故。但根据特斯拉披露的汽车安全报告,其旗下电动车型每行驶2.8亿公里才会发生一次燃烧事故。虽然基于现有样本数据,电动车燃烧事故概率低于传统燃油车,但考虑新能源车普遍保有时间远小于燃油车,线路老化、机械故障等问题相对较小,客观上提升了电动车平均安全水准。新能源车起火事故和召回事件也使得消费者更加关注安全性能指标:根据腾讯社交平台消费者调研展示的用户画像,“电池受温度影响大,易发生安全事故”是现有新能源汽车消费者四大主要顾虑之一。此外,市场监督管理总局和工信部出台的《关于进一步加强新能源汽车产品召回管理的通知》和《关于开展新能源汽车安全隐患排查工作的通知》也进一步要求主机厂和电池厂加强对产品质量安全的管控。
图表5:关于动力电池和新能源汽车安全性能规定的政策和标准
资料来源:工信部,中金公司研究部
安全性能优先级被提高具体可表现在动力电池安全标准测试逐渐趋严上。伴随技术进步和实践经验不断丰富,动力电池的系统安全成为产业共识。近年来动力电池安全标准体系不断丰富和完善,当前实行的GB 38031-2020标准对动力电池系统提出了更多维度、更严格的测试要求。
图表6:动力电池安全标准测试逐渐趋严
资料来源:《我国动力电池安全标准发展历程及展望》,中国汽车技术研究中心,中金公司研究部
随着高镍三元正极材料在动力电池中应用,我们认为未来动力电池安全性将被予以更高的重视程度。
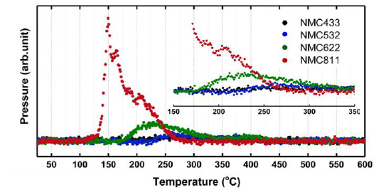
► 三元正极材料中镍含量上升意味着电池热稳定变差,会面临更严峻的安全性风险挑战。正极的相变、释氧、与溶剂副反应对应着锂电池热失控模型的中后阶段,因此正极材料是决定锂电池本征安全性的重要一环。高镍三元正极材料随镍含量升高热分解起始温度逐渐降低,且中间相不稳定,安全性更差。
► 生产商需要在保证电池安全性的前提下实现更高能量密度。通过增加三元正极材料镍含量是提升电池能量密度和新能源车续航里程的重要技术手段,但正如前文中所讨论的,这将建立在更高安全风险的代价上。因此,随着高镍的应用推广,在电池材料体系、电芯和电池包结构设计上需要配套开发新型解决方案。
图表7:在高温下高镍材料更容易分解释氧
资料来源: Structural Changes and Thermal Stability of Charged LiNixMnyCozO2 Cathode Materials Studied by Combined In Situ Time-Resolved XRD and Mass Spectroscopy,中金公司研究部
图表8:高镍材料发生相变时的温度更低

资料来源: Structural Changes and Thermal Stability of Charged LiNixMnyCozO2 Cathode Materials Studied by Combined In Situ Time-Resolved XRD and Mass Spectroscopy,中金公司研究部
高镍安全应对之策:电芯材料与PACK系统协同进步
电芯材料体系升级致力于解决电池本征安全性
我们认为电解液体系改性有助于提升高镍安全性
高安全性电解液设计思路包括溶剂改性、锂盐改性、阻燃添加剂:1.溶剂改性,常用溶剂具有高活性、高挥发性和易燃性,溶剂改性主要通过降低溶剂挥发性和可燃性;2.锂盐改性,商业化锂盐LiPF6受热易分解且对痕量水敏感,锂盐改性主要通过提高其热稳定性或寻找综合性能更优新型锂盐;3.高安全性添加剂使用,直接起到安全保护作用,主要包括阻燃添加剂和过充保护添加剂两种。
图表9:锂电池电解液构成

资料来源: Structural Changes and Thermal Stability of Charged LiNixMnyCozO2 Cathode Materials Studied by Combined In Situ Time-Resolved XRD and Mass Spectroscopy,中金公司研究部
高镍安全应对之策:电芯材料与PACK系统协同进步
电芯材料体系升级致力于解决电池本征安全性
我们认为电解液体系改性有助于提升高镍安全性
高安全性电解液设计思路包括溶剂改性、锂盐改性、阻燃添加剂:1.溶剂改性,常用溶剂具有高活性、高挥发性和易燃性,溶剂改性主要通过降低溶剂挥发性和可燃性;2.锂盐改性,商业化锂盐LiPF6受热易分解且对痕量水敏感,锂盐改性主要通过提高其热稳定性或寻找综合性能更优新型锂盐;3.高安全性添加剂使用,直接起到安全保护作用,主要包括阻燃添加剂和过充保护添加剂两种。
图表9:锂电池电解液构成
资料来源:康鹏科技招股说明书,中金公司研究部;
降低溶剂可燃性、挥发性和抑制溶剂分解为溶剂改性方向。环状碳酸酯作为常用溶剂,具有较高介电常数,能提高电池电导率。但环状碳酸酯存在高熔点、高黏度问题,一般辅以链状碳酸酯提高流动性并拓宽电池工作温度。然而,链状碳酸酯在强放热状态下易燃烧、分解,碳酸酯类溶剂存在易挥发特点,对电池安全造成较大影响。目前对溶剂改性研究主要针对以上问题,从降低溶剂可燃性、挥发性和抑制溶剂分解几方面展开,主要涉及到离子液体和氟代溶剂的使用。其中,氟代溶剂是目前研究较为深入一类有机溶剂,比如氟代碳酸乙烯酯(FEC)已商业化应用,作为共溶剂可大大降低电解液可燃性,并具有黏度低、能形成稳定SEI膜优点。
图表10:常见有机溶剂及其物理性质
资料来源:《高安全型锂离子电池电解液》,中金公司研究部;
新型锂盐有助于提升高低温性能。LiPF6是现今锂电池最广泛使用锂盐,优势在于常温循环性能好、电化学窗口宽、无毒、成本相对低廉。但在高电压、高倍率、电池滥用情况下,LiPF6受热易分解,生成PF5与碳酸酯类溶剂反应生成CO2,同时破坏SEI膜,损害电池循环性能和使用寿命;并且PF5还会与溶剂中痕量水反应生成剧毒POF3、HF。目前高安全性锂盐使用主要通过对LiPF6改性以及寻找综合性能更优新型锂盐实现。
LiFSI是产业化进程最快的新型锂盐,相比LiPF6,LiFSI混合电解液的阻抗更低、离子电导率更高,在遇到特殊情况下产生的热量较少,不容易产生爆炸;添加有LiFSI 的电解液热稳定性更强,倍率性能优,同时抑制产气,可以减弱在高温条件下发生化学反应的强度,显著改善电池的安全性能,从而提升新能源电动汽车整体安全性能。
图表11:常用锂盐及其物理、电化学性质
资料来源:《高安全型锂离子电池电解液》,中金公司研究部;
目前电解液阻燃剂大致分为含磷阻燃剂、含氟阻燃剂、含氮阻燃剂和复合阻燃剂。常用的磷系阻燃剂主要是通过自由基捕获机制来达到阻燃的目的,通常磷系阻燃剂沸点较低,在受热时由液态转变为气态,随着分解产生磷自由基,捕获电解液燃烧过程中产生的氢自由基,从而阻断燃烧的链式反应。含氮和含氟阻燃剂属于物理阻燃,主要通过添加剂自身的低挥发性和热稳定性来稀释电解液可燃成分。
图表12:常用阻燃添加剂分类及其特点
资料来源:《高安全型锂离子电池电解液》,中金公司研究部;
固态电解质是实现本征安全重要路径
固态电解质材料热稳定性好、不易燃烧且固态电池无电解液泄露风险,具有更好的安全性。通过合理的固态电解质组合,可以保障固态电池运行中电解质与高能量电极更稳定的匹配,避免电极出现分解、析氧、枝晶生长等威胁电池安全的因素。此外在滥用条件下,由于固态电解质不易燃烧与爆炸,其热稳定性优于传统电池的隔膜与电解液材料,因此电池整体安全性更佳。
固态电解质是固态电池的核心材料,其综合性质决定电池发展的技术路线。按照化学组成分类,主流固态电解质材料大致可分为聚合物、氧化物、硫化物三类。三类电解质在材料基础性能层面有很大差异。一般而言,固态电池技术路线是选择三类电解质中任意一种作为基础的核心电解质,以优势互补的方式配合其他固态电解质或液态电解液作为补充,最终组装成为全固态/准固态电池。
图表13:不同电池体系热失控温度
资料来源:Approaching Practically Accessible Solid-State Batteries: Stability Issues Related to Solid Electrolytes and Interfaces,中金公司研究部;
从材料基础性能看:无机固态电解质潜力相对更大
室温离子电导率(影响倍率性能)、锂离子迁移数(影响倍率性能)、机械强度(影响能量密度)和电化学窗口(影响能量密度)等参数是衡量电解质材料基础性能的关键指标。固态电解质的这些指标将影响全固态电池性能,也决定了该材料体系最终的开发潜力:
► 聚合物电解质:在以上指标中全面落后于其他无机类固态电解质(氧化物、硫化物),这些缺点将导致基于聚合物电解质的全固态电池目前只能高温条件下运行,且倍率性能、能量密度均受限,一定程度上影响了电池的开发潜力。为缓解这一弱势,聚合物电解质将与液态电解液相配合组成准固态电池或与氧化物固态电解质配合组成全固态电池使用。
► 氧化物电解质:在固态电解质材料中属于基础性能全面且优秀的材料,兼顾了稳定性和电导率,开发潜力很大。与传统液态电解液对比,其主要劣势为离子电导率,相差约5-10倍。
► 硫化物电解质:其护城河是比肩甚至超越液态电解液的超高离子电导率(10-3-10-2 S cm-1),为电池宽温度下运行以及高倍率性能提供了保障,同样具有很大的开发价值。目前丰田已在实验室中实现了全固态锂离子电池1500 C倍率充放电。
图表14:不同固态电解质电导率和活化能差异
资料来源:Approaching Practically Accessible Solid-State Batteries: Stability Issues Related to Solid Electrolytes and Interfaces,中金公司研究部
图表15:不同固态电解质机械强度

资料来源:Approaching Practically Accessible Solid-State Batteries: Stability Issues Related to Solid Electrolytes and Interfaces,中金公司研究部
从电池制造工艺难度看:聚合物易、氧化物难。由于固态电解质在固态电池中将代替隔膜,起到分离正负极的作用,电解质的成膜性将至关重要,一定程度上决定了固态电池制造工艺的难度。聚合物电解质成膜性好,固态电池与传统液态锂离子电池工艺兼容性佳;氧化物电解质韧性差,全固态电池组装难度大、界面问题复杂且困难,目前多以准固态电池形式出现;硫化物电解质机械强度适中,固态电池设计难度介于氧化物与聚合物之间。
► 聚合物电解质:聚合物固态电解质的制备基于凝胶涂布方法,与传统锂离子电池成熟的浆料涂布类似,生产工艺兼容性好、易于规模化制备,且生产出的电解质成膜性好、成本低,有利于从液态电解液逐步降低液含量并过渡到全固态电池。
► 氧化物电解质:纯氧化物全固态电池设计难点源于电解质力学强度大且韧性差。受此影响,氧化物固态电池高度依赖隔膜并多以准固态电池形式出现。过渡至全固态电池中将面临薄层且致密的电解质层的制备、良好的电解质/电极界面接触等一系列难题,电池组装难度大,需要特殊工艺的开发。
► 硫化物电解质:一般认为,硫化物固态电池将一步到位,成为全固态电池形态。硫化物基全固态电池虽然没有成熟生产工艺与之匹配,但电解质材料拥有合理的机械强度,电解质粉末仅通过冷压就可以发挥功能。这不仅有利于制备成薄且强度好的电解质层,在与锂金属负极搭配时可以降低面电阻;还方便与现有锂离子电池正极相匹配,易于构造高性能固态电池。
图表16:固态电池理想生产过程

资料来源:Approaching Practically Accessible Solid-State Batteries: Stability Issues Related to Solid Electrolytes and Interfaces,中金公司研究部
从电池制造工艺难度看:聚合物易、氧化物难。由于固态电解质在固态电池中将代替隔膜,起到分离正负极的作用,电解质的成膜性将至关重要,一定程度上决定了固态电池制造工艺的难度。聚合物电解质成膜性好,固态电池与传统液态锂离子电池工艺兼容性佳;氧化物电解质韧性差,全固态电池组装难度大、界面问题复杂且困难,目前多以准固态电池形式出现;硫化物电解质机械强度适中,固态电池设计难度介于氧化物与聚合物之间。
► 聚合物电解质:聚合物固态电解质的制备基于凝胶涂布方法,与传统锂离子电池成熟的浆料涂布类似,生产工艺兼容性好、易于规模化制备,且生产出的电解质成膜性好、成本低,有利于从液态电解液逐步降低液含量并过渡到全固态电池。
► 氧化物电解质:纯氧化物全固态电池设计难点源于电解质力学强度大且韧性差。受此影响,氧化物固态电池高度依赖隔膜并多以准固态电池形式出现。过渡至全固态电池中将面临薄层且致密的电解质层的制备、良好的电解质/电极界面接触等一系列难题,电池组装难度大,需要特殊工艺的开发。
► 硫化物电解质:一般认为,硫化物固态电池将一步到位,成为全固态电池形态。硫化物基全固态电池虽然没有成熟生产工艺与之匹配,但电解质材料拥有合理的机械强度,电解质粉末仅通过冷压就可以发挥功能。这不仅有利于制备成薄且强度好的电解质层,在与锂金属负极搭配时可以降低面电阻;还方便与现有锂离子电池正极相匹配,易于构造高性能固态电池。
图表16:固态电池理想生产过程
资料来源:From nanoscale interface characterization to sustainable energy storage using all-solid-state batteries,中金公司研究部;
总体而言:聚合物固态电池工艺难度最低,最终的全固态电池潜力相对小;氧化物固态电池开发半固态难度不大,但后续进阶全固态电池虽潜力巨大,但难度高,研发可能长期处于半固态电池阶段;硫化物固态电池无半固态电池路线,全固态电池潜力大,高温倍率性能优秀。
固态电解质材料基础性质决定了固态电池发展路线。目前主流固态电解质种类为聚合物、氧化物、硫化物三类,配合液态电解液构成固液共混的准固态电池大致有5种技术路线。我们认为不同的固态电池技术路线在技术实现手段、技术成熟度有很大的不同,由此带来的降本路径、应用难度也有较大差别,一般而言:
► 从技术实现手段看:准固态电池、聚合物全固态电池与传统锂离子电池工艺更兼容,氧化物、硫化物全固态体系则兼容性差。准固态电池体系很大可能将采用氧化物修饰的隔膜配合原位固化技术来实现,其正负极制备、电池制造工艺与传统锂离子电池非常接近;聚合物全固态电池则采用类似隔膜的聚合物电解质膜,由于此电解质膜具有和传统隔膜相似的柔性,因而与传统锂离子电池工艺兼容性较好;氧化物和硫化物全固态电池则由于无机电解质刚性界面的存在,需要特殊工艺以克服此界面阻抗带来的影响,故而生产工艺与现有电池差异较大。
► 从性能潜力看:硫化物、氧化物潜力高,聚合物全固态和准固态体系潜力稍弱。聚合物电解质目前受限于其材料性能,低温(室温)能力、倍率性能目前较差,且安全性、能力密度潜力逊于其他无机全固态电池;准固态体系则一定程度上仍存在传统液态锂电池的缺点,因而相较“全”固态电池而言仍有劣势;无机硫化物、氧化物全固态电池则是锂电池的彻底革新,凭借其安全性方面的优势,PACK能量密度有望进一步提升。
► 从技术成熟度看:聚合物全固态或准固态体系相较更为成熟,硫化物、氧化物全固态电池难度高。在聚合物全固态电池体系中,2011年法国Bollore公司就已开发完成以聚氧化乙烯(PEO)为电解质、磷酸铁锂和锂金属为电极的固态电池系统;准固态体系可引入原位固化技术,使其与传统锂离子电池工艺可能接近,降低开发难度;在纯氧化物电池体系中,目前仅薄膜电池实现了较好性能(代表为Sakti3和Infinite Power Solution公司),但薄膜电池受限于半导体的沉积工艺,难以应用于动力电池领域,Quantumscape正在开发另一种堆叠式固态电池,但目前堆叠层数仅为4层,仍处于实验室阶段。硫化物全固态电池则面临原材料气氛敏感,需要外部高压力,工艺与传统锂电不兼容等问题,目前丰田、三星等企业均在实验室阶段。
图表17:固态电池材料及开发难度总结

资料来源:Approaching Practically Accessible Solid-State Batteries: Stability Issues Related to Solid Electrolytes and Interfaces,中金公司研究部;
图表18:企业固态电池技术路线总结

资料来源:公司公告,中金公司研究部;
PET镀膜集流体为重要研究方向
PET镀膜是一种新型动力电池集流体材料,具备复合箔材结构。PET铜箔中间层为聚对苯二甲酸乙二酯(PET)导电薄膜,导电薄膜的两侧为厚度1-2μm的金属镀层。其制备步骤至少包括蒸镀第一/第二/第三金属层、复合第一/第二/第三薄膜、蚀刻、辊压等,工序复杂程度高于传统锂电箔材。
图表19:PET电镀铜箔制备工艺

资料来源:Approaching Practically Accessible Solid-State Batteries: Stability Issues Related to Solid Electrolytes and Interfaces,中金公司研究部;
图表18:企业固态电池技术路线总结

资料来源:公司公告,中金公司研究部;
PET镀膜集流体为重要研究方向
PET镀膜是一种新型动力电池集流体材料,具备复合箔材结构。PET铜箔中间层为聚对苯二甲酸乙二酯(PET)导电薄膜,导电薄膜的两侧为厚度1-2μm的金属镀层。其制备步骤至少包括蒸镀第一/第二/第三金属层、复合第一/第二/第三薄膜、蚀刻、辊压等,工序复杂程度高于传统锂电箔材。
图表19:PET电镀铜箔制备工艺
资料来源:《一种导电薄膜的制备方法及锂离子电池》,中金公司研究部
PET电镀关键制备步骤对行业技术具有较高要求。PET镀膜的制造难点在于有机高分子和无机金属的紧密复合,其关键工艺主要分为两步,第一步采用物理气相沉积法在PET表面溅射一层金属,第二步再采用离子置换(与传统电镀技术具有相通性)增厚表面金属层。以上两关键步骤对溅射工艺参数和镀液均有较高质量要求。在溅射环节,设备设计及制造技术、工艺技术和控制技术会显著影响成膜速率和薄膜结合力。而在镀铜环节,镀液温度、PH、浓度等反应条件都会对镀铜增重率以及镀铜样品表面形貌产生较大影响。
相对于传统金属箔,PET电镀箔材由于其结构性质可以提供更好的安全性保障,在安全测试结果中也有更好的表现。
► 复合箔材中塑料隔膜层有助于提高电池的燃烧安全性。电池充放电使用过程中,负极材料体积随之变化。传统锂电箔材会不断拉伸收缩,正负极材料可能脱落引起容量降低,性能下降,电阻增加,产热增加等安全隐患。此外,电池由于枝晶生长、外力等原因受损引起热失控后,也存在电池爆燃的安全风险。而当电池发生热失控时,复合箔材的塑料隔膜层可在电路热失控时产生较大的电阻,降低电池燃烧起火的风险。
图表20:发生热失控时,PET层可以在电路中提供电阻
资料来源:Low Resistance Flexible Current Collector for Lithium Secondary Battery,中金公司研究部
► 复合箔材的阻燃结构设置也可降低电池燃烧的安全隐患。部分复合箔材可通过填充阻燃剂形成阻燃层,并在其上使用改性石蜡密封。当温度到达改性石蜡的软化点(约80℃)时,石蜡从孔洞中融化,阻燃剂可从孔洞中释放出来,防止电池因温度过高而燃烧。
隔膜涂覆有助于降低热失控概率
隔膜在锂电池中主要起到安全性保障和提供导通离子的微孔通道作用。
► 安全性方面,隔膜材料必须具备良好绝缘性,以防止正负极接触短路或是被毛刺、颗粒、枝晶刺穿而出现短路,因此隔膜需具有一定拉伸、穿刺强度,不易撕裂,并在突发高温条件下保持尺寸稳定,不会融缩导致电池大面积短路和热失控。
► 导通离子方面,隔膜需具备较高孔隙率而且微孔分布均匀,同时需要对电解液有良好的润湿性,能够吸收并保留适量电解液在隔膜孔隙结构中,以实现锂离子迁移和正常工作,避免电极极化发生。
基膜方面目前已商品化的制造隔膜主流材料是聚丙烯微孔膜和聚乙烯微孔膜,发展中材料如无纺布-陶瓷颗粒复合膜,研发中材料如聚酰亚胺(PI)等。动力锂离子电池热失控变化过程中,隔膜将经历闭孔和熔断的两个阶段。随着温度的升高,隔膜会先闭孔;当温度继续升高时,隔膜发生熔断,失去分隔正负极的功能,导致正负极接触,造成内部短路。不同隔膜的闭孔和熔断特性不同,如聚乙烯(PE)隔膜开始熔化的温度为130~140℃,聚丙烯(PP)隔膜则为160~170℃。从隔膜设计角度提高电池的安全性,主要有以下思路:
► 设计具有热诱导阻断特性的隔膜。如热“智能”电纺丝隔膜,电纺丝纤维由TPP内核和热敏感的偏氟乙烯-六氟丙烯共聚物(PVDF-HFP)外壳组成,锂离子电池正常运行时,TPP不会对电池的循环性能造成影响,但当电池过热时,PVDF-HFP外壳融化破碎,释放出TPP阻燃剂,捕捉燃烧自由基,从而阻止锂离子电池热失控燃烧爆炸。
► 与无机涂层复合制备高热稳定的复合隔膜。如使用二氧化硅(SiO2)、二氧化钛(TiO2)、氧化铝(Al2O3)等陶瓷纳米颗粒对隔膜进行表面涂覆,不仅使隔膜的强度、润湿性得到提高,还改善了耐热性能,提高了隔膜使用的安全性。
► 设计具有阻燃特性的隔膜。以商业化PP/PE/PP三层结构隔膜为例,中间PE层为保护层。当电池内部温度升高到临界温度以上时,多孔PE层部分融化,封闭膜孔,阻止Li+在电解液中的迁移,PP层提供机械支持,以避免内部短路。也可以使用热响应PE或石蜡微球作为电池负极/隔膜的保护层,实现热诱导阻断特性。当电池内部温度达到一个临界值时,微球熔化并在负极/隔膜上形成阻断屏障,让电池终止工作,停止继续产热。
图表21:锂电隔膜的性能要求及几种商品膜性能参数

资料来源:Celgard,理化所,中金公司研究部;
图表22:热“智能”静电纺丝隔膜工作原理

资料来源:Celgard,理化所,中金公司研究部;
图表22:热“智能”静电纺丝隔膜工作原理
资料来源:Xu Gaojie, etc. “Research progress of high safety flame retardant electrolytes for lithium-ion batteries” 2018,中金公司研究部;
电池PACK多维构筑高镍安全性防线
电池组内的热失控蔓延是安全问题的主要关注点。目前动力电池包通过较多小容量电芯进行串并联成组,以满足高能量的要求。考虑电池组热失控问题,主要从两个维度解决:1)电芯单体热失控问题;2)单体热失控后向其他成组电池热传导问题。
电芯结构:圆柱和方形安全性占优,4680大圆柱进一步抬高安全阈值
目前电芯主流的封装工艺为方形、圆柱和软包,由于高镍在充放电过程产气较严重、热稳定性较差,我们认为圆柱和方形是较为适配高镍的封装工艺:
► 圆柱:圆柱在抑制热失控上有天然优势:1)圆柱电池单体容量较小,单个电池热失控释放能量低,相较于方形和软包不易引起热失控蔓延;2)圆柱单体电池接触为线接触,热传导较慢,且具备弧形表面,天然预留散热空隙,而方形、软包是面接触、接触面积较大,散热空间小,一旦单体电池发生热失控易蔓延至电池组。
► 方形:方形虽然接触面积大、不利于阻隔热扩散,但可通过定向排气设计和隔热阻燃材料的应用降低热失控的风险。
圆柱从21700到4680,高镍安全性再升级。特斯拉4680大圆柱通过全极耳的设计获得更高的安全性:1) 减少内阻生热。在电池工作中,内阻的存在会降低输出功率,降低充放电速率,产生的欧姆热容易引发电池热失控。而极耳接触面积越大,极耳间距越短,内阻越小,电池热失控概率越小。4680全极耳电池把整个正/负极集流体都变成极耳,通过集流体与电池壳体或集流盘的全面积连接,大幅降低电池内阻,减少欧姆热的产生。2) 增加散热通道。圆柱电池散热为轴向居多,热量从极耳出散出,传统圆柱电池如21700只有两个极耳,热量传输通道窄,因此散热效果不好,4680电池极耳面积增加,热量传输通道宽阔,改善了散热效果,增强了电池的热稳定性。
图表23:LG M50圆柱形电池不同极耳下放电一分钟后电池升温情况
资料来源:Shen Li, etc. “Optimal cell tab design and cooling strategy for cylindrical lithium-ion batteries” 2020,中金公司研究部
车企和电池厂加速圆柱布局。特斯拉自创立以来坚持圆柱路线,在高镍的趋势下,部分车企逐步转向圆柱路线,宝马、奔驰、Lucid、Rivian等规划或推出搭载圆柱电池的车型;同时,头部和二线电池厂商也纷纷加码圆柱电池布局,除松下外,LG Chem、三星SDI、宁德时代、亿纬锂能等也相应开展4680大圆柱的研发。我们认为伴随大圆柱的推广应用,将支撑高镍路线的长足发展。
泄压阀:高性能防水透气阀应用为高镍安全性加固
防水透气阀是安装于动力电池包上安全部件,保障电池稳定、可靠运行。常规的防水透气阀具备防水、透气、防油、防灰等功能,以预防电车在使用中受雨水、粉尘、异物等影响而破坏电池系统稳定性;同时,借助阀体的透气膜材,可使电池包内外的气体自由穿梭进行气压补偿,从而时刻保持电池包内外部压力平衡。
面向高镍应用的防水透气阀增加了定向快速爆破功能。针对高镍的产气特性,在常规防水透气阀基础上开发出具备定向快速泄压功能的防爆阀,在电池包正常工作时起常规防水透气作用,而当电池包内部发生热失控或热扩散,释放大量气体致电池包内部压力快速升高时,阀体的隔膜爆破(顶针式结构)或开启(弹簧压力型/膜材弹性扩张型),快速定向打开泄压通道,防止电池包因压力过大而发生爆炸。
图表24:防水透气阀工作原理
资料来源:王敏慧等《动力电池防水透气阀技术》2021,中金公司研究部
防凝露设计进一步加固高镍电池系统的安全性。凝露是防水透气阀应用的难点问题,阀体的透气膜可有效阻隔液体、但无法防止水汽分子进入,尤其针对高镍电池包,通常配置液冷板对电池冷却,由于冷却液/冷媒温度较低,水汽将在液冷板上凝结成水滴,对电池包用电安全构成隐患。常规解决方案在电池包内设置干燥盒,但效果有限,且需定期更换提高了维护成本,研发可消除水汽的防爆阀是加固高镍电池包安全性的重要发展方向。目前汇亚微透研发产品ePTFE膜-CMD泄压阀,兼具气压平能、干燥与快速泄压等多重功能,受到德国戴姆勒集团认可,并通过宁德时代(CATL)最终应用于奔驰商务车EQV。
热管理:电池包液冷技术成熟应用和推广对高镍发展形成支撑
目前常见的电池包热管理方案包括空气散热、液冷散热和相变散热三类:
► 空冷式散热:空冷技术最为简单,通过空气流经电池表面带走电池包热量,达到对电池包冷却的目的,常见的空冷方式包括自然冷却和强制风冷(配备风扇);空冷系统结构比较简单,技术相对成熟,成本较低,但散热效果较差。
► 液冷式散热:液冷方式利用制冷剂直接或间接接触动力电池,通过液体的循环流动将电池包内的热量带走,达到电池包冷却的目的。制冷剂通常为水+乙二醇或者R134a/R1234yf冷媒,后者冷却效果更佳;液冷的冷却结构设计较复杂,且对冷却液/冷媒防泄漏以及电池单体温度均匀性要求较高。
► 相变式散热:相变散热以相变材料作为传热介质,利用相变材料在发生相变时储能和放能的特性达到对电池包加热或冷却的效果;但相变的热导率偏低,需要对相变材料做改性处理或者结合其他冷却方式一起应用。
液冷技术的成熟应用和推广为高镍发展提供支撑。早期新能源车以空冷式散热为主,典型代表如日产Leaf、起亚Soul等,由于带电量低、发热量小,空冷可满足需求;但随着长续航带电量提升带来更高的散热需求,以及国标将电池包防护等级提升至IP67,电池包热管理方案逐步由空冷切换成液冷,特斯拉率先在Model S上采用液冷技术,在其示范效应下,主流车企宝马、大众、通用、蔚来等均采用液冷方案。液冷技术凭借换热系数高、速率快、均温性好、温控精准等优势,能较好地解决高镍应用带来的散热问题,支撑三元技术向高镍迭代。
电池包液冷技术的核心是液冷板,电芯级布局散热效果更佳。液冷板是内部设有液流通道的板式散热器,通过冷却液在液流通道中的循环流动,将热量从液冷板表面带走从而对环境进行冷却;其技术核心在于:1)散热功率大,能快速导出电池包的多余热量;2)密封性好,避免冷却液泄漏,多采用钎焊工艺;3)冷却回路设计精准,保障电芯单体温度均匀性;4)重量轻,通常为铝制材料。从作用方式上,可划分为电芯级液冷板和模组及液冷板:
► 模组级别液冷板:液冷板作为整体作用在一个或多个电池模组上,目前主流布局设置在电池包底部、作用于电池模组底面,典型代表如大众MEB、奥迪、通用、奔驰等车型;这种方案冷却结构设计简单,成本低,但散热效果及单体温度均匀性一般。
► 电芯级液冷板:将液冷板设置在电芯之间,如特斯拉全系采用蛇形管的液冷板设计,作用于圆柱电芯侧面;这种方案散热效果较好,且有利于保障单体温度均匀性,但冷却结构设计较复杂、成本偏高。
图表25:大众MEB和特斯拉的液冷方案
资料来源:公司官网,中金公司研究部
隔热材料:变革不断推进,陶瓷化硅橡胶为可行的高效替代方案
在电池能量密度提升和高电压平台背景下,电池隔热阻燃的安全需求日益突出。新能源汽车的电池系统由数个单体电芯构成,在为汽车供能时会产生一定的热量,如果不能及时散热,就会影响动力电池的功能和寿命,甚至出现热失控,导致起火爆炸;此外,电芯在充放电过程中会反复产生微小形变,使得电池包相互摩擦,容易造成电芯磨损,埋下事故隐患。因此,隔热材料在电芯中起到两方面的重要作用:1)有效减少电芯磨损,起到缓冲保护作用;2)在电芯热失控时,能够及时阻隔热量,抑制热扩散,延缓事故发生,增加逃生时间。除电芯外,隔热材料也可用于顶板/侧板,起到防火和抗冲击的作用。
图表26:相邻电芯增加阻燃材料能防止电芯连续热失控,避免引燃相邻模组

资料来源:焦红星《电池热失控防护方案仿真分析》2021,中金公司研究部
随着全球新能源车销量及安全性要求的提升,电池隔热材料市场空间广阔。假设用于电芯的隔热材料用量为7.5kg/车,用于电池组顶板/侧板的隔热材料用量为2.5kg/车,隔热材料单价为100元/kg,根据我们的测算,2021-2025年全球电池隔热材料市场空间约为700亿元,2021-2025CAGR约为41%。
图表27:全球电池隔热材料市场空间测算

资料来源:GGII,CIAPS,中金公司研究部
电池隔热材料变革进程不断推进,陶瓷化硅橡胶为可行的高效替代方案。目前常用的动力电池保温隔热材料有隔热泡棉、SiO2气凝胶、云母板、陶瓷化硅橡胶等。
隔热泡棉:隔热泡棉是一种高分子弹性体,具有质轻、软、抗冲击、隔热等优良特性,可吸收电池充放电时的鼓胀应力,在电池模组与壳体之间起到隔热阻燃防震的作用。但其基于聚合物材料本身的特性,使得部分隔热泡棉材料存在高温软化变形和燃烧释放有毒气体等不足,且高端泡棉多依赖进口。隔热泡棉的种类包括PU(聚氨酯)、CR(氯丁橡胶)、EVA(乙烯-醋酸乙烯共聚物)、PE(聚乙烯)和硅胶泡棉等。在电池系统实际的应用过程中,只有能够在长时间压缩环境下还能够保持足够弹性恢复能力的泡棉,如PU适合用于软包电芯之间的阻燃隔热,其他比如CR等在长时间压缩后恢复能力变差易导致模组结构出现散架的情况。
东风岚图FERR车型采用高分子阻燃材料用于电芯间的粘接密封,我们从公司专利推断岚图可能采用的高分子材料就是阻燃PU胶,把每个电芯进行单独的全方位三维立体包裹。热失控试验触发后5分钟,电池包系统未出现冒烟、起火、爆炸现象,拆开外壳后,仅试验电芯受损,周围电芯未受到波及,试验后的电池包静置50天后仍可维持“不冒烟、不起火、不爆炸”状态。
图表28:电池隔热泡棉示意图

资料来源:第一电动,中金公司研究部
图表29:岚图采用PU阻燃材料构筑“三维隔热墙”

资料来源:焦红星《电池热失控防护方案仿真分析》2021,中金公司研究部
随着全球新能源车销量及安全性要求的提升,电池隔热材料市场空间广阔。假设用于电芯的隔热材料用量为7.5kg/车,用于电池组顶板/侧板的隔热材料用量为2.5kg/车,隔热材料单价为100元/kg,根据我们的测算,2021-2025年全球电池隔热材料市场空间约为700亿元,2021-2025CAGR约为41%。
图表27:全球电池隔热材料市场空间测算

资料来源:GGII,CIAPS,中金公司研究部
电池隔热材料变革进程不断推进,陶瓷化硅橡胶为可行的高效替代方案。目前常用的动力电池保温隔热材料有隔热泡棉、SiO2气凝胶、云母板、陶瓷化硅橡胶等。
隔热泡棉:隔热泡棉是一种高分子弹性体,具有质轻、软、抗冲击、隔热等优良特性,可吸收电池充放电时的鼓胀应力,在电池模组与壳体之间起到隔热阻燃防震的作用。但其基于聚合物材料本身的特性,使得部分隔热泡棉材料存在高温软化变形和燃烧释放有毒气体等不足,且高端泡棉多依赖进口。隔热泡棉的种类包括PU(聚氨酯)、CR(氯丁橡胶)、EVA(乙烯-醋酸乙烯共聚物)、PE(聚乙烯)和硅胶泡棉等。在电池系统实际的应用过程中,只有能够在长时间压缩环境下还能够保持足够弹性恢复能力的泡棉,如PU适合用于软包电芯之间的阻燃隔热,其他比如CR等在长时间压缩后恢复能力变差易导致模组结构出现散架的情况。
东风岚图FERR车型采用高分子阻燃材料用于电芯间的粘接密封,我们从公司专利推断岚图可能采用的高分子材料就是阻燃PU胶,把每个电芯进行单独的全方位三维立体包裹。热失控试验触发后5分钟,电池包系统未出现冒烟、起火、爆炸现象,拆开外壳后,仅试验电芯受损,周围电芯未受到波及,试验后的电池包静置50天后仍可维持“不冒烟、不起火、不爆炸”状态。
图表28:电池隔热泡棉示意图

资料来源:第一电动,中金公司研究部
图表29:岚图采用PU阻燃材料构筑“三维隔热墙”
资料来源:东风汽车官网,中金公司研究部
气凝胶:气凝胶是由胶体粒子相互聚结形成纳米多孔网络结构,并在孔隙中充满气态分散介质的一种高分散固态材料。SiO2气凝胶平均孔径尺寸50 nm,低于空气分子的平均自由程,能有效抑制空气热对流传热。SiO2气凝胶隔热片较普通隔热泡棉导热系数更低,只需1/5-1/3的厚度即可达到相同的隔热效果,为动力电池节省更多空间,并且保温效果更佳。然而SiO2气凝胶在高温下气凝胶孔结构容易发生坍塌,材料趋于致密,导致高温环境下热导率增幅较大,耐热温度仅为800℃,有氧环境下长期使用温度不超过650℃,限制了SiO2气凝胶在高温领域的应用。
图表30:SiO2气凝胶材料的样品图和微观形貌图
资料来源:锁浩《耐高温气凝胶隔热材料研究进展》,2019,中金公司研究部
图表31:气凝胶隔热性能是传统保温材料的3~5倍

资料来源:公众号《材料十》,中金公司研究部
硬质云母板:硬质云母板是由云母纸与高性能有机硅树脂经粘合、高温压制而成的硬质板状绝缘材料,其中云母含量约为90%,有机硅树脂含量约为10%。相对于一般绝缘材料,硬质云母板具有优异的耐高温、绝缘性能,在温度500-1000℃的使用环境下,击穿电压仍保持15kV/mm;化学性质稳定,耐酸碱、耐老化性能优异;同时不含有毒有害成分,高温下不产生有毒气体。高合HiPhi X动力电池的每一个模组间采用云母板隔热片,整个模组上部还铺有整块云母隔热板,相当于给电池组穿上一件隔热防火衣,能有效遏制电池组发生大面积燃烧。
图表32:高合HiPhi X采用云母板作为电池防火衣

资料来源:公众号《材料十》,中金公司研究部
硬质云母板:硬质云母板是由云母纸与高性能有机硅树脂经粘合、高温压制而成的硬质板状绝缘材料,其中云母含量约为90%,有机硅树脂含量约为10%。相对于一般绝缘材料,硬质云母板具有优异的耐高温、绝缘性能,在温度500-1000℃的使用环境下,击穿电压仍保持15kV/mm;化学性质稳定,耐酸碱、耐老化性能优异;同时不含有毒有害成分,高温下不产生有毒气体。高合HiPhi X动力电池的每一个模组间采用云母板隔热片,整个模组上部还铺有整块云母隔热板,相当于给电池组穿上一件隔热防火衣,能有效遏制电池组发生大面积燃烧。
图表32:高合HiPhi X采用云母板作为电池防火衣
资料来源:汽车测试网,中金公司研究部
陶瓷化硅橡胶:阻燃效果突出,颇具潜力的新型隔热材料。陶瓷化硅橡胶是以硅橡胶为基体,加入成瓷填料、助熔剂、补强剂等无机填料,经过硫化制成的硅橡胶基防火复合材料。其中成瓷填料是发生陶瓷化反应的主要原料,助熔剂是在高温时首先融化并连接填料的辅助材料,补强剂和硫化剂能够增强硅橡胶基底强度和力学性能。若陶瓷化硅橡胶遇到高温或明火,当温度升高到助熔剂的熔融温度时,助熔剂熔融形成液相物质,在硅橡胶分解残余物(无定型的SiO2粉末)和成瓷填料之间形成一种“桥接”结构,使各部分结合成为耐火、绝缘且具有自支撑性的类陶瓷体,阻止火焰蔓延。
陶瓷化硅橡胶作为一种新型的防火阻燃材料,在阻燃、力学性能、制备工艺等方面具有诸多不同于传统阻燃材料的优良特性,我们看好其在电池隔热领域的加速渗透。
图表33:陶瓷化硅橡胶构成
资料来源:唐红川《陶瓷化硅橡胶研究进展》2019,中金公司研究部
图表34:陶瓷化硅橡胶成瓷机理

资料来源:唐红川《陶瓷化硅橡胶研究进展》2019,中金公司研究部
图表35:陶瓷化硅橡胶烧结后形成自支撑的陶瓷体

资料来源:谢忠麟《陶瓷化硅橡胶》2013,中金公司研究部
图表36:陶瓷化硅橡胶的优势

资料来源:唐红川《陶瓷化硅橡胶研究进展》2019,中金公司研究部
图表35:陶瓷化硅橡胶烧结后形成自支撑的陶瓷体

资料来源:谢忠麟《陶瓷化硅橡胶》2013,中金公司研究部
图表36:陶瓷化硅橡胶的优势
资料来源:唐红川《陶瓷化硅橡胶研究进展》2019,中金公司研究部
综上,新能源汽车的电池组通常是固定放置于金属壳体内,然后使用云母板或气凝胶对电池组中的电池进行隔离防护。由于云母板的密度较大,并且是刚性材料不易变形,很难做到与电池的充分贴合;而气凝胶成本昂贵,并且耐不住热失控时电池爆炸产生的高温。陶瓷化硅橡胶作为新型的防火阻燃材料,其诸多特性契合电池阻燃绝缘需求,对比前两大材料,其突出优势在于力学性能和陶瓷化下的阻燃功能。此外,陶瓷化硅橡胶制备工艺与普通硅橡胶基本一致,工艺简单,我们认为未来陶瓷化硅橡胶有望作为新一代保温隔热材料广泛应用于动力电池领域。
图表37:几种电池隔热材料的对比
资料来源:远翔新材招股说明书,纳偌科技官网,浙江荣泰官网,南京玻纤院,中金公司研究部
新能源车销量不达预期。新能源车销量是支撑动力锂电池尤其高镍三元电池装机的核心驱动力,若新能源车销量不达预期,将对包括电池安全在内产业链需求造成不利影响。
高镍三元电池装机量不达预期。如正文所述,高镍三元电池本征安全性存在一定劣势,基于此我们认为随着高镍三元电池渗透率提升,将催化电池安全相关产业链加快发展,但若高镍三元电池装机量不达预期,将对相关产业链需求造成不利影响。
新型电池技术迭代等。新型电池技术如钠离子电池本征安全性相对较高,且钠离子电池的集流体材料、电解液材料等或将发生变化;氢燃料电池所需基础材料体系与锂电池差异较大,若相关可替代性技术加快发展,将对锂电池安全相关产业链将形成不利影响。
本文摘自:2021年12月20日已经发布的《突破电池安全性技术,补齐高镍化关键一环》
曾 韬 SAC 执证编号:S0080518040001 SFC CE Ref:BRQ196
刘 烁 SAC 执证编号:S0080521040001
王颖东 SAC 执证编号:S0080120080126
张钰琪 SAC 执证编号:S0080520040001
刘倩文 SAC 执证编号:S0080121070440
季 枫 SAC 执证编号:S0080121070373