调整产业结构降低碳排放强度的国际比较及经验启示丨中国工程科学
网站滚动
本文优先出版在中国工程院院刊《中国工程科学》
作者:郭士伊,刘文强,赵卫东
来源:调整产业结构降低碳排放强度的国际比较及经验启示[J].中国工程科学,2021, 23(6).
编者按
一个国家的碳排放总量是衡量这个国家碳排放总体规模和水平的指标,与这个国家的工业化、城镇化进程紧密相关。我国提出了2030 年前实现碳达峰目标、2060 年前实现碳中和愿景,要如期实现两大任务,必须深度调整产业结构,建立现代绿色低碳产业体系。
近期,中国工程院院刊《中国工程科学》优先出版了《调整产业结构降低碳排放强度的国际比较及经验启示》一文,以主要发达国家为研究对象,剖析碳排放总量、人均碳排放、碳排放强度、产业结构变化特征,据此获得调整产业结构降低碳排放强度的经验启示。自1965 年以来,通过产业转移、科技创新、服务业升级,发达国家普遍形成了“脱钩型”产业结构,即支撑经济增长的同时降低碳排放强度的产业结构,但同时出现了“制造业空心化”的新问题。针对我国产业结构所处的工业化进程尚未完成、高耗能行业占比较大等现实国情,研究建议积极培育新能源等新兴产业,发挥数字经济在产业结构优化升级中的潜力;坚决防止“制造业空心化”,在确保产业链供应链安全的前提下统筹协调国内外产业转移,以此推动产业空间布局优化并促进新发展格局形成。
一、前言
在工业化进程中,发达国家的产业结构变化具有相似规律:随着经济增长,农业占比不断下降,工业占比先上升后下降,服务业占比不断上升;碳排放变化也有类似规律:随着经济增长,碳排放水平首先快速增长,然后进入峰值平台期,进而开始下降。碳排放随着经济增长呈现的这种倒U 型变化即为环境库茨涅兹曲线,引导和推动了发达国家的绿色转型实践。20 世纪70 年代能源危机发生后,发达国家出于能源安全、环境保护的需要,不断调整产业结构、积极开展节能减排、大力发展绿色技术,基本实现经济发展与碳排放“脱钩”,在保持经济增长的同时不断降低碳排放水平。
2020 年,我国的国内生产总值(GDP)超过14 万亿美元(世界第二位),碳排放量达到1×1010 t(世界第一位)。从经济增长和碳排放的关系看,我国碳排放还没有达峰,经济增长与碳排放尚未“脱钩”,未来数年碳排放总量仍将随着经济增长而进一步增加。与主要发达国家相比存在的差异性,反映了我国在发展阶段、发展质量方面的滞后,主要原因是产业结构存在明显不同。长期以来,煤炭、石油、天然气等化石能源占我国一次能源消费的85%;产业结构的重化工业特征显著,工业能源消费的碳排放占全国能源消费碳排放的65%,钢铁、建材、石油化工、有色、电力等高耗能行业的能源消费占据了工业能源消费的75%。我国提出了2030 年前实现碳达峰目标、2060 年前实现碳中和愿景,要如期实现两大任务,必须深度调整产业结构,建立现代绿色低碳产业体系。
产业结构问题较为复杂,不仅涉及三次产业占比、行业结构变化、产品结构优化,还包括产业空间布局、区域协调发展;产业之间相互依赖、“牵一发动全身”,若不审慎处理可能会对经济社会的正常运行造成不利影响。研究先发国家调整产业结构降低碳排放强度(“调结构降强度”)的经验做法,对我国科学实现碳达峰、碳中和目标具有参考价值。
本文依托中国工程院咨询项目支持,以世界主要国家为研究对象,围绕碳排放总量、人均碳排放、碳排放强度、产业结构4 个变量(文中所用碳排放数据源自BP 世界能源统计,GDP、人口数据来自世界银行,强度计算按2005 年不变价计算),总结“调结构降强度”的国际经验,结合国情背景研判调整产业结构面临的问题并针对性提出对策建议,以期为后续的碳达峰、碳中和实践提供基础参考。
二、主要国家碳排放总量的依次达峰模式
一个国家的碳排放总量是衡量这个国家碳排放总体规模和水平的指标,与这个国家的工业化、城镇化进程紧密相关。比较不同国家碳排放总量的变化趋势可以发现,从发达国家到发展中国家都存在依次达峰的特征,这与工业化从发达国家向发展中国家传播并扩散有关,反映了不同国家经济发展的阶段及质量。
本文选取英国、法国、德国、美国、加拿大、日本、韩国7 个主要发达国家作为研究对象,还选取中国、印度两个主要发展中国家参与对比分析。这9 个国家的GDP 均进入世界前十位,2020 年GDP 总量合计占世界的65.8%,碳排放总量之和占世界的61.3%。
自1965 年以来,发达国家的碳排放量基本达到峰值,而发展中国家的碳排放量仍在增长(见图 1);发达国家和发展中国家将相继实现碳达峰:从英国开始、经过法国、德国、美国、加拿大、日本、韩国,再到中国、印度,不同国家碳排放峰值出现的时间依次延后。欧洲的英国、法国、德国等早在20 世纪80 年代前就达到峰值,北美洲的美国、加拿大在2010 年前后达到峰值,两者相差约30 年;亚洲的日本、韩国等在2020 年前达到峰值,较欧美有所滞后。相比之下,发展中国家的碳排放仍在增长,如中国将要跨过快速增长阶段转向平台期(2030 年前达峰),印度的碳排放仍处于快速增长阶段(达峰时间晚于中国)。世界碳排放依次达峰模式的出现,主要原因有以下两方面。
一是产业结构变化导致碳排放存在阶段性变化,这种分阶段的变化表现为“增长期– 峰值期–下降期”过程;前者是原因,取决于经济发展的内在规律;后者是结果,归因于产业结构的先行调整。可以认为,碳排放达峰是由经济发展的内在规律决定的。以日本为例,20 世纪60 年代之前经济发展经历了战后恢复期,纺织业占据主导地位,相应碳排放增速较缓;20 世纪60 年代之后,钢铁、汽车成为主导产业,在主动控制纺织业规模并对外产业转移之后,实现产业结构调整,导致煤炭、石油等化石能源消费和碳排放快速增长;20 世纪70 年代之后随着能源危机的出现,出于能源安全、环境保护的需要,着力推动经济绿色转型,将低消耗、高附加值的机械制造业、电子信息产业作为经济发展的主导产业,通过产业转移、节能减排、钢铁行业实施合理化计划等措施来持续调整产业结构,推动化石能源消费、碳排放量转入峰值平台期。
二是全球工业化进程的“雁阵模式”引导不同国家碳排放依次达到峰值。全球工业化进程极不平衡,在一些发达国家进入后工业化时代的同时,一些发展中国家仍然处于农业时代而并没有完成工业化,重要原因就是工业化始终沿着特定路径传播而不是在全球同步进行。工业化的传播扩散路径从英国开始,然后蔓延到法国,德国、俄国、美国、日本,之后是东南亚、韩国、中国、印度等国家和地区,至今这一进程仍在进行之中。与之对应,不同国家的碳排放达峰也沿着特定的路径依次实现。
三、主要国家人均碳排放比较及变化特点
(一)发达国家普遍高于发展中国家
从主要国家1965—2020 年人均碳排放的变化情况(见图2,蓝色线、绿色线在红色线上面,其中韩国是新晋发达国家)来看,美国、加拿大位于15 t CO2的水平,英国、法国、德国、日本为15 t CO2~7 t CO2;中国从0.68 t CO2增加到约7 t CO2;印度缓慢增加至1 t CO2。从人均碳排放峰值看,美国处于最高水平(1973 年的22.5 t CO2),约是2020 年中国人均碳排放水平的3 倍。在2030 年前碳排放实现达峰的目标,“十四五”“十五五”时期推进低碳发展力度持续加大,都决定了未来我国碳排放水平不会超过10 t CO2/ 人。合理预计,我国人均碳排放峰值水平有可能在2030 年前达到9 t CO2(相应的碳排放峰值水平达到1.3×1010 t CO2),随后开始进入下降通道。这一水平与日本、法国较为接近。整体来看,目前发展中国家人均碳排放水平普遍低于发达国家,随着气候变化形势日益严峻、《巴黎协定》的推进实施,未来发展中国家人均碳排放峰值水平超越发达国家的可能性较小。
(二)欧洲国家开始深度下降,北美国家进入下降阶段,亚洲国家仍在上升
从区域看,人均碳排放水平表现出了较大的差异性。英国、法国、德国等欧洲国家的人均碳排放水平进入了深度下降阶段;在半个世纪内,英国从13 t CO2/ 人的峰值水平下降到2020 年的4.7 t CO2/ 人,法国从9.8 t CO2/ 人下降到2020 年的3.7 t CO2/ 人,德国从14.1 t CO2/ 人下降到2020 年的7.2 t CO2/ 人。北美洲国家的人均碳排放进入了下降阶段, 美国从1973 年的22.5 t CO2/ 人下降到2020 年的13.4 t CO2/ 人, 加拿大从1977 年的18.3 t CO2/ 人下降到2020 年的13.5 t CO2/ 人。亚洲国家的人均碳排放水平出现分化,但整体仍呈现上升趋势;日本从1973 年的9.2 t CO2/ 人下降到2020 年的8.1 t CO2/ 人,韩国从2018 年的峰值水平12.5 t CO2/ 人下降至2020 年的11.1 t CO2/ 人,中国、印度的人均碳排放仍在上升。导致上述现象的重要原因是数十年来欧洲、北美洲、亚洲区域的产业结构调整,尤其是亚洲正在逐步替代欧洲、北美洲成为世界最大的制造业中心。
(三)发达国家存在“美加模式”“欧日模式”
不同的发达国家具有不同的能源资源、支柱产业、居民消费特征,美国、加拿大(“美加模式”,见图2 中的蓝色线)人均碳排放水平是以欧洲国家、日本(“欧日模式”,见图2 中的绿色线)的2 倍,导致这种差异的原因有三方面。
一是能源资源禀赋不同,美国、加拿大拥有丰富的能源资源,而英国、法国、德国、日本的能源供给高度依赖国际市场;20 世纪70 年代以来,因能源安全、节能环保的需要,资源节约型国家注重绿色转型,显著提高能源使用效率。
二是居民生活方式不同,美国人口占世界的5%,而耗油量占世界的25%;美国的居民生活方式导致家庭碳排放总量显著高于世界平均水平,如家庭洗完衣服后主要采用干衣机烘干(消耗电力),平均每户汽车拥有数超过1 辆(消耗石油)。
三是可再生能源使用的不同,欧洲国家普遍重视发展可再生能源,如法国的核电、德国的光伏、挪威的水电、丹麦的风电;通过持续提高可再生能源的占比,更快实现了能源与碳排放“脱钩”。

四、 主要国家碳排放强度变化及其内在产业结构根源
碳排放强度指创造单位经济增加值的CO2 排放量,是衡量经济发展质量水平的重要指标,发达国家普遍高于发展中国家。引导碳排放强度下降主要有三大因素:技术进步引起的能源资源利用效率提高,增加可再生能源使用比例以减少化石能源消耗,产业结构转型升级。本研究重点关注产业结构与碳排放强度的关系。
(一)发达国家和发展中国家的碳排放强度均在下降
主要国家的碳排放强度呈现下降趋势(见图 3)。例如,英国从1965 年的8.0 t CO2/ 万美元下降到2020 年的1.2 t CO2/ 万美元(降幅为85%);法国从1965 年的4.2 t CO2/ 万美元下降到2020 年的0.9 t CO2/ 万美元(降幅为78%);美国从1965 年的8.5 t CO2/ 万美元下降到2020 年的2.5 t CO2/ 万美元(降幅为70%);中国从1965 年的36.4 t CO2/万美元下降到2020 年的8.4 t CO2/ 万美元(降幅为77%)。按照2020 年的数据,我国碳排放强度仍明显高于发达国家;每创造万美元GDP,我国排放的CO2 分别是法国、英国、德国、日本的的9 倍、7 倍、5 倍、5 倍。碳排放强度也存在峰值,一般出现在工业化前期、人均GDP 水平较低阶段(如图3 中的印度);达到峰值以后进入漫长的持续下降阶段,越到后期下降的难度越大,需要在节能减排、技术进步、产业结构转型升级等诸多方面协同发力。

(二)碳排放强度下降与产业结构调整的表现:“脱钩型”产业结构
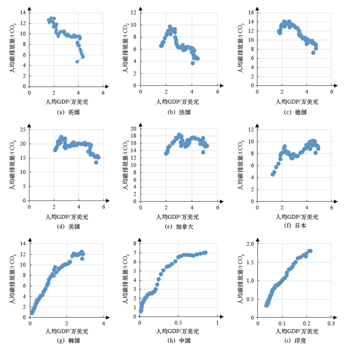
按照定义并进行推导,碳排放强度也可视为人均碳排放与人均GDP 的比值。为此,碳排放强度下降需要降低人均碳排放水平或提高人均GDP;如果能够在提高人均GDP 的同时还能不断降低人均碳排放水平,那么碳排放强度将会快速下降。这样的经济发展阶段就是经济增长与碳排放的“脱钩”阶段,相应增长方式依赖所形成的特定产业结构。
由图4 可知,在英国、法国、德国、美国、加拿大、日本,随着人均GDP 的提高,人均碳排放水平持续降低,实现了经济增长与碳排放“脱钩”,即具有“脱钩型”产业结构;而在韩国、中国、印度,人均碳排放水平随着人均GDP 增长而上升,表明经济增长同碳排放尚未完全实现“脱钩”。是否“脱钩”是经济发展在碳排放达峰后能否深度脱碳的关键,依赖“脱钩型”产业结构的形成。
比较不同国家的经济增长模式可以发现,采取“调结构降强度”尤为重要;“脱钩型”产业结构既能推动经济增长,也为降低碳排放提供了可行性,既不以牺牲经济增长来降低碳排放,也不以牺牲环境为代价来增长经济。近期,受包括新型冠状病毒肺炎疫情在内的多方面因素影响,我国出现了“煤价急涨”“拉闸限电”等情况,对经济社会的正常运转造成不利影响。究其原因,现有偏“重”的产业结构、偏化石能源的能源结构共同决定了整体经济增长与碳排放尚未实现“脱钩”。对于这种情况,经济增长与碳减排之间存在较大张力,如不能系统全面并统筹协调推进碳达峰、碳中和行动计划,而是采取“一刀切”的政策举措,必然进一步放大这种张力,进而干扰经济社会的稳定运行。

发达国家普遍进入了经济增长与碳排放“脱钩”的发展阶段,表现为随着经济增长,碳排放总量逐步减少;发展中国家仍处于经济增长与碳排放未“脱钩”的发展阶段。
出现这一状况的原因在于,发达国家生产单位经济增加值的碳排放量远低于发展中国家。基于发达国家人均碳排放水平普遍高于发展中国家的前提,发达国家碳排放强度低的主要原因是其生产率(即人均GDP 水平)远高于发展中国家。影响生产率的关键因素是经济体系的技术水平,主要通过产业结构表现出来。可以认为,发达国家碳排放强度持续下降的深层原因在于,通过产业结构调整来显著提升生产率水平,进而将碳排放强度维持在较低的水平,以此实现经济增长与碳排放的“脱钩”。
(三)产业结构调整与碳排放强度变化的关系:以美国为例
产业结构包括三次产业结构(农业、工业、服务业之间的比例关系)、产业内部的行业结构(如高耗能行业占工业经济的比重)、产品结构(如钢铁行业长材与板材的比例关系,电力行业火电与水电的比例关系)、产业空间布局等。为突出重点,本文聚焦美国三次产业结构、行业结构、产品结构的变化对碳排放的影响,分析相应产业结构与碳排放强度变化的历程。
1. 调整三次产业结构
1965—2020 年,美国基本实现了从工业时代向后工业时代的跨越,低消耗、低排放的服务业在经济活动中占据了主导地位,而高消耗、高排放的制造业占比持续下降(见图5);农业占比从3% 下降到0.8%,工业占比从33.9% 降低到17.7%(其中制造业的对应占比从25.8% 下降到10.9%),服务业占比从63.2% 提高到81.6%。与此同时,碳排放强度从8.4 t CO2/ 万美元下降到2.5 t CO2/ 万美元,人均碳排放从峰值的22.4 t CO2 下降到13.5 t CO2,基本实现了产业结构的绿色转型。服务业占比的持续上升、工业占比的持续下降,是推动美国碳排放强度下降的主要原因。

四、 主要国家碳排放强度变化及其内在产业结构根源
碳排放强度指创造单位经济增加值的CO2 排放量,是衡量经济发展质量水平的重要指标,发达国家普遍高于发展中国家。引导碳排放强度下降主要有三大因素:技术进步引起的能源资源利用效率提高,增加可再生能源使用比例以减少化石能源消耗,产业结构转型升级。本研究重点关注产业结构与碳排放强度的关系。
(一)发达国家和发展中国家的碳排放强度均在下降
主要国家的碳排放强度呈现下降趋势(见图 3)。例如,英国从1965 年的8.0 t CO2/ 万美元下降到2020 年的1.2 t CO2/ 万美元(降幅为85%);法国从1965 年的4.2 t CO2/ 万美元下降到2020 年的0.9 t CO2/ 万美元(降幅为78%);美国从1965 年的8.5 t CO2/ 万美元下降到2020 年的2.5 t CO2/ 万美元(降幅为70%);中国从1965 年的36.4 t CO2/万美元下降到2020 年的8.4 t CO2/ 万美元(降幅为77%)。按照2020 年的数据,我国碳排放强度仍明显高于发达国家;每创造万美元GDP,我国排放的CO2 分别是法国、英国、德国、日本的的9 倍、7 倍、5 倍、5 倍。碳排放强度也存在峰值,一般出现在工业化前期、人均GDP 水平较低阶段(如图3 中的印度);达到峰值以后进入漫长的持续下降阶段,越到后期下降的难度越大,需要在节能减排、技术进步、产业结构转型升级等诸多方面协同发力。

(二)碳排放强度下降与产业结构调整的表现:“脱钩型”产业结构
按照定义并进行推导,碳排放强度也可视为人均碳排放与人均GDP 的比值。为此,碳排放强度下降需要降低人均碳排放水平或提高人均GDP;如果能够在提高人均GDP 的同时还能不断降低人均碳排放水平,那么碳排放强度将会快速下降。这样的经济发展阶段就是经济增长与碳排放的“脱钩”阶段,相应增长方式依赖所形成的特定产业结构。
由图4 可知,在英国、法国、德国、美国、加拿大、日本,随着人均GDP 的提高,人均碳排放水平持续降低,实现了经济增长与碳排放“脱钩”,即具有“脱钩型”产业结构;而在韩国、中国、印度,人均碳排放水平随着人均GDP 增长而上升,表明经济增长同碳排放尚未完全实现“脱钩”。是否“脱钩”是经济发展在碳排放达峰后能否深度脱碳的关键,依赖“脱钩型”产业结构的形成。
比较不同国家的经济增长模式可以发现,采取“调结构降强度”尤为重要;“脱钩型”产业结构既能推动经济增长,也为降低碳排放提供了可行性,既不以牺牲经济增长来降低碳排放,也不以牺牲环境为代价来增长经济。近期,受包括新型冠状病毒肺炎疫情在内的多方面因素影响,我国出现了“煤价急涨”“拉闸限电”等情况,对经济社会的正常运转造成不利影响。究其原因,现有偏“重”的产业结构、偏化石能源的能源结构共同决定了整体经济增长与碳排放尚未实现“脱钩”。对于这种情况,经济增长与碳减排之间存在较大张力,如不能系统全面并统筹协调推进碳达峰、碳中和行动计划,而是采取“一刀切”的政策举措,必然进一步放大这种张力,进而干扰经济社会的稳定运行。

发达国家普遍进入了经济增长与碳排放“脱钩”的发展阶段,表现为随着经济增长,碳排放总量逐步减少;发展中国家仍处于经济增长与碳排放未“脱钩”的发展阶段。
出现这一状况的原因在于,发达国家生产单位经济增加值的碳排放量远低于发展中国家。基于发达国家人均碳排放水平普遍高于发展中国家的前提,发达国家碳排放强度低的主要原因是其生产率(即人均GDP 水平)远高于发展中国家。影响生产率的关键因素是经济体系的技术水平,主要通过产业结构表现出来。可以认为,发达国家碳排放强度持续下降的深层原因在于,通过产业结构调整来显著提升生产率水平,进而将碳排放强度维持在较低的水平,以此实现经济增长与碳排放的“脱钩”。
(三)产业结构调整与碳排放强度变化的关系:以美国为例
产业结构包括三次产业结构(农业、工业、服务业之间的比例关系)、产业内部的行业结构(如高耗能行业占工业经济的比重)、产品结构(如钢铁行业长材与板材的比例关系,电力行业火电与水电的比例关系)、产业空间布局等。为突出重点,本文聚焦美国三次产业结构、行业结构、产品结构的变化对碳排放的影响,分析相应产业结构与碳排放强度变化的历程。
1. 调整三次产业结构
1965—2020 年,美国基本实现了从工业时代向后工业时代的跨越,低消耗、低排放的服务业在经济活动中占据了主导地位,而高消耗、高排放的制造业占比持续下降(见图5);农业占比从3% 下降到0.8%,工业占比从33.9% 降低到17.7%(其中制造业的对应占比从25.8% 下降到10.9%),服务业占比从63.2% 提高到81.6%。与此同时,碳排放强度从8.4 t CO2/ 万美元下降到2.5 t CO2/ 万美元,人均碳排放从峰值的22.4 t CO2 下降到13.5 t CO2,基本实现了产业结构的绿色转型。服务业占比的持续上升、工业占比的持续下降,是推动美国碳排放强度下降的主要原因。
图 5 美国三次产业结构、碳排放强度、人均碳排放量的变化趋势(1965—2020 年)
2. 调整行业结构
高耗能行业是产业结构影响碳排放的关键行业。美国的高耗能行业占比有保有压,长期稳定在20% 左右;其中的三大高耗能行业(维持国计民生的电力等公用事业、石油与煤炭产品、化学产品)的GDP 比重长期保持在2.5% 的水平。也要注意到,在金属、非金属材料领域,美国不断降低钢铁、有色金属、建材行业的占比,如非金属矿物产品、初级金属产品的GDP 比重从2.5%(1978 年)持续下降到0.6%(2020 年),这与美国的产业链格局有关。20 世纪60 年代以来,日本、德国的钢铁制造业迅猛崛起,加之对钢材需求较大的建筑业、制造业在美国逐渐衰落,共同导致美国钢铁行业的竞争优势减弱、产能总量降低。对应地,美国集中发展汽车、航空航天、生物技术、电子信息等高附加值、低消耗的高端制造业。
3. 调整产品结构
以低能耗、低排放产品替代高能耗、高排放产品,通过产品结构优化降低能源消耗和碳排放是美国产业结构调整的另一途径。以钢铁行业为例,短流程电炉钢相比长流程高炉钢可大幅降低能源消费和碳排放,1970 年短流程电炉钢产量占粗钢总产量的20%,这一比例2000 年提高到50%、2017 年提高到68%。这是因为20 世纪70 年代开始的能源危机促使积极开展节能减排工作,加之同期的城镇化率达到73.9%,基本完成的城镇化进程提高了钢材保有量并提供了废钢原料。
4. 实施产业转移
第二次世界大战之后,美国建立了比较完整的工业体系,随后通过扶持德国、日本的经济发展,开始了面向全球范围、长期持续的产业转移过程。转移的产业顺序是从纺织业开始,逐步拓展到钢铁、机械制品、电子制品等行业;转移的对象国家和地区先有后德国、日本、韩国、中国台湾、东南亚、中国大陆等。20 世纪90 年代以后,国际形势的变化为美国构建全球生产网络、发展全球统一市场创造了便利条件。
5. 发展电子信息产业
信息技术带动的电子信息产业成为数十年来美国产业结构调整的重要力量,随着军用电子信息技术拓展应用到民用领域,电子信息服务业占GDP的比重持续上升(1950—2020 年,从2.8% 上升到5.5%)。电子信息产业的快速发展与美国等发达国家主导的经济全球化过程“同行”,不仅带动了金融、物流、信息服务等生产性服务业的大发展,还通过自动化、信息化、数据化、网络化为诸多行业的升级转型提供了关键支撑和使能技术。
五、国际经验总结与发展启示
(一)调整产业结构降低碳排放强度的国际经验
1. 发展新兴产业、加大科技创新可引导产业结构调整
发达国家高度重视科技创新、新兴产业的引导作用,突出比较优势差异,产业分工有所侧重。例如,美国注重发展电子信息、航空航天、生物技术等产业,日本强调汽车制造、电子信息、新材料产业的发展,德国将机械、化工等产业视为重点,法国积极发展航空、核能等产业。生产性服务业在产业结构调整、产业升级过程中发挥着关键作用。随着发达国家进行产业转移,发展中国家的研发、物流、金融、商务等生产服务业持续壮大,既降低了自身碳排放,又推动了自主产业的转型升级。
2. 优化产品结构是产业结构调整的有效举措
发达国家在降低碳排放强度的过程中普遍进行产品结构优化以提升行业竞争力,因与各国的比较优势有关而没有统一模式。例如,美国大幅削减了钢铁、建材、有色金属等产能,仍大量保有石油、化工类产品的产能;在钢铁行业内部,大部分工艺采用以废钢为原料的短流程电炉钢,显著降低了行业能耗水平。不同于美国,日本仍然拥有大量的钢铁产能,但产品主要是汽车等高端产品所用的板材,而建筑用长材较少;钢铁产能与本国下游的汽车、工程机械等产品形成了完整的产业链。
3. 产业转移是调整产业结构的重要途径
发达国家普遍通过对外转移高耗能、高排放的工业和制造业来降低碳排放强度。这一过程主要发生在1947—2008 年,其间世界经济发展格局由发达国家主导;尤其在冷战结束后,欧美国家扎实的工业基础、美国主导的全球地缘政治格局、信息技术引领的科技产业创新浪潮、刚刚萌发的全球气候治理体系等因素,都十分有利于对外转移高耗能、高排放行业,兼顾经济安全保障和碳排放强度降低。
4. 电子信息产业带动关联产业升级
在第二次世界大战中发展起来的电子信息产业,战后随着战略对抗需求而进一步发展,通过军民功能结合逐渐形成产业链。随后受计算机、互联网技术的驱动,发达国家的电子信息产业迅猛发展,不仅自身的发展直接优化了整个产业结构,还通过电子信息产品支持了其他行业的升级改造,有力促进了产业结构优化调整。例如,数十年来电子信息产业带动了美国服务业尤其是生产性服务业的快速发展,成为打造全球统一市场、占据价值链高端位置的关键依托;互联网技术、“信息高速公路”建设,促进了交通、金融、娱乐等生产性和生活性服务业的长足发展。
5. 降低制造业占比是产业结构调整的“双刃剑”
以美国、英国为代表,发达国家经历了制造业长期且持续的下降过程(有效促进了服务业发展),但2008 年金融危机爆发以后,普遍意识到制造业是经济发展的根基、产业创新的源头,因而纷纷提出“再工业化”战略。相关国家十多年的“再工业化”过程证实,制造业一旦流失,恢复起来异常艰难;制造业流失在短期内有效降低了碳排放强度,但从长期看侵蚀了一国经济的发展潜力,不利于经济高质量、可持续、自主性发展。
(二) 我国调整产业结构降低碳排放强度面临的挑战
1. 工业化、城镇化进程尚未完成
从需求角度看,主要发达国家在碳排放达峰时的人均GDP 大都超过2 万美元甚至3 万美元,同时城市化水平超过70%;如美国在碳达峰时(2007 年)的人均GDP 为5 万美元,城市化率为81.4%。2020 年,我国人均GDP 约为1 万美元,常住人口城镇化率为63.9%;到2030 年前实现碳达峰时,我国人均GDP 可能不到2 万美元,城镇化率约为74%。可以发现,我国工业化、城镇化的成熟度较低,再加上较大的人口规模,决定了碳达峰、碳中和过程中的高耗能产品(如钢铁、水泥)需求将大于发达国家,人均收入水平会小于发达国家。这种发展阶段的制约会增大产业结构调整的难度。
从生产角度看,2008 年金融危机爆发以后,我国制造业占GDP 的比重从32.12% 下降到2020 年的26.18%,制造业占比的快速下降不利于实现制造强国战略、巩固实体经济发展根基。尽管发达国家制造业占比因产业转移而不断降低,同步伴随着碳排放强度的下降,成为“调结构降强度”的有益经验,然而鉴于我国国情,要稳定制造业占比、筑牢实体经济根基、走制造强国之路,就要在确保制造业占比稳定、工业体系完整度不被破坏的情况下开拓新的工业化道路。相关差异性导致我国“调结构降强度”的难度会大于发达国家。
2. 高耗能行业规模总量大、能源消耗占比高
我国高耗能行业占工业增加值的比重约为30%, 同时高耗能行业占工业能耗的比重约在70%,工业内部产业结构的不平衡直接导致较高的碳排放强度。受技术水平限制,在我国生产的主要产品中,单位产品碳排放强度大的产品,其总量、占比均大于发达国家,而且这些产品仍是当前我国多数地区经济发展的支柱性、主导性产品。在发展路径技术水平受限的条件下,要大规模降地低高耗能行业的产能产量、大幅度地提升高附加值产品的产能产量,仍存在较多制约因素,也就成为产业结构调整的难点。
3. 区域发展不平衡现象较为突出
改革开放以来,我国逐步形成了资源能源主要在中西部地区、市场主要在东部地区的发展格局,由此产生了较为突出的西部和东部地区、北方和南方之间的发展不平衡现象。尤其是中西部地区的发展阶段明显滞后、人均GDP 水平不高,碳排放强度大约是东部地区的4 倍,相应碳排放达峰的挑战也更大。从资源禀赋看,西部地区和北方拥有丰富的“风光水”等可再生资源,为碳达峰、碳中和目标下实现能源转型,推动东部向西部、南方向北方的产业转移,解决区域发展不平衡并缩小区域贫富差距带来了新的机遇。也要注意到,西部地区和北方水资源缺乏、生态环境承载力弱,仍然制约产业的发展与调整;从深层、底层着手,逐步改善西部地区和北方的生态环境,为提升产业的环境承载力拓展空间,进而优化人口、资源、产业的整体布局,降低国土空间利用的碳排放,仍是后续产业结构调整的重点。
4. 科技创新基础有待加强
科技水平是支撑产业结构调整的关键基础,实现碳达峰、碳中和目标对科技创新提出新的更高要求。我国现有大量的绿色低碳技术,主要源自发达国家的引进和借鉴,相比之下自主创新与应用的能力较为薄弱;支撑碳达峰、碳中和的绿色科技在基础研发、示范推广、标准体系等方面还存在系统性不足。当前,我国数字经济发展取得较大成绩,但相比发达国家根基还不够扎实,如芯片、操作系统、行业软件等许多信息技术的基础要素还较多依赖进口;利用数字经济“调结构降强度”的产业根基不扎实,产业风险有待化解。
(三)启示与建议
1. 积极发展基于科技创新的新兴产业
鼓励科技创新、发展新兴产业是发达国家产业结构调整的成功经验。科技创新是当前我国经济发展的短板,强化基础和应用创新能力,壮大新能源、新能源汽车、新材料、节能环保等新兴产业,更好发挥其在结构调整中的引导与示范作用,为降低碳排放强度创造直接条件。合理借鉴发达国家经验做法,通过国家创新体系建设来积极推动新兴产业发展,为产业结构优化调整进而实现远期的碳中和目标提供重要基础和动力。
2. 充分发挥数字经济在产业结构调整中的潜力
着力发展信息产业,以此带动国民经济产业结构的整体优化升级,这一经验在美国尤为突出。我国应加快推进以云计算、大数据、物联网、人工智能、第五代移动通信、虚拟现实、数字孪生为代表的新一代数字技术,与农业、工业、服务业进行深度融合;通过发展新技术、新产业、新业态、新模式,改变相对传统的生产方式和管理模式,促进供需精准匹配,技术性支持“调结构降强度”。
3. 统筹协调国内外产业转移,优化产业空间布局
通过产业转移来调整产业结构,是发达国家“调结构降强度”的成功经验。我国钢铁、建材等重化工业的产能规模巨大,在没有颠覆性技术出现的情况下,保持如此体量的重化工业难以实现碳中和目标。在确保制造业占比稳定和产业链供应链安全的前提下,应控制高耗能产业的本土盲目扩张,适当进行面向国际的产业转移并践行绿色环保责任,有利于统筹国内国际产业布局,积极打造新发展格局,支持实现碳中和目标。
4. 坚决防止“制造业空心化”
发达国家的产业结构调整普遍存在制造业占比下降、“去工业化”“产业空心化”等问题,2008 年金融危机爆发以后相关弊端得到深刻认识并经由“再工业化”战略予以修正。我国的工业化进程发育时间短、发育不充分,工业化成熟度有所不足,相较早就完成工业化的发达国家而言更容易出现制造业占比过多过快下降的不利局面。为此,应保持高度的战略定力,保持发展实体经济的决心和举措,坚定不移地走制造强国之路。
注:本文内容呈现略有调整,若需可查看原文。