新浪财经

【中金固收·固收+】“反向转债” —— 备兑基金概述

中金固定收益研究

关注

前言

英科转债的出现让投资者认识到转债“有底无顶”的特征——但“反向转债”也有其吸引人之处,比如雪球,再如备兑权略。上期报告我们介绍了雪球结构产品,本期我们聚焦备兑期权——重要的是,雪球目前只能通过私募形式买入,但备兑有可能迎来公募时代。而近期的权益市场,投资者也有比较强的震荡预期,这类产品可能更值得探讨。

简单来说,备兑策略具备典型的“上有顶、下无底”、低波动、低回撤的收益画像,适用于长期持有被动指数和对中短期市场波动率看空的投资者。区别于市场上已有的低波动指数型基金(多以红利、行业中性基金为主,且规模较小),备兑基金通过股指期权来降低组合波动率。本篇报告就其收益表现、风险归因和投资者适用三方面,进行简析。

一、备兑策略的概念

备兑(Covered Call)策略是指在拥有标的证券的同时,卖出相应数量的认购期权,收取的期权费用来增厚组合收益。

依照目前所披露待发行的备兑基金信息来看,管理人多采用上证50ETF作为标的证券。以上证50ETF备兑组合(非真实产品,仅举例),如下图所示,当ETF到期价S(t)大于行权价K时,组合收益的上限将被限制为K-S(0)+C(0),反之期权费将弥补部分因ETF现券下跌的损失。但当然,该示意图仅仅描绘到期日时的损益,策略的风险敞口往往在持有期间会因为逐日盯市制度而发生变化。

就投资者而言,备兑策略最优使用期是,在期权到期日及之前,ETF现券的价格在S(0)与K之间的较窄范围内震荡(不考虑保证金时间收益等),且投资者认为市场波动率收缩。

图表:备对策略原理图

图表:近一年备对策略净值走势

资料来源:万得资讯,中金公司研究部,注:数据截至2021年4月22日

二、备兑策略的收益

由于各基金公司备兑指数基金方案尚未披露,但中指2020年5月发布了《上证50备兑策略指数编制方案》,我们针对其中的设定,对备兑策略指数风险收益进行简析。

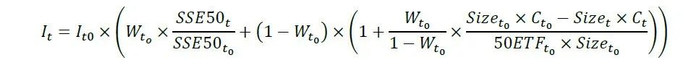
该方案中组合策略每月定期(一般为每月第三个周五)将85%资金配置ETF现券,而将15%资金配置认购期权保证金。(实际操作中,出于预防保证金不足和顾及资金使用效率的考虑,会提高一定保证金配置比例)。以下为策略编制的公式,

其中为每月期权展期日时ETF现券配置比例,SSE(50)为t时上证50数值,Size(t0)为期初期权合约单位(期权合约单位会由于股指ETF分红而有一定变化),C(t0)为期权费,50ETF(t0)为上证50ETF期初数值。

图表:备对开仓示意图

资料来源:中金公司研究部,其中[]为取整符号

依据指数编辑的结果显示,近年备兑策略表现较为稳健,基本实现慢牛行情中的增厚收益,并明显降低被动指数投资的回撤与波动率。但同时,以2017年、2019年和2020年为例,当股指大幅走强,备兑策略收益较被动投资收益仍有一定差距。

图表:备兑策略基本实现在慢牛行情中增厚收益

资料来源:万得资讯,中金公司研究部,其中2015年与2021年非年化数据,ATM备兑策略中认购期权的行权价为最接近期初ETF成本价(且较高)的一档;5%ATM备兑策略中认购期权的行权价为最接近期初ETF成本1.05倍(且较高)的一档。

图表:备兑策略近年收益尚可

资料来源:万得资讯,中金公司研究部,数据截止2021年4月22日, 2015年3月20日为指数编制起始日,数据已做标准化处理。子图以2019年12月31日为基准日进行编制。

图表:备兑策略振幅及后尾风险较小

资料来源:万得资讯,中金公司研究部,注:数据自2015年3月20日至2021年4月22日

三、备兑策略的风险

备兑策略风险敞口依照Roni Israelov和Lars N. Nielsen的相关论文,可拆分为看多的权益敞口、看空的波动率敞口和择时风险敞口。首先,卖出的认购期权一定程度降低了组合对于股指 的风险敞口,但同时引入了对于标的股指波动率看空的风险,以及期权delta变动带来的择时风险。简单来说,不能简化认为备兑就是以月频获取期权费作为收入的投资策略。

图表:备对策略风险拆分

资料来源:R. Israelov, L. Nielsen, “Covered Call Uncovered”、中金公司研究部

具体来看,

1)卖出ATM与5%OTM的认购期权均能在降低组合对于股指ETF的敞口但是由于认购期权的delta仍会不断变动,当标的资产价格下降,截图下降,策略对于股市风险敞口加大,因而备兑策略的风险一定程度上是聚焦在股市下行风险中。

图表:认购期权基本希腊字母与标的资产价格的关系

资料来源:中金公司研究部,其中,25为行权价,在值ATM认购期权delta在0.521附近

2)备兑策略看空波动率,即认为后期实际波动率将小于期权隐含波动率。而就当前而言,市场期权波动率溢价率自3月以来均为负,即实际波动率高于隐含波动率,看空波动率策略稍有拥挤。这也表明市场维持着对于后市将窄幅震荡的预期(不过上周五波动率溢价率已回正,市场极度看空波动率的情绪已有明显缓和)。

此外,在A股机构化加强背景下,机构对冲需求也进一步凸显,叠加备兑基金的涌现和个人投资者期权参与度(合格投资者可直接进行备兑开仓)提升,因而认购期权的卖方和认沽期权的买方都将变多。单就认购期权而言,虚值OTM期权费将更为便宜,备兑策略尤其OTM备兑对权益持仓的“保护”也将变得有限。

图表:沪深300股指期权波动率溢价

资料来源:万得资讯,中金公司研究部,数据截止2021年4月22日,其中波动率溢价以编制的iVIX与指数近30日日频年化波动率的差值计算,iVIX 为依据CBOE VIX指数计算方式,基于沪深300期权计算得来代表市场股指期权隐含波动率的指标

图表:近一年沪深300ETF走势及波动率

资料来源:万得资讯,中金公司研究部,数据截止2021年4月22日;20日波动率为年化日频数据

3)目前市场关于通过delta对冲、领式期权再造等方式改善备兑策略的讨论不少(Israelov & Nielsen (2015), Israelov, Klein and Tummala (2017), Diaz & Kwon(2017)),在此按下不表。

四、固收投资者与备兑基金

1、抛开繁琐的表达式和对冲原因,备兑策略总体上还是一个低波版指数,这是其最基础的属性。因而备兑策略基金适用于保险、理财等具备长期指数配置需求的投资者,引入卖出认购期权能获得一定收益增强的效果。显然,备兑策略低波动、低回撤的收益结构也天然地适合固收+类资金;

图表:纯债与备兑的八二配置组合增厚效益

资料来源:万得资讯,中金公司研究部,数据截止2021年4月22日;其中纯债基金指数为万得中长期纯债基金指数,上证50备兑组合和沪深300备兑组合分别由单纯各自单独备兑策略与纯债指数依照20%、80%配制而成

2、备兑基金在面对波动率时,是“反向可转债”,因为转债是依附于波动的,而备兑则看空波动——二者当然不矛盾,因为能互补。转债还有这些特性:1)个券分布虽然不及股票,但终归不局限于几个指数;2)虽然名义上在“做多波动”,看似是一个0或1的问题,但落实到转债个券上,总有低估的或者高估的品种——其中低估的转债在多数时间里拿到更高的收益。于是,投资者至少可以在震荡市预期下,持有:备兑策略 + 低估值转债。

图表:备兑策略加入平滑低估转债策略收益

资料来源:万得资讯,中金公司研究部,数据截止2021年4月22日;其中低估值转债指数依照转债价位排名+溢价率排名位于后20%回测而成,上证50备兑组合和沪深300备兑组合分别由单纯各自单独备兑策略与低估值转债依照50%/50%配制而成

附录:相关期权条款说明

图表:股指ETF期权合约条款

资料来源:上交所,中金公司研究部

图表:上证50ETF分红涉及期权

资料来源:万得资讯,中金公司研究部;上文所涉沪深300ETF相关涉及期权为2021年1月到期的10002936.SH

文章来源

本文摘自:2021年4月26日已经发布的《“反向转债” —— 备兑基金概述》

杨  冰分析员,SAC执业证书编号:S0080515120002  SFC CE Ref: BOM868

陈健恒分析员,SAC执业证书编号:S0080511030011  SFC CE Ref: BBM220

法律声明

向上滑动参见完整法律声明及二维码

加载中...