鲁超:怎样建设“地月经济区”(之一)——立足
观察者网
【文/鲁超】
近年来,有人提出“地月经济区”的概念。一时间,很多人不明觉厉,点赞的憧憬着星辰大海,嘲讽的认为这是“放卫星”、“大跃进”。我认为既要仰望星空,更要脚踏实地。所以,我们就一步一步地来分析,看看“地月经济区”有没有建设的可行性?
要“太空殖民”的话,如果还将各种材料从地球“拖家带口”带出去,那将是不明智的,一定得考虑“就地资源利用”(ISRU)。从这个角度去思考,方向和商机就全来了。
美国NASA1989年对于月球殖民地的描述
一、水
人的生存离不开水。有这么个说法:“在沙漠中,黄金无用,唯水无价。”和70%被海洋覆盖的地球相比,月球就是个超级荒漠。
咱总不能带着桶装水上月球吧。
月球~~~走起~~~
然而,月球上确实是有水的。美国、苏联、印度的探测器以及我国的嫦娥一号都发现了月球上有冰态水的证据。月球的南北两极处有很多地方常年“暗无天日”,接触不到太阳的照射,是“永久阴影区”。水只有在这些地方才能得以保存,否则早就被阳光加热蒸发掉了。
相比而言,南极的水分更多。所以,月球南极附近很可能是殖民月球的第一站。
前进吧!向月球南极!
月球南极(左)和北极(右)的表层冰分布,蓝色表示冰的位置
所以,第一个商机就是月球上的自来水公司,作业方式为:从冻土中提取水。
根据之前的采样,“永久阴影区”的表面冻土中约含有5.6±2.9%的水,其中还混有氨、二氧化硫、硫化氢、二氧化碳、甲醇、甲烷、乙烯等物质,更多的是附着在其他无机物质上的羟基(OH)。
下图展示了一种“热采矿”工艺。用精心设计的镜子或透镜将太阳光射入环形山的“永久阴影区”里,让冰升华成水蒸气,两边各放置一个冻干机,让水蒸气凝结成水,搜集起来。
一种想象中的热采矿技术,用镜子将太阳光照射到环形山里的永久阴影处,将那里的水变成水蒸气提取出来
下一步就是净化,这个不难,离子交换树脂+反渗透膜即可搞定,这个可以从地球上带来,可以使用一定的周期,定期更换即可。
RO膜需要带几套(图片来源:LG chem.)
在月球上,水不光是人类生存的必要条件,还有其他妙用,我们后面慢慢看。
二、氧气
水的问题解决以后,第二个核心问题就是呼吸。咱不能总带氧气瓶上去啊,那玩意老沉了。
月球呼叫地球,来几罐这玩意。地球:好嘞,等几天啊。月球:~~~
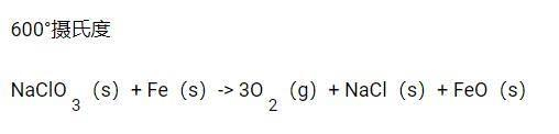
现在太空飞船里,宇航员的氧气主要来自水的电解,还有一种方法叫做固体燃料氧气发生器(SFOG),也叫“氧气蜡烛”——将氯酸钠(NaClO3)和铁粉(Fe)混合,点燃后就会产生氧气,反应式如下:
一千克SFOG可以提供一个成年人6.5小时的氧气,显然供给不了长期的殖民生涯。在月球上,水更是一种极度稀缺的资源,直接电解水更是“暴殄天物”。所以,在月球上,不进行“就地资源利用”还真是不靠谱。
宇航员正在检查宇宙飞船上的SFOG组件
月球表面的化学成分主要有:石英(二氧化硅SiO2)、氧化铝(Al2O3)、氧化钙(CaO),氧化铁(Fe2O3)、氧化镁(MgO)、二氧化钛(TiO2)、氧化钠(Na2O),都是含氧物质。约莫估算一下,月壤里的氧元素约占40-45%。但要把其中的氧元素提炼出来,都不是简单的事情。
美国的拉里·弗里森(Larry Friesen)在《在月球上获取氧气的过程》一文中,提到了7种提取氧气的方法,均需要非常高的能量。
月壤元素分析,氧(Oxygen)占42%
其中最成熟的一种方法是用氢气还原钛铁矿(Fe2TiO5或FeTiO3),反应式如下:
FeTiO3+H2----> Fe+TiO2+ H2O
问题来了,氢气从哪儿来呢?
当然还是电解水了:
2H2O ----> 2H2+O2
刚才不是说水金贵吗?现在就不吝啬了?
看清楚啊,这是个“循环经济”啊!第一步反应已经得到了水,可以重复循环使用,总反应式如下:
2FeTiO3----> 2Fe+2TiO2+O2
钛铁矿,月球上铁和钛资源都比较丰富
钛铁矿本身会捕捉到一些太阳风里的质子(氢),它的加工过程还将产生氢这种在月球上宝贵的资源,所以上述制氧过程会净产生一些额外的水或氢,这是利好。
太阳风会给月球带来一些氢资源和氦资源
等到“月球殖民地”初见规模,可以携带一些植物种子过去,在室内培养绿植,增加氧气浓度。
月球园丁,走起~~~
三、能源
从前两点我们能看出,水也好,氧气也好,均需要能量支撑。前期可以携带一些核电池,它们可以永久工作。
“好奇号”火星车上就用到了核电池
NASA的核电池已经非常成熟,在好奇号火星探测器等处已经应用的非常普遍。其中使用的主要是钚238的化合物,如二氧化钚,钚238辐射出的主要是α粒子,用一张纸就能阻挡,因此非常安全。
核电池的核心材料:二氧化钚(PuO2),因内部放射性衰变而发红光
但本着“就地资源利用”(ISRU)的精神,还得优先考虑月球上的自然能源。在可控核聚变发展出来之前,月球上最廉价的当然是太阳能。
月球上的昼夜每月(27-28天)循环一次,如果我们选择首先“殖民”的地点位于月球南极处的某环形山,某些突出的地方可以永久接收到太阳的照射,在这里建造太阳能发电站,实在太理想不过了!
幻想图:在环形山的周围突出部建造镜子反射太阳光,投射到环形山的永久阴影区,或照明,或热水,或发电
将太阳能电池板大批量携带到月球,不太现实,还得利用月球表面的材料。月壤里45%都是二氧化硅,根据人类目前科技水平,将其中的硅不断提取出来不是难事。所以在月球上第三步就是要建一个太阳能电池工厂。假以时日,在月球上建造一个完整的太阳能电池阵列就可以提供整个“月球殖民地”的能源,甚至还有可能传输回地球,供应未来的“火星殖民地”。
风险在于微陨石的撞击,这是后话。
假想中月球上的太阳能电池阵列
四、建筑
先别考虑盖房子。大规模搞房地产太费周折了,还惧怕微陨石。
还是那句话:“就地资源利用”!“就地资源利用”!“就地资源利用”!重要的话说三遍!
在地球上,咱人类曾经“穴居”过。在月球上,可能也得考虑先经历一下“穴居人”的阶段。
月球上,还真有这样的理想场所——月球熔岩管。
想象图:宇航员正在探测月球熔岩管,作为自己的栖息之地
古老的月球上也曾发生过火山喷发。岩浆通过火山的管道喷射出去,当熔岩流的表面变硬以后,内部的流质岩浆会倒退回去,管道可能会排空,形成一个中空的空隙,这就是“月球熔岩管”(Lunar lava tube)。
如今冷却下来的月球上,已经找到了若干熔岩管。有一些熔岩管很细长,也有一些比较宽敞。比如2011年, NASA的月球勘测轨道飞行器(Orbiter)对马里乌斯丘陵地区熔岩管的观测表明,这个熔岩管有36米深,内部却足有65米宽。后来美国的重力探测器(GRAIL)发现月球上存在一些宽度达1公里的熔岩管。这为我们未来在月球上的“穴居”生活提供了巨大的空间。
想象图:将一种漫游车放入熔岩管内,进行探测,月面上的着陆器为它提供通讯等支持
选址结束,下面就要考虑建筑材料了。
前面讲了,月壤的主要成分里有硅、铝、钙,这些都是理想的混凝土材料。早在1985年,美国匹兹堡大学的科研人员就提出,用月壤加工“月球混凝土”的想法。只不过,这里又需要水,月球上的水资源可真是“金贵”啊。
除此之外,月壤里丰富的二氧化硅可以被加工成玻璃纤维,显着提高建筑材料的强度,并减轻重量。
美国爱好者按照月壤配方制作的“月球混凝土”
但需要注意,月球的重力很小,只有地球的1/6,这一点有好有坏。在地球上,很多建筑材料是靠重力铸造来定型的,在月球上就不一定适用了。虽然我们已经掌握了压力铸造技术,但并不是每种材料都适用。
你一定想到了,近年来发展起来的3D打印技术在月球上找到了最好的应用场景。
用1.5吨重的模拟月球尘埃进行3D打印,以证明使用月壤建造月球基地的可行性
来吧,月球混凝土工厂和玻璃纤维工厂HR招人,管食宿。
熔岩管里造房子,搞基建,走起
五、作物
说起食宿,又是一个大问题。尤其咱中国人,住得凑活就行,吃一定得吃好。可从地球上运送新鲜的食品上月球又是一件苦差事呢。
本着“就地资源利用”的精神,你是不是想起了《火星救援》里的种土豆?
《火星救援》剧照
之前已经在取回的月壤里做过模拟实验,发现番茄和小麦是可能在月壤里发芽的,这就是我们的希望!番茄面有望,能不能加个鸡蛋就要看看后续能不能建个养鸡场了。
月球餐馆指定食品——番茄汤面
根据之前提到月壤的主要成分,你会发现无机矿物特别多,简直就是一个干涸了的盐湖。而碳、氮、磷等生命必需的元素特别少,所以前期的耕种作业会非常有限。如果我们要耕种更多样的作物,就需要对其进行补碳、补氮。
具体怎么办呢?反正从地球上大规模携带这些元素极其不经济。有句古话说得好:“肥水不流外人田!”我只想说,宇航员们,请留下你们的便便,这都是月球殖民地的宝贵财富。
用面壁者的话来说:“这是计划的一部分。”
还有一种更有效的方法,就是用细菌改造月壤。这里最有希望的就是蓝细菌。在地球上,它们几乎无处不在:水体、土壤和生物体内就不说了,甚至在各种恶劣环境(比如冰原、盐湖、荒漠)中都可找到它们的踪迹。
将它们投放到月球上,可以分解月壤、参与光合作用并产生一些固氮效果,蓝细菌可能会是引领“月球殖民计划”的“先锋生物”。
蓝细菌(Cyanobacteria)
小结一下,排个序吧:
自来水厂——制氧工厂——太阳能硅片工厂——建筑材料厂——种植场——餐馆——……
好了,“月球殖民地”科技树我已经给你排好了,你是不是已经摩拳擦掌,想感受一下不断听到的“construction complete”。
comeon!月球上来玩红警~~~
当以上基建结束以后,我们只能算是在月球上立了足,这才只是“月球殖民”的第一步。我们仍要撸起袖子加油干,还有很多未来的超级项目在等待着我们,下期再会。
参考资料:
1,《Commercial Lunar Propellant Architecture——A Collaborative Study of Lunar Propellant Production》
2,https://science.howstuffworks.com/oxygen-made-aboard-spacecraft.htm
3,https://www.nasa.gov/feature/goddard/2018/on-second-thought-the-moons-water-may-be-widespread-and-immobile
4,《Composition of the Moon's Crust》
5,《Lunar Science:A Post Apollo View》
6,《Processes for Getting Oxygen on the Moon》