新浪财经

【华泰金工林晓明团队】Brinson绩效归因模型原理与实践20210221

新浪财经

关注

来源:华泰金融工程

林晓明    S0570516010001    研究员

             SFC No. BPY421

黄晓彬    S0570516070001    研究员

张   泽    S0570520090004    研究员

报告发布时间:2021年2月21日

摘要

本文主要讨论了Brinson基金绩效归因模型的原理和实现方法,并利用该模型对股票型和混合型基金进行实证研究。Brinson模型基于持仓数据,将基金的超额收益主要归因于资产配置与标的选择两个方面。通过理论分析和实证检验,我们发现不考虑交互收益的BF超额收益分解方案和将再投资收益归属到超额收益产生阶段的GRAP算法是Brinson模型的较优实现方法。基于此,我们分别选取一只股票型基金与混合型基金进行实证分析,定量测算了两只基金不同时期里的资产配置、行业配置和标的选择能力,实现对偏股基金超额收益来源较为深入的剖析。

Brinson模型可针对不同类型的基金进行单期或多期的绩效归因分析

Brinson模型是一类基于持仓数据对基金业绩进行归因的模型,能够对单期或多期的基金超额收益来源进行分解。通过构造资产配置与标的选择两个虚拟组合,并求出二者收益率与基准组合收益率的差值,可以得出衡量资产配置能力的配置收益与衡量标的选择能力的个股(券)选择收益(以下简称“选择收益”),从而实现对基金经理投资能力的定量评价。Brinson模型可以应用于不同类型的基金上:对股票型基金,它可在各个行业上分解出选择收益和配置收益;对偏股混合型基金,它可在各个大类资产上分解出前述两种收益。

BF收益分解方案不单列交互收益,对单资产配置能力测算更公允

单期Brinson模型有两种超额收益分解方案——BHB方案与BF方案。BHB方案通过构造虚拟组合,将超额收益归因到选择收益、配置收益和交互收益。而BF方案在计算配置收益时采取对标的资产基准收益扣减基准组合整体收益的操作,降低了市场波动对单个资产配置收益测算的影响,使每个资产的配置能力在不同市场条件下能够得到更客观的体现,同时不单列BHB方案中的含义不明的交互收益,能够更清晰地反映基金经理的在各资产类别上的配置能力和选择能力。

采用GRAP算法的多期Brinson模型对再投资收益的归属认定方式更清晰

多期Brinson模型需要考虑超额收益再投资产生的复利影响,这意味着并不能把各单期的配置收益或选择收益进行简单求和来得到多期的收益。为此我们梳理对比了常见的六种实现多期Brinson模型的算法后,发现GRAP算法将再投资收益归属到超额收益产生阶段的做法能够使每期超额收益的组成更加合理,归因结果更加可靠。因此本文实证研究中采用“BF收益分解方案+GRAP算法”来构建Brinson模型,并对基金组合进行归因分析。

Brinson模型对两只不同类型的基金进行单期和多期的绩效归因实证研究

我们选取了一只股票型基金和一只偏股混合型基金作为代表,应用单期与多期Brinson模型进行实证归因分析。股票型基金的配置收益和选择收益反映的是基金经理的行业配置能力和个股选择能力。混合型基金的配置收益和选择收益反映的是基金经理的大类资产配置和个股个券的选择能力。除此以外,多期Brinson模型可以分析出基金经理在资产类别和行业配置上的偏好,也能观察到个股个券选择能力的稳定性。

风险提示:模型是历史经验的总结,如果市场规律改变,存在模型归因能力滞后、甚至模型彻底失效的可能;报告中的各类基金只是作为常见基金的举例,并不能完全代表中国或全球市场全部基金的情况,请投资者谨慎、理性看待。

正文

Brinson业绩归因模型的收益分解原理和分解方案介绍

绩效归因是基金研究领域的重要课题,基金经理在构建基金组合时,通常会基于某一参考基准来调整自己组合里不同资产类别的权重,然后在每一种资产类别里配置具体标的。Brinson et al., (1985,1986) 认为,持有资产类别不变的情况下,组合通过改变各类资产权重而产生的超过基准的收益率,体现了组合在各类资产间的配置能力;保持各类资产权重不变的情况下,组合通过选择具体标的而产生的超越基准的收益率,体现了组合在各类资产上的标的选择能力。简而言之,Brinson模型的核心思想就是基于组合和基准在样本期内的持仓数据,将组合的超额收益拆分到个股(券)选择能力(以下简称“选择能力”)和配置能力的测度指标上,从而达到对超额收益来源归因和对基金经理能力进行评价的目的。

实际上,Brinson模型可用于各类基金产品的绩效归因分析。如果用于混合型基金(即组合会配置股票、债券、商品、现金等多种大类资产),模型可以衡量基金经理在大类资产上的配置能力和在每种大类资产中选择具体标的的能力。如果用在股票型基金上(即组合主要配置的是股票资产),模型可以衡量基金经理在行业上的配置能力与每个行业内选股的能力。我们首先介绍Brinson模型的收益分解原理和分解方案。

单期Brinson模型有两种思路分解超额收益,实现样本期内组合绩效归因

BHB超额收益分解方案:拆解为配置收益、个股(券)选择收益与交互收益

BF超额收益分解方案:选择收益包含交互收益,引入R_B对单资产配置能力的测算更公允

理论分析与实证研究表明BF分解方案更能反映出管理人实际的投资能力

我们可以用图形来直观展示BHB方案和BF方案在收益分解时的不同,下图白色部分代表了基准组合的收益,红色部分代表了基金组合相对基准组合的超额收益,BHB方案将超额收益分解成了配置收益、选择收益、交互收益三个部分,而BF方案仅分成配置收益和选择收益两个部分。

接下来我们采用BHB收益分解方案的Brinson单期模型进行实证分析,并指出该方案在归因过程中存在的问题。以某一股票型基金(下称基金A)作为研究示例,该基金的业绩比较基准为沪深300指数*90%+同业存款利率*10%。我们在三个样本期内对其进行归因分析,并假定基金组合在每一期内保持持仓不变,同时基准组合沪深300在每一期内各成分股的权重也不变。经过测算上述假设与实际之间的误差,我们选择了如下三个误差较小的时间段,以尽量保证归因的准确性,从而更客观地评价BHB和BF方案的实证结果:

第一期——2019年6月1日至2019年9月30日;

第二期——2019年10月1日至2020年3月31日;

第三期——2020年4月1日至2020年9月30日。

BHB方案下基金各期的归因结果如下:

综上所述,相比于BHB方案,BF方案的归因过程更加简洁,对超额收益的分解更加清晰。因此,我们后文都将采用BF方案作为Brinson模型的收益分解方式。

多期Brinson模型能对样本期内持仓发生多次变化的组合业绩进行归因

多期Brinson模型对待再投资收益以及单期收益组合的不同处理方式形成多种算法

前文介绍了Brinson模型的BHB和BF两种收益分解方案,上述分析都是基于单期Brinson模型,它假定样本期内基金经理没有调仓,组合没有现金流入和流出。但如果要对一个组合较长的时期里的收益进行分解,并且期间组合的持仓又发生过较大变化时,单期Brinson模型的基本假设就难以适用。因此,我们需要按照持仓变化的实际情况先将较长的时期划分为多个单期,然后在各单期里假设持仓保持不变并进行收益归因,最后将各个单期的归因结果通过一定方式加总得到整个期间里绩效归因的结果,这就是多期Brinson模型实现的基本原理。

在算法设计角度的困难之处在于,多期模型的归因结果并不是把单期模型的配置收益、选择收益进行简单相加,这是由于每个单期的超额收益会在后续所有单期里都产生再投资收益,因此多期模型中的各期超额收益需要进行修正。为此,专家学者们针对多期Brinson模型提出了各种收益修正算法,目的是将再投资收益合理分配到各个单期上,使得经修正后的各单期配置收益和选择收益能够直接相加获得全样本期的配置收益和选择收益。通过梳理前人对Brinson多期模型的研究,我们简单介绍以下几种常见的多期模型算法,各算法的详细推导过程可参考附录。

(1)名义组合复合法:将单期模型的收益分解思路直接应用到多期模型中

将Brinson由单期拓展到多期时,最直接的想法是沿用单期时的计算方法。在单期Brinson模型中,我们构建了资产配置组合和标的选择组合这两个虚拟组合,其与基准组合收益之差值即为资产配置和选股(券)所带来的额外收益。在多期Brinson模型中,我们同样可以构建两个虚拟组合,通过虚拟组合多期复合收益率与基准收益率之间的差值求出多期的配置收益和选择收益。但这种算法不能得到每个单期的收益归因结果,而只能得到整个样本期里的收益归因结果。

(2)AKH算法:引入放缩因子对单期收益进行调整后加总得到多期收益

由于多期Brinson模型的组合收益并不等于单期收益的简单加总,因此AKH算法引入放缩因子对各个单期收益进行调整,使得调整后的单期收益相加后能够等于多期收益。AKH算法中延用了单期Brinson模型中构建虚拟组合来计算资产配置、选择和交互收益的方法,但由于放缩因子在计算时需要用到上一期的组合收益,因此这种算法只能得到除第一期外的单期和多期的收益归因结果。

(3)Carino算法:通过数学上的对数化处理即可构建单期和多期收益间的线性加和关系

在复利情况下,数学上多期收益等于各单期收益的累乘,Carino算法把多期和单期收益的转换公式两边取对数,从而把这种乘积关系转变为加和关系,在过程中引入了化简因子k来简化运算,最终实现将组合超额收益分解为选择、配置与交互收益的求和形式,并能够得到各类资产在各个单期和多期上的归因结果。

(4)Menchero算法:引入常量M和变量α_t以尽可能准确估计单期的收益数值

Menchero算法对于单期收益的调整是通过引入一个固定常量M和一个可变量来实现的。该算法将每个单期的超额收益乘上,并进一步拆分出配置收益、选择收益和交互收益,使得多期的收益可由单期收益加总得到。引入常量M是对单期收益的简单调整,而引入拉格朗日乘子法计算得到的是为了进一步减小单期收益的估计误差,因此Menchero算法能较为准确地修正各单期收益的数值。

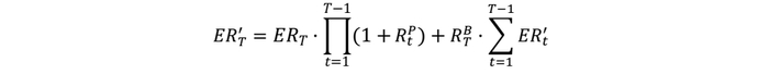
(5)Frongello算法:将再投资收益归属到其实际发生的阶段的递推算法

Frongello算法在调整每个单期的超额收益时,是将再投资收益归属到其实际发生的时间段上,也即组合前期的超额收益在t期产生的再投资收益会算在t期的超额收益中。所以Frongello算法中每期超额收益等于两部分之和:一是投资组合前期累计复合收益在当期的超额收益,二是前期所有超额收益投资于基准组合所产生的再投资收益。Frongello算法采用递推方式来计算收益,因此每个单期修正后的超额收益都由前一期的修正后的超额收益计算而来,其中第一期不需要修正。第T期的修正后超额收益可以表示如下,其中为修正前的超额收益:

(6)GRAP算法:将再投资收益归属到超额收益产生阶段的递推算法

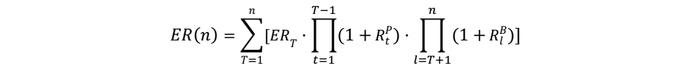
GRAP算法与Frongello算法理念相似,但GRAP算法在调整每期超额收益时认为,前期超额收益所产生的再投资收益应归因到超额收益的产生阶段,而非再投资收益的实际发生阶段,所以GRAP算法在调整当期收益时,既需要考虑前序期间已产生的超额收益,也需要把后续期间的再投资收益给纳入进来,于是可得GRAP算法中n期的多期超额收益如下:

GRAP算法将再投资收益归因到超额收益产生阶段而非发生阶段,超额收益的归属更清晰

选用与前文单期Brinson模型实证部分相同基金和样本期间,计算多期Brinson模型在六种算法下的归因结果。我们采取BF方案作为收益分解方法,并计算了每一期各算法下的选择收益与配置收益,详见下表:

可以看出,不同的算法下的多期Brinson模型结果有显著的差异,其中名义组合复合法只能求出多期的总配置收益和总选择收益,无法得到每个单期的归因结果,更无法得到每个单期的各行业上的归因结果。所以此种算法实际上是一种“伪多期算法”,虽然其思路简单容易理解,但难以进行多期的细致分析。在AKH算法中,多期收益由经放缩调整后的单期收益加总得到,这一定程度上能够体现再投资收益的影响,但是这种调整并不能完全吻合实际再投资收益的数值大小,并且由于放缩因子在计算时需要用到前一期的组合收益,因此AKH算法不能得到第一个单期里的收益归因结果。在其余的算法中,Carino算法将多期与单期之间复利计算的乘法形式取对数化后转化成求和形式,但这仅仅只是通过代数方法进行的数学形式上的调整,重新分配到各单期上的再投资收益可能会跟实际情况不符。Menchero算法存在不具有明确意义的残余项α_t,可解释性较弱且计算相对复杂。

Frongello算法与GRAP算法思想大体相同,均是将超额收益通过恒等变形转化为两部分的收益来进行归因分析。所不同的是,GRAP算法将每一阶段产生的超额收益在后续的再投资收益归因到超额收益的产生阶段,而Frongello算法则是将再投资收益归因到其实际发生的阶段。Frongello算法优势在于在当期做归因时,只会利用到前序的实际组合和基准组合收益,不会受到后续市场的影响,但即便如此,GRAP算法将再投资收益归因到超额收益产生阶段的做法,能够使每期超额收益的组成部分更加合理,归因结果更加可靠。因此,我们认为GRAP算法是构建多期Brinson模型较为合适的算法。

在后文当中,我们将采用BF收益分解方案与GRAP算法作为Brinson模型的实现方法,然后进行基金的绩效归因分析。

BF方案和GRAP算法对股票型基金进行Brinson归因实证示例

前文介绍了Brinson模型的收益分解方案和多期模型算法,我们认为BF方案+GRAP算法是实现Brinson模型的较优方式,绩效归因的结果能较好反映出基金经理实际的投资能力。下面我们将运用Brinson模型来评价基金组合在配置和选择两个维度上的能力。

单期模型:配置收益反映行业配置能力,选择收益体现个股选择能力

对股票型基金,我们继续使用基金A作为研究对象,其他数据处理方面的设定与前文保持一致。其中单期Brinson模型的实证时间为2020年4月1日至2020年9月30日,多期Brinson模型的实证时间与前文保持一致:第一期——2019年6月1日至2019年9月30日;第二期——2019年10月1日至2020年3月31日,第三期——2020年4月1日至2020年9月30日。基金A成立于2009年,基金历史表现优异。其比较基准为沪深300指数*90%+同业存款利率*10%。

由于基金的全部持仓为每半年披露一次,我们无法获取每日的具体持仓,因此只能简单假设2020年6月30日的持仓数据在2020年4月1日至2020年9月30日都保持不变,并且这一假设并不会严重影响归因分析的结果。经过测算,这种假设与实际之间的误差较小:以2020/6/30的持仓计算基金在2020/4/1-2020/9/30的收益率为34.91%,而基金A在该期间内的实际收益率为33.96%,仅相差0.95个百分点。因此以固定持仓代替实际持仓计算基金收益率的误差尚在可接受范围内。对于基准组合沪深300,我们也需要做同样的处理。在2020/4/1-2020/9/30期间里沪深300的成分股权重均以2020年6月30日的为准,据此计算的沪深300区间收益率为25.06%,而沪深300在这6个月里的实际收益率为24.30%,仅相差0.76个百分点。因此这种权重假设所产生的误差在可以接受的范围内。另外在实际分析时,考虑到会有现金仓位的问题,我们将现金作为一类资产和申万一级行业一同进行分析。

首先对基金A在2020/4/1-2020/9/30期间的表现进行单期Brinson模型归因。由下图可以看出,基金A持仓覆盖了16个申万一级行业(不含现金),其重仓行业集中在非银金融、医药生物、银行、食品饮料、家用电器及电器设备,回报率较大的行业包括电气设备、机械设备与化工等。

观察沪深300基准在样本期内的各行业的权重以及加权平均收益率。可以看出,沪深300覆盖了申万一级分类中的27类,远多于基金A。沪深300组合中权重较高的行业有非银金融、食品饮料、银行、医药生物等。加权回报率较大的行业有电气设备、休闲服务、食品饮料等。由于基金组合的行业覆盖不完全,无法计算该行业收益率,因此以沪深300基准组合的行业收益率进行替代,进而计算配置收益和选择收益。

从下图的归因结果来看,该基金在6个月内相对基准共获得12.15%的超额收益,其中0.93%来自于配置能力,11.22%来自于选择能力。鉴于该基金为纯股票型基金,基金管理人通过高配或低配行业暴露所获的超额收益为0.93%,而在各个行业内通过选择个股所获的超额收益为11.22%,因此总体上看,在这一时期里该基金获得的超额收益大部分由基金经理的选股能力贡献,少部分由行业配置能力贡献。

细致观察各个行业的主动权重(即组合权重与基准权重的差值),我们可以看出基金经理的行业配置偏好。该基金在各行业的主动权重基本集中在-6%至6%的区间内,在非银金融、商业贸易、医药生物行业上进行了较高的正向主动配置(即超配),在电子,计算机、食品饮料等行业上进行了较高的负向主动配置(即低配)。

各个行业的两种超额收益对比如下:

从选择收益角度分析,医药生物、商业贸易、电气设备和非银金融行业的主动权重和主动收益都较高,所以产生了较高的选择收益,反映出基金经理在这些行业上的选股能力较强。而公共事业、汽车和食品饮料等行业,负向的选择收益说明基金在这些行业上的选股能力有所欠缺。

从配置收益角度分析,基金经理通过低配一些行业可以获得正向配置收益,这是因为某些被低配的行业其基准收益明显小于总体基准收益,例如通信、建筑装饰和计算机行业。基金管理人低配这些回报率较低的行业,本质上也能体现出其正向的行业配置能力。

综合行业权重与行业收益,该基金获得的12.15%的超额收益主要来自于电气设备、医药生物、非银金融和商业贸易这四个行业。结合前序图表,电气设备、医药生物和商业贸易三个行业均有较高的主动收益和主动权重,但由于医药生物和商业贸易的行业基准收益小于总体的基准收益,因此两个行业的配置收益都为负,只不过选择收益弥补了负向的配置收益,使该行业具有了超额收益。在非银金融行业,由于其行业基准收益与总体基准收益相差不大,因而配置收益较小,超额收益主要是选择收益。电气设备行业的配置收益和选择收益均较高,二者共同贡献了该行业较高的超额收益。另外,我们还注意到该基金在休闲服务行业的配置收益为负,这主要是由于该基金低配了休闲服务,而休闲服务行业在区间内涨势强劲,行业平均收益远高于基准,该基金经理未能抓住这一行业机会。食品饮料行业也存在不当的低配策略导致配置收益不佳,此外食品饮料行业的选股收益也表现较差。休闲服务和食品饮料行业的配置和选股使得该基金的超额收益减少了将近4%。

综上所述,对基金A的单期Brinson归因分析,显示其超额收益主要来源于选择收益而非配置收益,作为股票型基金,其选择收益主要来源于医药生物、商业贸易、电气设备和非银金融等行业上卓越的选股能力。

多期模型:可观察到管理人的行业配置偏好和选股能力的稳定性

下面对基金A进行多期Brinson的归因分析。我们所做实证的三个样本期间为:第一期——2019年6月1日至2019年9月30日;第二期——2019年10月01日至2020年3月31日,第三期——2020年4月1日至2020年9月30日。值得一提的是,如果第一期从2019年4月1日开始计算,因为假定期间内持仓不变,测算出的区间收益率与实际收益率误差较大,会影响我们的归因结果,因此将第一期的起始日调整为2019年6月1日。这也提醒我们在运用Brinson模型进行归因分析时,样本期应该选择合适的长度,以尽可能减小样本期持仓不变的假设对收益归因产生的影响。

首先分析样本期权重不变假设下,测算的区间收益率和实际收益率之间的误差:

(1)在第一期内,假设沪深300组合的权重始终与2019/6/30保持一致,沪深300的区间回报率为-0.77%,同期沪深300的实际回报率为-1.49%,相差0.72个百分点。根据中报权重计算的基金组合的区间回报率为-0.845%,基金的实际回报率为-0.846%,相差0.001个百分点。

(2)在第二期内,假设沪深300组合的权重始终与2019/12/31保持一致,沪深300的区间回报率为-2.51%,同期沪深300的实际回报率为-3.37%,相差0.86个百分点。根据年报权重计算的基金组合的区间回报率为1.82%,基金的实际回报率为0.75%,相差1.07个百分点。

(3)在第三期内,假设沪深300组合的权重始终与2020/6/30保持一致,沪深300的区间回报率为25.06%,同期沪深300的实际回报率为24.30%,相差0.76个百分点。根据中报权重计算的基金组合的区间回报率为34.91%,基金的实际回报率为33.96%,相差0.95个百分点。三期的误差均在可接受的范围之内。

由上图可见,基金A在每一期内的实际回报率都高于其基准的实际回报率,尤其在第二期与第三期,该基金获得了比较明显的超额收益。对全部三期整体的超额收益,我们通过多期Brinson模型得到如下结果:

由上图可知,三期的总超额收益率为17.43%,其中配置收益为0.52%,贡献总超额收益的2.99%,选择收益为16.92%,贡献总超额收益的97.01%。可见在这三期时间里,基金经理的个股选择能力要强于行业配置能力。为了更好地观察管理者在三期中的表现变化,我们进一步计算了各单期的选择收益与配置收益,结果如下:

我们发现,在第一期与第二期市场整体行情不佳、基准收益率为负的情况下,基金经理仍然具有较为稳定的选择收益,其中第三期的选择收益远超第一期、第二期。另一方面,基金经理的行业配置能力并不稳定,配置收益在第一期为负,第三期数值也较小,只有在第二期时对超额收益起到了较为明显的贡献。

为进一步观察三期中基金在各个行业上的选择收益和配置收益,下图展示了各期各行业上的主动权重和主动收益的对比图表,并计算了三期整体的超额收益在各个行业上的分布情况:

从主动权重来看,三期里基金经理在行业偏好上没有太大变化,该基金经理偏好电气设备、电子、非银金融、汽车、商业贸易等行业,低配了食品饮料、公用事业、银行、有色金属等行业。然而由于市场整体行情的变化和行业间的轮动,导致不同期各行业的配置收益变化较大。从选择收益来看,基金经理在大部分行业上都具有较好的选股能力,但是各期的选择收益波动也较大。其中在非银金融、商业贸易、传媒、电子等行业选股能力更加持续且显著。

综上所述,多期Brinson模型的分析表明,基金A能够获得明显的选择收益,基金经理能够有效的利用其个股选择的能力持续为投资者带来超额收益。但就数值大小而言,由于市场本身的波动,无论是选择收益还是配置收益,在时序上的波动都较大。

BF方案和GRAP算法对混合型基金进行Brinson归因实证示例

接下来对偏股混合型基金进行Brinson归因分析,单期模型的研究区间为2020年4月1日至2020年9月30日。多期的研究区间分为三期:第一期——2019年4月1日至2019年9月30日;第二期——2019年10月1日至2020年3月31日,第三期——2020年4月1日至2020年9月30日。我们使用某一偏股混合型基金(称为基金B)作为研究对象,其他数据处理方面的设定与前文保持一致。

单期模型:可分别计算出大类资产配置、行业配置、选股、选券的收益贡献

基金B是成立于2011年的混合型基金,其投资范围广泛,投资于股票、债券、银行存款以及其他类别投资品,给定比较基准为沪深300指数收益率*60%+中证全债指数收益率*40%,基金历史业绩超过同类的偏股混合型基金指数。

混合型基金时由于投资范围的扩大,投资组合由单纯的股票组合变为包含股票、固定收益、现金类产品在内的资产配置组合,因此配置收益是用大类资产权重与收益率来计算,而选择收益则包含了各资产下选股(券)的超额收益。单期Brinson模型的样本区间仍取2020年6月30日中报前后三个月的区间,即2020年4月1日至2020年9月30日,并假定期间内持仓保持为中报数据不变。但对于债券资产来说,中报也只会披露前5大重仓债券,并不能反映基金持有的全部债券,但由于该基金中重仓券权重之和占到基金资产的19.22%,而基金实际投资债券的资产占比为20.15%,因此这种误差在可接受范围内。在股票与债券之外,基金还有10.14%的资产投资于银行存款,1.01%的资产投资于其他品类,但中报里并未对这两项投资的详细情况进行说明。考虑到其他品类占基金资产比重较小,我们将该资产收益率由银行活期存款利率进行简单替代。对于沪深300指数的区间收益和持仓,我们按照与基金组合相同的方法进行处理,假定沪深300成分股和权重在区间内没有变化。债券资产的收益率为中证全债指数的资本利得率与应计票息率之和。

经过计算,基金的股票资产在2020/4/1-2020/9/30区间收益率为43.62%,同期基准收益率为24.40%,存在19.46%的超额收益率。债券投资收益率为0.67%,而同期基准收益率为0.94%,存在-0.27%的超额收益率。初步分析可以看出,基金经理在样本期内股票投资能力较强,债券投资能力稍有欠缺。总体来看,基金组合的收益率为30.40%,而基准收益率为15.01%,基金的实际表现远超基准收益率,超额收益率为15.39%。通过Brinson模型对超额收益率进行分解,可以得到两种收益的结果:

从上图看出,配置收益为2.11%,贡献总超额收益的13.72%;选择收益为13.28%,贡献总超额收益的86.28%。从下表进一步可以看出,选股收益明显,而选债收益为负,说明基金经理的选股能力强于选券能力。观察每一种资产的配置收益和选择收益,由于样本期内股市整体行情表现较好,基金经理采取了相对基准的高配股票低配债券的策略,同时在股票投资中实现了大幅超越基准的主动收益,因此实现了良好的行业配置收益与选股收益。

从大类资产层面分析了混合型基金的配置收益和选择收益后,我们还可以把混合型基金中每个大类资产作为一个待归因分析的组合,例如股票投资组合、债券投资组合等。然后针对股票、债券投资组合分别做Brinson归因分析,从而得到该大类资产更细分的归因信息。例如,将基金B里的股票资产单独作为一只新的股票型基金(实际处理时,考虑到现金的影响,我们加入了10%的现金仓位,剩余90%的权重按比例复制基金B的股票仓位)进行归因分析。我们将分析结果与之前的股票型基金基金A进行对比。

在股票投资层面,图中显示基金B的行业配置收益比基金A的配置收益更为显著,而基金A的选择收益相比基金B略胜一筹。

通过比较每个行业的主动权重与主动收益,可以更加具体地评估出两个基金经理的投资风格。总体来说,基金A更加偏向行业中性,在各行业上的主动权重的绝对值基本都在6%以内,而基金B的行业持仓波动更大,如样本期内明显地高配了医药行业,抓住了疫情后的医药板块行情,从而在行业配置上取得了比基金A更丰厚的收益。对比来看,基金B在休闲服务、银行和食品饮料等行业的配置收益相对更高,而基金A在医药生物、商业贸易、电气设备等行业的选择收益相对更高。

综上所述,单期Brinson归因模型显示,基金B的超额收益大部分来自于选择收益,而选择收益又大部分来自于个股选择的超额收益。从大类资产的角度而言,基金在资产配置上的收益并不明显,但细看股票资产投资的话,会发现股票的选择收益和行业配置收益都相对较优。对混合型基金的分析结果说明Brinson归因模型能够适用于各类投资组合,对资产类别的各个层面进行归因分析。

多期模型:从时序上观察管理人大类资产配置和个股、个券选择的能力

最后我们尝试对基金B进行多期Brinson的归因分析。所研究的三个时间区间与前文保持一致:第一期——2019年4月1日至2019年9月30日;第二期——2019年10月1日至2020年3月31日,第三期——2020年4月1日至2020年9月30日。另外,在进行债券数据提取时,我们发现在某些日期部分国开债的交易中心净价尚未披露,尽管有中证估值对其进行价值的估计,但是该估值仅仅是通过债券的现金流与市场上某一种债券的贴现率计算得来,其实际参考意义较弱。为减小误差,我们取其临近有披露日期的净价来进行计算。我们得到的多期Brinson模型归因结果如下:

基金B在样本期里有明显的超额收益,其三期总超额收益达到了46.48%之多,其中配置收益为0.44%,选择收益为46.04%。并且基金B在三期的超额收益较为稳定。从选择收益方面看,该基金三期的收益均在14%-17%范围内,呈现出稳定的选择能力。但该基金的配置收益并不稳定,在前两期都为负。

下方列表显示,每一期股票的选择收益基本都等于总超额收益,说明该基金的选股能力优秀,而配置能力稍有欠缺。每一期各类资产上的权重及收益情况如下:

从上述图表中可以看出,基金B的超额收益基本来自于股票类资产的选择收益,而其他资产的选择收益以及整体配置收益都相对较少。但高配股票、低配债券的操作在第三期里贡献了可观的配置收益。基金B的债券仓位只有20%左右,约为基准的一半,因此在2020年的股市牛市当中,该基金能够持续的从低配债券的策略中获益。

综上所述,基金B的超额收益主要来自于股票投资,三个期间里的选股收益均占主要部分且非常稳定,在第一、二期基准收益为负的情况下仍能取得可观的超额收益。在大类资产层面,由于基金经理在债券资产不佳时低配债券的操作,使得债券资产贡献了较高的配置收益。

附录:多期Brinson模型算法的详细推导过程

风险提示

模型是历史经验的总结,如果市场规律改变,存在模型归因能力滞后、甚至模型彻底失效的可能;报告中的各类基金只是作为常见基金的举例,并不能完全代表中国或全球市场全部基金的情况,请投资者谨慎、理性看待。

免责声明与评级说明

公众平台免责申明

本公众平台不是华泰证券研究所官方订阅平台。相关观点或信息请以华泰证券官方公众平台为准。根据《证券期货投资者适当性管理办法》的相关要求,本公众号内容仅面向华泰证券客户中的专业投资者,请勿对本公众号内容进行任何形式的转发。若您并非华泰证券客户中的专业投资者,请取消关注本公众号,不再订阅、接收或使用本公众号中的内容。因本公众号难以设置访问权限,若给您造成不便,烦请谅解!本公众号旨在沟通研究信息,交流研究经验,华泰证券不因任何订阅本公众号的行为而将订阅者视为华泰证券的客户。

本公众号研究报告有关内容摘编自已经发布的研究报告的,若因对报告的摘编而产生歧义,应以报告发布当日的完整内容为准。如需了解详细内容,请具体参见华泰证券所发布的完整版报告。

本公众号内容基于作者认为可靠的、已公开的信息编制,但作者对该等信息的准确性及完整性不作任何保证,也不对证券价格的涨跌或市场走势作确定性判断。本公众号所载的意见、评估及预测仅反映发布当日的观点和判断。在不同时期,华泰证券可能会发出与本公众号所载意见、评估及预测不一致的研究报告。

在任何情况下,本公众号中的信息或所表述的意见均不构成对客户私人投资建议。订阅人不应单独依靠本订阅号中的信息而取代自身独立的判断,应自主做出投资决策并自行承担投资风险。普通投资者若使用本资料,有可能会因缺乏解读服务而对内容产生理解上的歧义,进而造成投资损失。对依据或者使用本公众号内容所造成的一切后果,华泰证券及作者均不承担任何法律责任。

本公众号版权仅为华泰证券股份有限公司所有,未经公司书面许可,任何机构或个人不得以翻版、复制、发表、引用或再次分发他人等任何形式侵犯本公众号发布的所有内容的版权。如因侵权行为给华泰证券造成任何直接或间接的损失,华泰证券保留追究一切法律责任的权利。本公司具有中国证监会核准的“证券投资咨询”业务资格,经营许可证编号为:91320000704041011J。

林晓明

执业证书编号:S0570516010001

华泰金工深度报告一览

加载中...