新浪财经

【白酒投资日报】茅台到底值多少钱?DCF告诉你答案

新浪财经

关注

【导语】投资的关键在于选对了赛道,选对了赛道,静待时间的玫瑰绽放。《白酒投资日报》每个交易日8:00准时送达,是您白酒投资路上的小秘书,梳理重要资讯,剖析投资机会。

酒业事件梳理

01.茅台重提世界500强目标。

贵州茅台官方发布茅台集团六届一次职代会暨2021年度工作会消息。据该推送披露,会议明确,“十四五”期间,茅台集团将聚焦“力争将茅台集团打造省内首家世界500强企业”战略目标。

02.茅台股份牛年生肖酒来了

2月4日晚9时,“茅粉”翘首以盼的辛丑牛年茅台生肖酒将在京东线上首发。

自2014年推出甲午马年生肖酒以来,茅台生肖酒集名家国画、书法作品、生肖文化、五行文化及茅台酒文化为一体,被业界看作饮用收藏两相宜的大众纪念酒。每年春节前发布,茅台生肖酒已成为春节最佳用酒礼品。

03.今世缘:停止接收在销版四开国缘销售订单。

今世缘发布通知指出从2月5日起,不再接收在销版四开国缘的销售订单,针对已经接收确认的在销版四开国缘销售订单,将根据配额计划有序供应。

04.江苏省委书记考察今世缘酒业。

2月3日,江苏省委书记娄勤俭赴江苏今世缘酒业股份有限公司考察。今世缘酒业党委书记、董事长周素明表示,今世缘将努力把企业做强做大,为涟水“冲刺百强县”做出更大贡献,为“四个淮安”建设添砖加瓦,为江苏“两争一前列”发挥更好的作用。

05.梦之蓝M6+供货价上调30元。

自2月6日起,洋河对梦之蓝M6+市场供货价统一上调30元。对于价格上调原因,洋河方面表示是为了保障市场供应。

06.黄鹤楼最新智能化生产线改造升级完毕。

近日,在武汉市今年第二场智能化改造推广会上,黄鹤楼酒业有限公司党委委员、总经理助理魏国介绍,公司全新的智能化生产线已经改造升级完毕。黄鹤楼智能化工厂使用智能化改造后,新导入“武汉奋进”智能机器人自动上甑系统,产量翻一倍。

07.1月全国白酒批价指数上涨6.39%。

2月2日,泸州市酒业发展促进局发布2021年1月全国白酒价格指数走势分析。数据显示,1月份全国白酒商品批发价格定基指数为106.39,上涨6.39%。其中,名酒价格定基指数为107.41,上涨7.41%;地方酒价格定基指数为104.85,上涨4.85%;基酒价格定基指数为106.65,上涨6.65%。

08.白酒板块在茅台带领下逆市飘红。

上一交易日,白酒指数涨0.46%,不同于市场偏弱的风格,最近几个交易日白酒板块和指数上下震动剧烈,市盈率(TTM)收至64.63。19家白酒公司12涨7跌,前三名:皇台酒业(+9.98%)、老白干酒(+8.79%)、贵州茅台(+5.98%);下跌前三:顺鑫农业(-2.01%)、山西汾酒(-3.09%)、迎驾贡酒(-3.92%)。

全天北向资金净流入67.71亿元,连续5日的净流入。净买入贵州茅台4346万,净买入五粮液2.45亿,净卖出泸州老窖4.38亿元。尽管港股有所回调,但资金仍然在持续流向港股,流入额度有所减少,上一交易日流向港股的资金达到38.72亿。

何为DCF估值?

随着茅台股价持续走高,其早已经脱离相对估值法(PE、PS、PB等)的上限,不少投资者在“贵州茅台股价是否高估”的疑问中,错过了茅台的投资机会,甚至是白酒板块的投资机会。

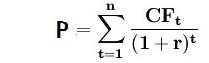
而事实上,相对估值简单易用,但是其并不反映企业的竞争力和未来的预期,仅仅是度过去业绩做相对而言的评估。不少聪明的机构资金都在从更为本质的角度来度量茅台的内在价值。理论上,所有的资产价格,都应该等于它的未来的现金流折现到今天的现值。所以DCF估值法,适用于所有的资产估值,无论是股票还是债券。即:

其中,CF为预计未来每期的现金流,r为折现率。实际中DCF估值法建立在各种假设之上,这主要是指每期的现金流CF(cash flow)。

CF,每期的现金流可以有多种类型,包括经营活动现金流净额(CFO)、公司自有现金流(FCFF)、股东自有现金流(FCFE)等。对于上市公司的股东来说,其持有的股票价值,等于FCFE的折现值和,因此我们使用FCFE作为DCF模型中的CF。

r,即折现率,金钱都有时间价值,5年后的100块钱,现在来说肯定不值100,需要有个折现率将其折算成现在的价值,即现值。关于折现率,针对不同公司的现金流的不同程度的确定性,折现率肯定不一样,参考各公司资本(股权和债务)结构,以WACC(资本加权平均成本)的方式找到相对于这家机构合适的折现率。

t和n,t为每个财报期,即未来预测的每一个财报数据的日期,n即未来所有的期限。按照常识来说,离现在越近的时期,我们预测的越准,越远则准确性越差,因此有不少投资者将模型按照期限分成多段来进行分别预计CF,提升预测的准确性,有两段或者三段,之后接的就是永续经营期。

由于假设预估的要素较多,所以只能模糊预估资产价格,因为你的假设和现实世界总归是有差距的。要根据已知的信息,不断调整模型。随着信息越来越多,模型也越来越准确。

茅台的DCF估值是多少?

以下是付费内容,点击付费购买阅读

免责声明:投资日报中所提到的上市公司只涉及客观信息和市场解读梳理,不作为个股交易依据,敬请投资者注意风险。

扫码添加小秘书微信,领取牛年红包、加入粉丝交流群。

加载中...