新浪财经

中金: 巧识尾部相关性,规避组合系统性风险

中金点睛

关注

来源:中金点睛

本篇报告聚焦于配置组合系统性风险的识别与控制,并从尾部相关性的角度构建了组合系统性风险的监测指标,该指标在国内股债配置以及股/债/黄金的多资产配置组合中具有良好的回撤控制和收益增强效果。   

摘要

系统性风险容易引发配置组合的大幅回撤

配置组合在系统性风险发生期间表现不佳。2020年新冠疫情的全球爆发引发金融体系系统性风险,使得表征风险平价类策略的指数在3月份遭遇了2008年金融危机以来的最大回撤。由于系统性风险无法通过分散化投资来消除,因此其上升时往往造成配置组合的净值出现较大损失。

尾部相关性能够一定程度刻画系统性风险

尾部相关性反映资产极端情形相关性。简单理解,尾部相关性反映了一种资产收益率大于(小于)某阈值的情况下,另一种资产收益率同时大于(小于)某阈值的概率,即两资产同时出现极端同向收益的可能性。

借助Copula函数得到尾部相关系数,量化反映资产尾部相关性。Copula函数是两个资产自身的分布与两资产联合分布之间的一座“桥梁”,不同的“桥梁”刻画了资产不同的收益分布状态,因此可以借助Copula函数来得到尾部相关系数,进而捕捉资产尾部相关性的变化。

尾部相关系数对系统性风险具有刻画效果。对于国内股债来说,当股债两资产的下尾相关系数上升、而上尾相关系数不变时,两资产在未来同时出现收益双负情形的概率显著增加。对于全球资产来说,在系统性风险出现初期,各资产下尾相关系数的平均值会快速上升。

借助尾部相关系数实现组合回撤控制

国内股债配置:有效捕捉“钱荒”出现,实现组合年化收益增强与回撤控制。我们根据尾部相关系数构建了股债双杀预警指标,预警指标历史共触发5次,准确率80%,有效捕捉2013年下半年和2016年底“钱荒”的出现。应用于股债风格配置组合中,可以将组合2013年以来年化收益由10.68%提升至11.67%,同时降低“钱荒”时期的组合回撤。

多资产配置:有效控制回撤基础上提升收益。将预警指标应用于国内股/债/黄金的多资产配置,可以将基准组合的年平均最大回撤降低0.95%,同时将年平均收益提升0.62%。

当前(2021/2/4)股债下尾相关性快速上升,警惕股债双杀的出现

近期股债下尾相关系数快速上升,达到近几年最高值。从2021年1月25日开始,股债下尾相关系数由0开始快速上升,当前(2021年2月4日)已经达到27.52%,为2017年以来的8月以来的最高水平。值得注意以下方面:(1)下尾相关系数的快速上升使我们警惕市场结构的快速变化;(2)上尾相关系数相比下尾相关系数较低,即股债整体表现出较为显著的下尾部相关;(3)债券趋势指标已为负,一旦上尾相关系数变为0,便会立刻触发股债双杀预警指标。

因此在当前时点(2021/2/4),我们从模型的角度认为未来出现股债双杀的概率大幅上升,建议投资者适当考虑降低股债资产仓位,增加货币等安全资产的配置比例。

正文

系统性风险与尾部相关性

系统性风险指的是无法通过分散化投资进行降低或消除的风险。在资产配置组合中,系统性风险的出现对应着大部分待配置资产出现同步下跌的情形,即难以通过对各资产权重的相对调整实现组合净值的增长。

本篇报告聚焦于配置组合系统性风险的识别与控制,并从尾部相关性的角度构建了组合系统性风险的监测指标,该指标在国内股债配置以及股/债/黄金的多资产配置组合中具有良好的回撤控制和收益增强效果。

系统性风险引发配置组合回撤

2020年2月下旬新冠疫情全球爆发,对各国宏观经济带来较大冲击,但同时经历冲击的还有长期以来表现稳定的配置类策略。2020年3月份,表征风险平价类策略整体走势的S&P Risk Parity Index - 15% Target Volatility遭遇-36.08%的最大回撤,之前触及-30%以上的回撤水平还要追溯到2008年,全球金融危机所带来的系统性风险使其最大回撤达到-47.51%。除风险平价类策略,历史回测表现稳定的动量类策略同样在2020年3月份出现较大波动,J.P. Morgan Mozaic II Index在该段时间回撤为-8.71%,达到指数自1996年回测跟踪以来的最大水平,超过了2008年金融危机时期的回撤程度。

图表:S&P Risk Parity Index - 15% Target Volatility在2020年3月份出现较大回撤

资料来源:Bloomberg,中金公司研究部

图表: J.P. Morgan Mozaic II Index在2020年3月份出现历史最大回撤

资料来源:Bloomberg,中金公司研究部

系统性风险使配置组合的风险分散效果显著降低。根据Markowitz的现代投资组合理论,组合风险可以分为两部分:系统性风险和个别风险。个别风险是单一资产波动给组合所带来的风险,投资者可以通过分散化投资来减少个别风险;系统性风险是各资产因外部环境冲击所形成的共振,无法通过分散化投资来消除。因此当系统性风险上升时,通过分散化配置使组合整体风险降低的有效性显著下降。2020年3月份,受流动性和风险偏好双重影响,全球主要可投资资产均出现不同程度下跌,包括在2008年金融危机时期取得正收益的黄金和债券。从而使得风险平价类策略和动量类策略在该段时间的风险分散效果降低,回撤达到或接近历史最大水平。

图表:系统性风险影响组合风险分散效果

资料来源:中金公司研究部

图表:2020年3月份资产下跌情况更为普遍

资料来源:Bloomberg,中金公司研究部

尾部相关性反映资产极端情形相关性

提及配置组合回撤,在组合风险控制时,我们往往关注两个资产同时出现较大跌幅的概率。常用的Pearson相关系数、Spearman相关系数、Kendall 相关系数能够反映两个资产之间价格的变化方向和变化一致性程度,但难以刻画两资产同时出现极端收益的概率。

为反映资产极端情形相关性,学界引入了尾部相关性的概念。简单来说,尾部相关性是一个条件概率,反映了一种资产收益率大于(小于)某阈值的情况下,另一种资产收益率同时大于(小于)某阈值的概率,即两资产同时出现极端同向收益的概率。如令随机变量X,Y表示两资产收益率,则两资产尾部相关系数定义为(Joy, 1997):

λ_U表示两资产同时出现极端正收益的概率,称为上尾相关系数;λ_D表示两资产同时出现极端负收益的概率,称为下尾相关系数。

图表:常用相关系数难以有效反映尾部相关性

资料来源:Google Scholar,中金公司研究部

我们可以通过下面图表所示散点图来直观理解两资产不同收益分布下的尾部相关性情况:

若两资产收益整体正相关,同时散点在第三象限的分布数量与离群值数量多于第一象限,则两资产表现出较强的下尾相关性。

若两资产收益整体正相关,同时散点在第一象限的分布数量与离群值数量多于第三象限,则两资产表现出较强的上尾相关性。

若两资产收益整体正相关,同时第一象限和第三象限中散点的分布数量与离群值数量较多且无显著差异,则两资产表现出较强的双尾相关性。

若两资产收益整体不相关,同时第一象限和第三象限中散点的分布数量与离群值数量较少且无显著差异,则两资产不具有显著的尾部相关性。

图表:不同收益分布下的尾部相关性情况

资料来源:Bloomberg,中金公司研究部

尾部相关系数的计算与系统性风险刻画

我们在上一部分利用散点图的形式,直观展示了两资产不同收益分布下,尾部相关性的表现特征。在本部分,我们具体通过可量化的指标来度量资产尾部相关性,并展示其在刻画系统性风险方面,与常用相关性度量方式的有效性差异。

资产尾部相关性具有时变性

我们在报告《量化配置系列(1):量化配置框架及其在战略配置中的应用》中曾提到,大类资产之间的相关性往往是资产与外生变量之间相关性的客观表现,其取值本质受外生变量所影响。以股债为例,一方面,股票与普通债券均与通胀预期(加息预期)负相关,因此当市场通胀预期上升时,股债价格均会下降,即两者从数量上表现出正相关关系;另一方面,股票与经济增长正相关,而普通债券与经济增长负相关,因此当经济上行时,股票涨而债券跌,两者从数量上表现出负相关关系。资产尾部相关性也不例外,随着外生环境的状态变化以及对资产价格影响程度的变化,资产尾部相关性往往会在不同时段表现出差异性。

图表:资产相关性往往是资产与外生变量之间相关性的客观表现

资料来源:Bloomberg,中金公司研究部

以国内股债配置为例,我们选取了历史上股债尾部相关性变化的典型时期,并通过下面图表所示散点图来直观展示其尾部相关性特征。

下尾相关性:2013年下半年。监管机构稳货币与金融机构加杠杆的博弈结果带来了2013年下半年的“钱荒”,银行体系流动性的缩紧加之货币市场利率上行使股债资产均出现快速下杀,同负离群值数量显著上升。在这一时期,股债资产表现出较为明显的下尾相关性。

上尾相关性:2014年下半年~2015年一季度。经历了2013年的“钱荒”后,2014年货币政策出现较大转折,由高利率去杠杆转向低利率去杠杆,多次降息提升了市场流动性。在此环境下,股债资产走出双牛行情,同正离群值数量显著上升。在这一时期,股债资产表现出较为明显的上尾相关性。

双尾相关性:2004年。在资本市场早期,投资者对利率和政策的认知与反应相对而言存在一定不足。一方面,在过度反映紧缩预期的情况下,2004年利率经历了由超买到超卖的变化;另一方面,对“国九条”解读的分歧使得股市多空双方在2004年周期性处于主导地位。从结果看,股债在2004年表现出了较为明显的同涨同跌性,市场波动的放大也使得同正/同负离群值数量均有所增加。在这一时期,股债资产表现出较为明显的双尾相关性。

无尾部相关:2018年。在外部国际环境恶化以及宏观数据下行的环境下,经济预期与风险偏好主导了2018年的股债走势,两者表现出较强的负相关性,同正/同负离群值数量显著降低。在这一时期,股债资产并没有表现出明显的尾部相关性。

图表:国内股债尾部相关性具有时变性

资料来源:万得资讯,中金公司研究部

借助Copula函数,量化反映资产尾部相关性

Copula函数描述资产收益分布之间的相关关系。Copula函数是数学中描述变量之间相关性的函数,本文在此不对其数学性质做过多讨论[1]。其应用逻辑可以简单理解为:度量两个资产收益分布状态的一般方法是两资产收益的二元联合分布函数,而Copula函数的作用便是为了得到这个二元联合分布函数,其是两资产自身的分布与两资产联合分布之间的一座“桥梁”,给定资产自身单独分布,在不同的“桥梁”下,可以产生不同的联合分布,从而得到资产收益不同分布状态的刻画。用数学语言可以表达为:

其中F(x),G(y)分别为资产自身的收益分布函数;H(x,y)为两资产收益的联合分布函数;C(*,*)为Copula函数,将两资产各自收益分布函数转化为联合分布函数。

图表:Copula函数作为“桥梁”连接单独分布与联合分布

资料来源:Bloomberg,中金公司研究部

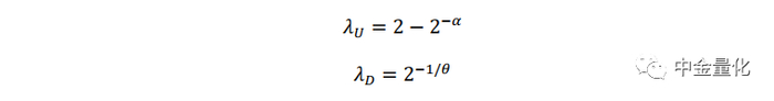
不同的Copula函数可以刻画不同的尾部相关性。在资产自身分布F(x),G(y确定且连续的情况下,资产的联合分布函数H(x,y)与Copula函数C(*,*)具有一一对应关系。因此,我们可以使用不同的Copula函数来刻画资产不同的相关性结构。在实际应用中,我们常用Gumbel Copula来刻画资产的上尾相关性,用Clayton Copula来刻画资产的下尾相关性。

Gumbel Copula函数的形式为:

其中α为待估参数,表征两变量的相关程度。当α趋于0时,两变量u,v趋于完全相关,当α趋于1时,两变量u,v趋于不相关。

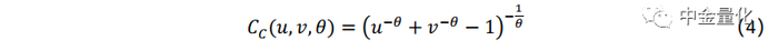
Clayton Copula函数的形式为:

其中θ为待估参数,表征两变量的相关程度。当θ趋于1时,两变量u,v趋于完全相关,当θ趋于0时,两变量u,v趋于不相关。

可以看出,Gumbel Copula与Clayton Copula的待估参数均能表征两资产收益之间的相关程度,但其分别对应了资产收益在不同尾部的相关性,具体来说:

Gumbel Copula的密度函数接近于“◢”型,即在上尾处较高,在下尾处较低。因此,Gumbel Copula对两变量在上尾部的变化更为敏感,能够有效反映资产收益分布在上尾部的变化情况;而其对两变量在下尾部的变化敏感程度较低。即Gumbel Copula的相关参数近似表征两资产的上尾相关性。

Clayton Copula与Gumbel Copula相反,其密度函数接近于“◣”型,即在下尾处较高,在上尾处较低。因此,Clayton Copula对两变量在下尾部的变化更为敏感,能够有效反映资产收益分布在下尾部的变化情况;而其对两变量在上尾部的变化敏感程度较低。即Clayton Copula的相关参数近似表征两资产的下尾相关性。

图表:Gumbel Copula对上尾部变化更敏感

资料来源:中金公司研究部

图表:Clayton Copula对下尾部变化更敏感

资料来源:中金公司研究部

通过Copula函数的待估参数变化,识别资产间尾部相关性变动。如前所述,资产的联合分布函数H(x,y)与Copula函数C(*,*)具有一一对应关系。因此在资产不同的实际联合分布下,Copula函数的待估参数具有不同取值。举例来说,若两资产的实际联合分布由无尾部相关变为下尾相关,由于Clayton Copula相比Gumbel Copula对资产在下尾部的变动更为敏感,因此在每日滚动估计下,其待估参数会更早地出现变动,且变动幅度更为明显;若两资产的实际联合分布由无尾部相关变为上尾相关,由于Gumbel Copula相比Clayton Copula对资产在上尾部的变动更为敏感,因此在每日滚动估计下,其待估参数会更早地出现变动,且变动幅度更为明显。

图表:通过Copula函数的待估参数变化,可以识别资产间尾部相关性变动

资料来源:中金公司研究部

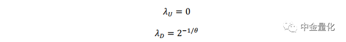
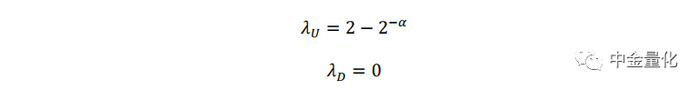
借助Copula函数,量化定义资产尾部相关性。我们前文公式(1)、(2)中定义了资产上尾相关系数和下尾相关系数。可以证明[2],若资产收益的联合分布由Gumbel Copula表达,则两资产上尾、下尾相关系数分别为:

若资产收益的联合分布由Clayton Copula表达,则两资产上尾、下尾相关系数分别为:

综合两者对尾部相关性反映的敏感性差异,我们定义资产的上尾、下尾相关性分别为:

其中α、θ分别为公式(3)、(4)中,Gumbel Copula与Clayton Copula的待估参数。

我们以60个交易日为窗口,每日滚动计算国内股债Copula尾部相关系数,其中股票使用沪深300指数,债券使用中债综合财富指数。从结果看,我们在图表中以散点图举例的股债尾部相关性变化典型时期,Copula上尾/下尾相关系数确实表现出了对应特征:

下尾相关性:2013年下半年。下尾相关系数率先开始上升,且上升速度与幅度强于上尾相关系数,最终下尾相关系数上升到较高水平,上尾相关系数始终保持较低水平。

►上尾相关性:2014年下半年~2015年一季度。上尾相关系数与下尾相关系数几乎同时开始上升,但上尾相关系数的上升速度与幅度显著强于下尾相关系数,最终上尾相关系数上升到较高水平,下尾相关系数始终保持较低水平。

►双尾相关性:2004年。上尾相关系数与下尾相关系数几乎同时开始上升,且上升速度与幅度接近,最终两者均上升到较高水平。

►无尾部相关:2018年。除上尾相关系数短暂小幅上升外,其余时间两相关系数均为0。

图表:Copula尾部相关系数能够捕捉国内股债尾部相关性变化典型时期

资料来源:万得资讯,中金公司研究部。股票使用沪深300指数,债券使用中债综合财富指数。

尾部相关系数对系统性风险具有刻画效果

业界常流传的一种说法是:金融危机等系统性风险出现时,各资产下尾相关性会快速上升。因此,若我们在上一节所介绍的Copula尾部相关系数能够有效刻画系统性风险,则可以通过监测各资产尾部相关系数的变化情况,尽早判断系统性风险的出现,从而通过将仓位转移至安全资产等方式来控制组合回撤。

图表:尾部相关系数通过刻画系统性风险,间接实现组合回撤控制

资料来源:万得资讯,中金公司研究部

对于国内股债,单独下尾相关系数上升时,股债收益双负情形显著增加。以沪深300指数作为股票资产,中债综合财富指数作为债券资产,我们分别统计了以下情景中,股债资产在下一日的平均收益率:①历史所有时间;②下尾相关系数不为0时;③下尾相关系数不为0、且上尾相关系数为0时;④Pearson相关系数为正时;⑤Spearman相关系数为正时;⑥Kendall相关系数为正时。从结果看,当下尾相关系数不为0、且上尾相关系数为0,即单独下尾相关系数上升时,股债在下一日的平均收益均显著为负,意味着股债收益双负情形显著增加。

图表:单独下尾相关系数上升时,股债收益双负情形显著增加

资料来源:万得资讯,中金公司研究部

对于全球资产,系统性风险出现初期,下尾相关系数会快速上升。我们计算了全球主要可投资资产两两之间下尾相关系数平均值的变化。从结果看,在系统性风险出现初期,如2008年金融危机时的1月份以及2020年新冠疫情爆发时的2月下旬,资产下尾相关系数平均值会快速上升。特别地,资产下尾相关系数在2020年2月下旬的上升速度更加迅速,从而使得前述动量类策略在2020年3月出现历史最大回撤。

图表:系统性风险出现初期,资产下尾相关系数平均值快速上升

资料来源:万得资讯,中金公司研究部

根据本文前面的分析,我们证明了(1)系统性风险的出现会引发配置组合的较大回撤;(2)Copula尾部相关系数可以量化反映资产尾部相关性,进而刻画系统性风险的出现。因此,我们希望借助Copula尾部相关系数来构建相关指标,进行组合的回撤控制。

巧识尾部相关性,实现组合回撤控制

我们已经知道,系统性风险往往造成组合出现较大回撤,而尾部相关系数对系统性风险的出现具有一定的反映效果。因此,我们可以通过动态监测尾部相关系数的变化来构建相关指标,实现组合回撤控制。

国内股债配置:有效捕捉2013年下半年和2016年底“钱荒”

2013年下半年和2016年底的“钱荒”是近些年比较显著的股债双杀

对于国内配置型投资者来说,如果够尽早识别股债双杀现象的出现,则能够通过仓位控制规避组合净值损失。股债双杀往往来源于金融体系内的流动性趋紧,从历史看,近些年国内比较显著的股债双杀主要出现过以下2次:

►2013年6月~2013年12月。在经历了2009年的四万亿人民币经济刺激后,宏观调控逐渐收紧,在此环境下,银行业务向表外和同业倾斜幅度增强,期限错配愈发严重,杠杆进一步加大。为防范金融风险,国家在2013年上半年明确了去杠杆的大方向,监管机构稳货币与金融机构加杠杆的博弈结果带来了2013年下半年的“钱荒”,银行体系流动性的缩紧加之货币市场利率上行使股债资产均出现快速下杀,造成了近些年第一次流动性股债双杀。

►2016年12月。美联储加息提升了全球资金价格上涨预期,同时引发资金由新兴市场向美国回流,叠加国内因房地产调控所引发的去杠杆担忧,金融体系内的流动性在2016年底始终处于紧张状态,造成国内股债在12月份出现短期较大下跌,引发近些年第二次流动性股债双杀。

通过尾部相关系数构建股债双杀预警指标

根据我们在上一章中的研究,当下尾相关系数上升、且上尾相关系数不变时,股债收益双负情形显著增加。因此,我们可以借助尾部相关系数来构建指标预判股债双杀出现。具体来说,当满足以下三个条件时,触发股债双杀预警指标:

►下尾相关系数大于0。下尾相关系数大于0是股债资产表现出下尾相关性的必要条件,预示着股债双杀出现概率较大幅度增加。下尾相关系数使用过去60个交易日数据计算。

►上尾相关系数等于0。在市场波动较大时,股债收益率往往出现较多的同正离群值和同负离群值,此时下尾和上尾相关系数均大于0,即偏向于双尾相关。为区分下尾相关性和双尾相关性,我们要求上尾相关系数必须等于0,从而保证下尾相关系数为0时,大概率可以对应到真正股债双杀时期。上尾相关系数使用过去60个交易日数据计算。

►股债资产其中之一处于下跌趋势。为避免短期扰动所带来的在两资产均处于上涨趋势时所发出的错误信号,我们要求股债资产其中之一处于下跌趋势。趋势使用标准DIF值(12日移动平均-26日移动平均)计算。

触发股债双杀预警指标后,当满足以下两个条件时,解除股债双杀预警指标:

►下尾相关系数等于0。下尾相关系数等于0保证资产当前已不再处于下尾相关状态,预示着股债双杀出现的概率已大幅降低。

►债券资产处于上涨趋势。从历史数据来看,债券资产的趋势存在性和稳定性要强于股票资产,因此当债券资产处于上涨趋势时,大概率股债双杀已经结束。趋势同样使用标准DIF值(12日移动平均-26日移动平均)计算。

融合股债双杀预警指标的配置策略可以增强组合收益并控制组合回撤

股债双杀预警指标历史共触发5次,准确率80%,有效捕捉2013年下半年和2016年底“钱荒”。根据以上规则,预警指标历史共触发5次,分别为2004年10月20日、2006年6月14日、2008年9月12日、2013年6月20日、2016年12月12日。除2008年那次外,其余时间预警指标均能有效实现股债双杀判断。特别地,对于2013年下半年和2016年底的两次“钱荒”,预警指标能够进行及时捕捉。

图表: 股债双杀预警指标可以有效实现股债双杀判断

资料来源:万得资讯,中金公司研究部

我们将股债双杀预警指标与月末调仓的风险平价模型(目标波动8%)进行结合:当预警指标触发时,第二日将股债仓位转移至货币资产,预警指标结束时,第二日继续按照风险平价模型进行股债配置。

股债双杀预警指标可以增强组合收益并控制组合回撤。从结果看,除2008和2017年外,在其它预警指标触发所影响的年份,加入预警指标的策略均可跑赢基准,同时大概率可以降低当年的最大回撤。2008年表现不佳的原因在于预警指标发出了较晚的错误信号,2017年表现不佳的原因在于2016年底触发的预警信号在2017年解除时已处于股债下跌后的反弹期,因此预警指标对2017年的收益有略微影响,但总观预警指标触发期(2016/12/12至2017/3/27)的收益,加入预警指标的策略能够取得相对基准的超额收益。

图表:单独下尾相关系数上升时,股债收益双负情形显著增加

资料来源:万得资讯,中金公司研究部

图表:2004年10月预警指标有效判断股债双杀

图表:2006年6月预警指标有效判断股债双杀

图表: 2013年6月预警指标有效判断股债双杀

图表:2016年12月预警指标有效判断股债双杀

图表:2008年9月预警指标发出错误信号

资料来源:万得资讯,中金公司研究部

我们在2020年12月25日发布的报告《外生环境、内生结构、趋势动量在收益预测中的有效结合》中,基于多维度的收益预测信号构建了股债风格配置策略,我们进一步将股债双杀预警指标应用于该策略。具体来说,当股债双杀预警指标触发时,在下一交易日将所有仓位转移至货币基金,当股债双杀预警指标解除时,在下一交易日按原策略给出的比例来配置资产。从结果看,加入股债双杀预警指标后,策略从13年至今的年化收益由10.68%提升至11.67%,同时有效降低13年6月份以及16年底两次股债双杀时期的策略回撤。

图表:股债风格配置策略中加入股债双杀预警指标可以有效提升收益

资料来源:万得资讯,中金公司研究部。统计时间:2013/01/01至2021/1/31

多资产配置:有效控制回撤基础上提升收益

借助尾部相关系数构建多资产回撤控制策略

我们将尾部相关性的应用场景由国内股债配置转变为国内股、债、黄金的多资产配置。上一部分我们根据股债资产的尾部相关系数定义了股债双杀预警指标,使用完全相同的方法,我们可以定义股金双杀预警指标和债金双杀预警指标。

有了资产两两之间的预警指标后,我们可以构建多资产配置时的回撤控制策略。在此,我们以股债金配比为2:6:2的基准组合为例,展示回撤控制策略的具体方法:

每日监控资产两两之间的预警指标是否触发,统计每日预警指标触发数量n。

若n=0,则按照2:6:2的基准比例配置沪深300、中债综合财富指数和黄金现货。

若n=1,则将触发预警指标的两资产仓位转移至货币基金,未触发预警指标的资产仍维持基准配置比例。

若n>=2,则100%配置货币基金。

多资产回撤控制策略在有效控制回撤的基础上提升收益

回撤控制策略可以将年平均最大回撤降低0.95%,同时将年平均收益提升0.62%。从回测表现看,回撤控制策略相比基准组合在近一半的年份(8/17)实现了最大回撤的下降,仅在2010年出现了回撤的上升,年平均最大回撤比基准组合低0.95%,回撤控制效果良好。与此同时,回撤控制策略在60%以上的年份(11/17)实现了收益增强,年平均收益比基准组合高0.62%,在收益端同样表现较好。

图表:策略在回撤控制和收益增强方面均有较好表现

资料来源:万得资讯,中金公司研究部。统计时间:2004/04/01至2020/12/31

图表:回撤控制策略历史回测净值

资料来源:万得资讯,中金公司研究部。统计时间:2004/04/01至2020/12/31

当前(2021/2/4)股债下尾相关性快速上升,警惕股债双杀的出现

从2021年1月25日开始,股债下尾相关系数由0开始快速上升,当前(2021年2月4日)已经达到27.52%,为2017年以来的8月以来的最高水平;同时,上尾相关系数当前不为0,即无法触发前文所定义的股债双杀预警指标。但值得注意的是:(1)下尾相关系数的快速上升使我们警惕市场结构的快速变化;(2)上尾相关系数相比下尾相关系数较低,即股债整体表现出较为显著的下尾部相关;(3)债券趋势指标已为负,一旦上尾相关系数变为0,便会立刻触发股债双杀预警指标。

因此在当前时点(2021/2/4),我们从模型的角度认为未来出现股债双杀的概率大幅上升,建议投资者适当考虑降低股债资产仓位,增加货币等安全资产的配置比例。

图表: 当前下尾相关系数快速上升,警惕股债双杀出现

资料来源:万得资讯,中金公司研究部。统计时间:2018/01/01至2021/02/04

总结与展望

系统性风险的出现往往带来配置组合的较大回撤,而尾部相关性对系统性风险具有一定的反映效果。本文借助Copula尾部相关系数量化定义了资产尾部相关性,并根据尾部相关系数构建了资产系统性风险监测指标,该指标在国内股债配置以及股/债/黄金的多资产配置中均有良好的回撤控制和收益增强效果。

除系统性风险外,非系统性风险同样会影响组合的回撤水平。因此在后续报告中,我们将针对非系统性风险与组合回撤之间的关系展开研究。

[1] 有兴趣的读者可参考“韦艳华, 张世英.Copula理论及其在金融分析上的应用[M]. 清华大学出版社, 2008.”

[2] 详见“NelsenR B . An Introduction to Copulas[J]. Technometrics, 2000, 42(3).”

文章来源

本文摘自:2021年2月5日已发布的《量化配置系列(3):巧识尾部相关性,规避组合系统性风险》

分析员 刘均伟 SAC 执业证书编号:S0080520120002

分析员 王汉锋 SAC 执业证书编号:S0080513080002 SFC CE Ref:AND454

法律声明

向上滑动参见完整法律声明及二维码

加载中...