新浪财经

【国盛量化】宏观逻辑的量化验证:深入股债相关性的本质和预测 | 量化专题报告

新浪财经

关注

来源:留富兵法

报告摘要

股债相关性的本质来源于其共同的定价模式:DDM。通常认为股债相关性与经济周期相关。然而为何股债相关性会与经济周期相关?主要原因在于:股债相关性的来源本质是由于其定价都依赖于未来现金流和折现率,也即DDM模型的分子分母。本报告给出了各类因素通过DDM模型到股债相关性的传导路径。

本报告论证了高频相关性不具有低频观点传导作用。由于金融时间序列的非严平稳、自相关性、滞后交叉相关性,高频相关系数与低频相关系数是完全不同的。从而导致了正确的A资产月频收益方向预测和正确的AB资产日频相关性预测的结合理论上无法推出正确的B资产月频收益方向预测。

股债相关性的预测意义:通过减少股债配置回撤增加总收益。通过熵池模型构建股债配置模型,我们验证了相关系数的预测可以通过减少股债配置的回撤增加股债配置的收益。但相关系数的预测并非时时刻刻都能贡献出积极影响,仅在一些关键的时刻发挥作用。

海外股债相关性经历了由正变负的“机制转换”,其具有四大驱动因素。美国等发达国家市场的股债相关性历史上发生过明显的“机制转换”。60年代至90年代前期股债相关性基本为正,1997年后期股债相关性基本为负。主要原因在于通胀预期、政策超预期、经济周期、风险偏好四个因素的强弱变化,学术上同样将这四类因素认为是股债相关性的主要驱动因素。

本报告探讨了我国股债相关性驱动框架,并构建了预测模型。通过宏观逻辑的量化验证,我们验证了我国股债相关性也同样受到上述四大驱动因素的影响,并找到了相关代理指标。通过ARIMAX模型构建的预测模型样本内胜率达到70.28%,样本外胜率在90%左右。

本报告进一步丰富了基于认知融合与风险匹配的资产配置体系。我们认为资产配置的本质困境在于我们对于资产未来的收益风险分布认知不足。因而通过1)不断提升对资产收益风险分布的认知;2)将各种形式的认知科学统一的量化融合;3)匹配认知水平与风险偏好,我们构建了基于认知融合与风险匹配的资产配置体系。

一、股债相关性:古老而陌生的话题

1.1. 股债相关性解构

1.1.1. 股债相关性的本质来源

股债相关性衡量的是股票资产和债券资产收益波动的同步性,其在资产组合风险管理中一直处于重要位置,然而却极少有报告对其特点结构进行深入剖析。本报告将对其进行多维度的探讨,以作抛砖引玉之用。

通常认为股债相关性与经济周期相关。以Naive美林时钟框架来说,“复苏”和“滞胀”大致对应股债正相关,“过热”和“衰退”大致对应股债负相关。

然而为何股债相关性会与经济周期相关?主要原因在于:股债相关性的来源本质是由于其定价都依赖于未来现金流和折现率,也即DDM模型的分子分母。这两者同时受到经济周期波动和货币政策变化的影响,进而使得股债出现了相关性。

我们对股债DDM模型进行进一步剖析。分子部分股债定价模型的区别在于:股票的分子是可变的,且为慢变量,债券的分子是基本不变的。分母部分股债定价模型的区别在于:股票的折现率为无风险收益率+风险溢价,债券的折现率为无风险收益率+期限溢价+信用溢价。股票和债券定价公式的分母部分都是快变量。

因而股债相关性的所有分析都可以基于这些因素。当某一因素仅影响了其中一个资产时,股债相关性将下降,当某一因素同时影响了两个资产时,股债相关性将上升。我们在下表中简单举例阐述影响路径和导致的股债相关性结果,当然实际情况一般是多个因素同时作用的综合结果:

1.1.2. 不同频率Pearson相关系数的关系

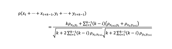
资产收益率序列的Pearson相关系数在不同计算频率下有所区别。我们按照滚动1年的区间长度,采用日频、月频(间隔)、月频(重叠,Overlapping)三种方式计算沪深300与中债总财富指数收益率序列的相关系数,可以看到三者趋势相近但细节上差异较大,特别是日频和月频的相关系数(月频下采用间隔法计算的相关系数基本仍然围绕采用重叠法计算的相关系数波动)。导致此差异的主要原因在于时间序列的自相关性和交叉滞后相关性。

从理论推导来说,在时间序列的严平稳(平移不变性)假设下,资产收益率长区间相关系数和短区间相关系数具有如下关系式:

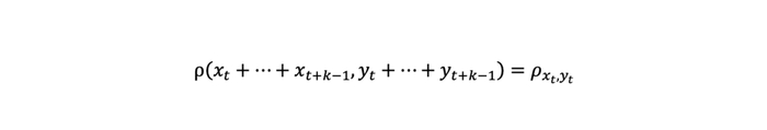
可以看到当单一资产收益率序列没有自相关性,资产之间也不存在滞后交叉相关性时,长区间相关系数才等于短区间相关系数:

一般情况下,这种条件在真实金融资产收益率时间序列中较难满足,导致两者并不相等。两者不相等的一大后果是区间资产日频收益率相关系数与区间资产累计收益率方向同步性无显著关系,也就是说日频相关性为正未必代表两者区间累计收益同向,反之日频相关性为负未必代表两者区间累计收益异向。我们检验了沪深300和中债总财富指数2002年以来单月的日频相关系数和单月累计收益同步性,发现两者仅有49.33%的概率是一致的。换句话说:正确的A资产月频收益方向预测和正确的AB资产日频相关性预测的结合能否直接得到正确的B资产月频收益方向预测?答案是:不知道。仅在相关性频率与观点频率一致的情况下观点对于相关性才有传导作用,而未来瞬时的低频相关性估计本身就是一个难题。

1.1.3. Pearson相关系数更依赖于尾部样本

从相关系数的计算角度,我们可以通过重构相关系数的组成进一步理解总体相关性方向与单期样本方向一致性之间的关系:

可以看到单期相关性对总体相关性的贡献取决于单期样本所携带的信息量。也就是说,偏离均值越远的样本对相关性的贡献越高。尾部样本更大的决定了相关系数,而中心样本(均值附近的样本)对相关性影响更小。一个尾部样本可能需要许多个同向中心样本才能提供等价的贡献,因而Pearson相关系数对厚尾分布更为敏感,在防范投资风险当中具有显著意义,因为决定投资收益的并不是信息量较小的样本,而往往是那一两个尾部样本。

1.2. 股债相关性预测对资产配置的意义

时变的股债相关性对资产配置提出了挑战,一种机制下的合理配置在另一种机制下可能会有巨大的风险。因而股债相关性的预测势必会对资产配置产生积极的作用。我们以熵池模型为例说明股债相关性预测对资产配置的意义,有关熵池模型的细节详见我们之前的报告:《BL模型的泛化扩展:熵池模型之理论篇》

从概率优化的角度我们构建了一个简单的股债配置策略,在此策略基础上我们假定能够精准预测未来股债相关系数,并将其通过熵池模型输入到资产收益率分布中,下面我们对比两种策略的效果。策略的基本设定如下:

配置资产:沪深300、中债国债总财富指数

调仓频率:月频

调仓成本:0.5%

配置目标:使得单月风险事件发生概率最小化:

min P(月末收益<0.5%,月中回撤<-0.5%)

先验分布:过去半年资产日频收益率的经验分布

输入观点:未来一个月的实际股债相关系数

输入方式:熵池模型

从回测结果来看,输入了精确的相关系数观点后的配置策略年化收益从6.77%提升到了8.10%,最大回撤由-5.72%减少到-4.42%,且从动态回撤可以看到预测了相关系数的策略收益并没有受到太多影响,而其动态回撤基本小于不预测的情况。相关系数的预测通过减少股债配置的回撤增加了股债配置的收益。但同时我们看到,相关系数的预测并非时时刻刻都能贡献出积极影响,仅在一些关键的时刻(如2017年、2018年)发挥作用。

从熵池模型的角度来理解,相关性的正确预测给资产分布加入了“新的信息”,对资产分布做了熵减,势必对资产配置结果有所增益,换成其他配置模型也是一样的,只不过不同配置模式对其利用效率有所区别。

二、股债相关性建模与预测

2.1. 海外股债相关性演变

2.1.1. 美国股债相关性演变及其主要驱动因素

美国市场的股债相关性历史上发生过明显的机制转换(Regime switch)。60年代至90年代前期股债相关性基本为正,1997年后期股债相关性急转直下,2000年之后股债相关性基本维持在负数。

当时的这种股债相关性长期转负的现象来源于美联储以及其他发达国家央行对通胀的控制和锚定。上世纪70年代由于石油危机等因素的影响,美国进入了高预期通胀的阶段,根据我们第一节提出的框架,高预期通胀本质会同时影响股债定价的折现率,也就会使得股债呈现正相关性。1979年Paula Volcker出任美联储主席,改“价格调控”为“总量调控”,通过控制货币总量降低总需求,在1997年终于完全的抑制住了通货膨胀。

通胀控制的成功使得资产价格波动愈发依赖于市场对经济强弱变化的预期以及市场风险偏好的变化,而非高通胀预期以及通胀控制政策带来的对于分母端的直接影响,从而使得股债相关性变负。我们将此过程展示在下表中:在通胀控制之前前两类因素占主导,但是在通胀控制政策成功实施后,前两个因素的影响减小,仅剩增长预期与风险偏好,因而股债负相关性开始占主导。

2.1.2. 其他国家股债相关性演变及其主要驱动因素

90年代股债相关性的机制转换不仅仅发生在美国,实际在其他发达国家包括日本、德国、法国、英国、加拿大、意大利等都发生了类似的变化。主要驱动因素与美国相同,都来自通货膨胀预期的明显下降。

日本的股债相关性切换发生时间相对其他发达国家更早,前者在90年代初后者在90年代末。主要原因在于1990年日本股市泡沫破灭,开始进入“失去的十年”,对于高通货膨胀的预期同样也随之消失,因而日本的股债相关性切换较早。

2.2. 股债相关性的理论模型与影响因素

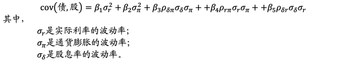
学术上对于股票和债券相关性的讨论同样聚焦于股债定价方式的讨论。耶鲁大学的Lingfeng Li曾在“Macroeconomic Factors and the Correlation of Stock and Bond Returns”(2002)中提出了股债相关性的理论决定因素模型。模型首先设计了股债作为资产大类的定价仿射模型(Affine Model),并由此推导出了股债协方差模型(具体推导详见相关论文):

可以看到在这个仿射模型中,股债相关性主要与以下因素有关:实际利率不确定性、通货膨胀不确定性、实际利率/通货膨胀/股息率三者的协方差。这几个因素的互相制衡最终决定了股债相关性的大小。其中股息率的波动率含义中美之间具有明显的差距,美国的股息率中枢相对稳定,存在明显的均值回复特征,而中国的股息率当中分母的波动占主导,因而可能更多的由股票市场的波动率主导,我们倾向于使用股票特质波动代替

除此之外Lingfeng Li的模型中股债定价都受到不可预期通胀的影响,因而不可预期通胀不确定性与股债相关性也有直接联系。本报告将Lingfeng Li以及其他关于股债相关性的重要论文中总结的影响因素整理如下:

其中的“Flight-to-quality”效应即指传统的“股债跷跷板”效应。当股债预期收益率差别较大,或者股债预期风险差别较大时(同时风险偏好变化),资金就会从收益率低的流向收益率高的,从风险高的流向风险低的,从而导致股债负相关性的出现。

总结来说,学术研究对于股债相关性的驱动因素主要可以归结为四类:经济周期、风险偏好(比价关系)、通胀预期、政策超预期。其中经济周期和风险偏好推动股债相关性向负值移动,通胀预期与政策超预期推动股债相关性向正值移动,股债相关性将是这四股力量相互作用的最终结果。

①“经济周期”因素可以由传统美林时钟解释,对于股债定价分子分母都可能发生一定的影响,主要是对于股票定价分子的影响;

②“风险偏好”因素即“Flight-to-quality”效应,与股债性价比、避险需求等因素相关,主要是对于股票定价分母中的风险溢价的影响;

③“通胀预期”因素是指通胀预期、不可预期通胀、实际利率等变化带来的折现率变化,主要影响的是股票、债券定价分母中的无风险收益率;

④“政策超预期”因素是政府的逆周期调节及其可预期性。比如滞胀时期为了控制通胀而采取的紧缩政策(70-80年代美联储主席Paul Volcker改革),比如衰退时期为了促进经济而采取的宽松政策(2008金融危机下的QE,2020年疫情危机下的QE),这类政策如超出市场预期,则本质是对股票、债券定价分母中的无风险收益率预期的直接调整。

2.3. 我国股债相关性影响因子筛选

学术论文大多讨论的是美国或其他发达国家的股债相关性,然而我国与美国等发达国家在市场环境、经济结构、政策目标、政策工具等方面有明显的区别,因而股债相关性驱动因素的合适代理因子可能也不尽相同。本节将通过因子-资产匹配方法筛选对于我国股债相关性择时较为有效的宏观因子,并构建基础回归预测模型,然后通过逐一添加学术因子的方式检验学术论文中构造的因子在我国的有效性,如有效才予以保留。所有因子的数据处理以可得性为原则。

2.3.1. 我国股债相关性历史表现

我国滚动1年股债相关性历史上绝对值相对发达国家较小,2017年以前基本在-0.2到0.2之间。2017年我国股债相关性也经历了类似发达国家90年代“机制转换”的情况。单月相关系数在2017年8月突然大幅转负,后持续处于负值。具体原因难以验证,我们给出对此“机制转换”的若干猜想,有待未来验证:

猜想1:经济增长率波动降低后对于通货膨胀不确定性预期的下降达到一定阈值,股债正相关性减弱。

猜想2:外资进入、非标产品受限及我国金融市场机构化后对于股债比价关系重视程度上升,股债跷跷板效应增强,股债负相关性增强。

猜想3:政策水平上升带来的政策预期稳定性上升,股债负相关性增强。2017年是金融严监管开端年,政府对金融市场乱象的专项治理代表着以前偏粗放式的政策方式变得越来越可预期,政策摆幅下降。

2.3.2. 宏观因子检验与筛选

宏观因子的筛选我们通过之前的报告:《宏观逻辑的量化验证:映射关系混沌初开》中的择时策略检验法在宏观数据库中筛选有效的指标。筛选所使用的样本内数据截止到2019年底,具体验证方法详见报告。检验过程详见报告,最后得到有效因子如下:

1、工业企业:亏损企业亏损额:累计同比

2、工业企业:产成品存货:累计同比

3、社会消费品零售总额:当月同比

4、债券发行量:短期融资券:当月值

5、债券发行量:超短期融资券:当月值

根据以上筛选到的宏观因子,我们首先采用ARIMAX模型构建基本的回归预测模型。之所以采用ARIMAX模型主要原因在于股债相关性序列本身具有“自相关性”。具体的我们采用(p,d,q)=(1,0,6)的ARIMAX回归。样本内数据为2002.03-2019.12,样本外数据为2020.01-2020.10。回归得到的模型样本内择时胜率为66.98%,显著大于每个单因子的择时胜率。模型样本外胜率100%。可以看到模型从2016年起胜率显著上升。

2.3.3. 学术因子检验与筛选

在宏观ARIMA模型的基础上,我们对学术因子进行一一检验,学术因子的构造和检验过程详见报告。在检验后我们纳入三个学术因子:预期通胀(长期)不确定性、不可预期通胀不确定性、股票特质波动。纳入后的ARIMAX(1,0,6)-7因子模型的样本内胜率达到70.28%,样本外胜率在90%,R方达到22.24%,调整后R方达到16.29%。

整个建模的过程我们也间接验证了,我国股债相关性确实同时受到经济周期、风险偏好、通胀预期以及政策超预期的影响。通过宏观逻辑的量化验证,我们找到其相应的可能代理指标如下图所示。需要注意的是可能代理指标仅是充分代理指标,但未必是必要代理指标,在不同的阶段可能不同。

三、基于认知融合与风险匹配的资产配置体系

3.1. 资产配置的本质困境及应对方式

经过两年多的研究,我们已形成一套基于认知融合与风险匹配的资产配置体系。在这套体系中,我们认为资产配置的本质困境在于我们对于资产未来的收益风险分布认知不足。无论是主观判断还是基于量化模型判断,对于未来的认知不足将导致我们不敢下注或者下错注。其中,究竟是不敢下注还是下错注,取决于我们的风险偏好。

那么如何应对这种困境?我们认为有两种方法:

1)提升对资产未来分布的认知

2)降低风险偏好抵御未知世界

第一种方法较好理解,通过研究和构建预测模型,我们可以提高对于资产未来收益风险分布的认知,不论是基本面逻辑还是交易面逻辑,逼近未来真相带来的信息将给配置决策带来毋庸置疑的增量。

第二种方法描述的是对于不同质量信息的利用能力。假设我们对于未来完全未知,对于不确定性没有任何科学利用能力,那么我们可以将风险偏好降到最低,也就是持有现金,这对于当下的我们也是较好的配置策略,因为至少不会亏钱。这个过程本质是我们仅利用了100%胜率的信息,即现金的预期收益100%为0%的信息。而这个世界充满着30%胜率、50%胜率、70%胜率等等的信息,取决于我们怎么利用。

综上所述,基于认知融合与风险匹配的资产配置体系主要的目标有三:

1)不断提升对资产收益风险分布的认知(宏观模型、交易模型、风险模型)

2)将各种形式的认知科学统一的融合(熵池模型)

3)认知水平与风险偏好的匹配(风险优化模型)

针对第一点,我们当前已构建了利率方向预测模型、黄金收益率方向预测模型、股债相关性预测模型。权益方面我们原本希望通过债券收益率和股债相关性的预测可以推导出权益观点,但本报告第一节已证明其不可行,三者基本独立。因而我们单独对权益资产进行研究建模,目前已构建A股情绪指数、景气度指数。

相关报告:

《宏观逻辑的量化验证:国债利率先行指标体系构建》

《宏观逻辑的量化验证:黄金的逻辑与估值模型构建》

《宏观逻辑的量化验证:深入股债相关性的本质与预测》

《视角透析:A股情绪指数构建与观察》

《视角透析:A股景气度指数构建与观察》

针对第二点,我们采用熵池模型能够很好的融合几乎任意形式的观点,且其能够利用各种胜率的观点,无论是55%还是75%,只要胜率大于50%,其就能给资产配置模型带来加成。熵池模型打开了资产配置的Alpha端,在各种回测中我们已经证明了这一点。

相关报告:

《BL模型的泛化扩展:熵池模型之理论篇》

针对第三点,我们的目的是使得模型输入的风险偏好能够匹配我们的认知带来的信息。风险偏好过低将浪费我们认知带来的信息,导致最终可能判断正确但是没有赚到钱,而风险偏好过高又会造成不可控的结果。我们认为资产配置的风险偏好不应保持不变,需要不断根据认知水平进行调整优化。

参考文献

[1] Andersen T G , Bollerslev T , Diebold F X . Real-time price discovery in global stock, bond and foreign exchange markets[J]. Journal of International Economics, 2007.

[2] Czasonis M , Kritzman M , Turkington D . The Stock-Bond Correlation[J]. SSRN Electronic Journal, 2020.

[3] DE Shaw . Positively Negative: Stock-Bond correlation and its implications for investors, 2019.

[4] Li L . Macroeconomic Factors and the Correlation of Stock and Bond Returns[J]. Social ence Electronic Publishing, 2003.

[5] Robert, A, Connolly, et al. Commonality in the time-variation of stock–stock and stock–bond return comovements[J]. Journal of Financial Markets, 2007.

[6] Yang J , Zhou Y , Wang Z . The stock-bond correlation and macroeconomic conditions: One and a half centuries of evidence[J]. Journal of Banking & Finance, 2009.

风险提示:量化分析基于历史数据,如若未来市场环境、经济结构、政策方法发生变化,不保证结论的延续性。

本文节选自国盛证券研究所已于2021年01月12日发布的报告《宏观逻辑的量化验证:深入股债相关性的本质和预测》,具体内容请详见相关报告。

叶尔乐

S0680518100003

yeerle@gszq.com

刘富兵

S0680518030007

特别声明:《证券期货投资者适当性管理办法》于2017年7月1日起正式实施。通过微信形式制作的本资料仅面向国盛证券客户中的专业投资者。请勿对本资料进行任何形式的转发。若您非国盛证券客户中的专业投资者,为保证服务质量、控制投资风险,请取消关注,请勿订阅、接受或使用本资料中的任何信息。因本订阅号难以设置访问权限,若给您造成不便,烦请谅解!感谢您给予的理解和配合。

重要声明:本订阅号是国盛证券金融工程团队设立的。本订阅号不是国盛金融工程团队研究报告的发布平台。本订阅号所载的信息仅面向专业投资机构,仅供在新媒体背景下研究观点的及时交流。本订阅号所载的信息均摘编自国盛证券研究所已经发布的研究报告或者系对已发布报告的后续解读,若因对报告的摘编而产生歧义,应以报告发布当日的完整内容为准。本资料仅代表报告发布当日的判断,相关的分析意见及推测可在不发出通知的情形下做出更改,读者参考时还须及时跟踪后续最新的研究进展。

本资料不构成对具体证券在具体价位、具体时点、具体市场表现的判断或投资建议,不能够等同于指导具体投资的操作性意见,普通的个人投资者若使用本资料,有可能会因缺乏解读服务而对报告中的关键假设、评级、目标价等内容产生理解上的歧义,进而造成投资损失。因此个人投资者还须寻求专业投资顾问的指导。本资料仅供参考之用,接收人不应单纯依靠本资料的信息而取代自身的独立判断,应自主作出投资决策并自行承担投资风险。

加载中...