新浪财经

【华泰金工林晓明团队】周频量价选股模型的组合优化实证——华泰人工智能系列之三十九

新浪财经

关注

来源:华泰金融工程

林晓明   S0570516010001    

              SFC No. BPY421    研究员

李子钰   S0570519110003    研究员

何康       S0570520080004   研究员

王晨宇    S0570119110038   联系人

报告发布时间:2020年12月21日

本文对周频AlphaNet测试多种组合优化方案,可匹配多种风险收益目标

近年来,中高频调仓的量价选股模型日益受到投资者关注,针对该类模型的风险模型和组合优化是一个值得研究的主题。本文以基于量价数据构建的AlphaNet为收益模型,对其进行业绩归因、风险模型构建和组合优化。业绩归因结果显示,行业市值中性的周频AlphaNet具有显著的alpha收益,但2015年之后在Barra风格因子上的暴露逐渐增加。为了精确控制组合风险,本文论述了不同预测期限下多因子风险模型的构建方法并验证了其有效性。最后,我们对周频调仓的AlphaNet测试了多种组合优化方案,可匹配多种风险收益目标。

行业市值中性下周频AlphaNet模型的业绩归因分析:alpha收益显著

业绩归因是分析组合绩效和改进组合的重要根据。本文分析了Barra风格因子对行业市值中性的周频AlphaNet模型的收益贡献,并以Barra风格因子不能解释的特异性收益率作为策略的alpha收益。业绩归因表明,2011年以来AlphaNet模型具有显著的alpha收益,但是2015年之后模型在Barra风格因子上的暴露逐渐增加,为了减小风格因子的不稳定性所带来的组合波动,需要尝试更精细化的风险控制方法。

本文总结了不同预测期限下的多因子风险模型构建方法

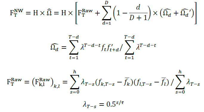
传统的Barra多因子结构化风险模型常用于月频调仓的选股组合,对于周频调仓的AlphaNet模型,需要构建预测期限匹配的风险模型才能合理地控制风险。为了使多因子风险模型能适应不同的调仓周期,本文对因子收益协方差矩阵和特异性收益方差矩阵依次做两项调整:(1)修正Newey-West调整的时间乘数。(2)修正波动率偏误调整的时间区间。

本文构建的周频多因子风险模型可以实现对组合风险准确稳定的预测

为了评价不同预测期限下的多因子风险模型的预测效果,本文以偏误统计量为评价指标,使用数值模拟的方法随机抽取股票构成等权重组合和随机权重组合,设定10年和6年两个回测时间长度,验证周频、双周频和月频多因子风险模型的风险预测效果。结果表明周频多因子风险模型最为稳定准确。此外,本文还展示了周频、双周频和月频因子风险模型对于沪深300和中证500指数的波动率预测效果。

本文测试了不同组合优化方案下AlphaNet模型的表现

针对周频调仓的AlphaNet,本文在2011年1月31日至2020年11月30日的时间区间上测试了三种组合优化的方案,分别是:(1)考察周频风险模型对AlphaNet组合表现的影响。测试中风险模型可以有效降低组合跟踪误差并提高信息比率。(2)考察不同的Barra风格因子约束下AlphaNet组合的表现。测试显示行业市值中性+Barra量价因子中性可以显著减小组合在2019年的超额收益回撤。(3)考察AlphaNet组合在允许行业偏配时的表现。测试显示通过市值中性+扩大行业偏配,可明显提升组合的超额收益,但同时也会增大超额收益最大回撤和跟踪误差。

风险提示:多因子风险模型是历史经验的总结,如果市场规律改变,存在风险预测滞后、甚至模型失效的可能。AlphaNet是对股票历史量价规律的归纳学习,未来存在失效的可能。

华泰金工前期发布了两篇AlphaNet相关报告:《AlphaNet:因子挖掘神经网络》(2020.6.14)和《再探AlphaNet:结构和特征优化》(2020.8.24)。如图表1所示,通过AlphaNet可构建基于股票量价数据的收益预测模型,而将收益预测转化为实际的投资组合需要借助组合优化方法,这将是本文重点研究的问题。本文将以Barra模型为基础,通过以下三个要点展开讨论:

1. 行业市值中性下的周频AlphaNet业绩归因分析。

2. 针对周频调仓,结构化多因子风险模型需要做出的调整。

3. 周频调仓的AlphaNet在各种组合优化方法下的回测实证。

本章我们选取华泰金工人工智能选股周报中的周频调仓AlphaNet模型进行业绩归因分析,该模型的组合优化较为简单,构建方法如下:

以上组合优化方法主要使用行业市值中性的方式控制组合风险,较为简单直接。然而在实际组合管理中可能需要更精细的风险控制才能进一步规避组合风险,达到更加稳定的超额收益。我们将首先从业绩归因的角度分析以上组合优化方法所得组合的风险因子暴露情况。

业绩归因:基于Barra模型的因子收益贡献分析

进行因子收益贡献分析首先要估计因子收益率,本文参考Barra USE4、CNE5估计因子收益率,使用的Barra风格因子如图表2所示。

股票收益率可以表示为市场收益率、行业收益率、风格因子收益率以及特质收益率的线性组合:

业绩归因表明,2011年以来,行业市值中性下周频AlphaNet模型具有非常显著的alpha收益, 但是2015年之后风格因子贡献的收益逐渐增加,比较明显的有Momentum、Liquidity和Size因子。

由上一章的业绩归因结果可以看出,以行业市值中性为风险控制方法所构建的AlphaNet组合中,Barra风格因子会贡献一定的因子收益。由于风格因子收益具有不稳定性,组合在风格因子上的暴露可能会增大组合收益的波动性,因此需要更精细化的方式控制组合风险,基于Barra多因子结构化风险模型的风控方法是目前的主流方法。然而多因子风险模型常用于月频调仓的选股组合,因此本章将重点讨论在更短的调仓周期下(周频、双周频)应如何构建风险模型,并测试模型对于风险预测的效果。

适用于不同预测期限(forecasting horizon)的多因子风险模型是在不同调仓频率下使用因子风险模型的基础。没有经过系统调整的因子风险模型在不同的预测期限下会呈现对于风险显著的有偏估计。本文以华泰金工结构化多因子风险模型为基础,介绍调整风险模型预测期限的方法,使得调整后的风险模型对于风险具有鲁棒性较好的预测能力。

一般来说,对于多因子风险模型的调整分为两个部分,分别是对于因子收益协方差矩阵的调整以及对于特异性风险协方差矩阵的调整,前者被认为是由给定因子结构解释的系统性风险(system risk),后者被认为是没有被因子结构解释的个股特异性风险(idiosyncratic risk)。对于因子协方差矩阵的调整和特异性收益方差矩阵的调整的步骤如图表4所示。关于多因子风险模型的详细构建方法,可参见华泰金工前期报告:《桑土之防:结构化多因子风险模型》(2019.6.12)。

其中,对于因子收益协方差矩阵调整所使用的Newey-West方法以及特征值调整属于ex-ante风险调整(不会用到未来数据),而波动率偏误调整属于ex-post风险调整(会用到未来数据);类似的,在对于特异性收益方差矩阵的调整中,Newey-West调整,结构化调整以及贝叶斯压缩调整属于ex-ante风险调整,而波动率偏误调整属于ex-post风险调整。

因此,在风险模型预测风险能力的测试中,对于因子收益协方差矩阵仅会使用特征值调整之后的因子收益协方差矩阵;同理,特异性收益协方差矩阵仅会使用贝叶斯压缩调整后的特异性收益协方差矩阵。两类协方差矩阵的波动率偏误调整后的结果主要被应用于ex-post的风险归因以及测试不同预测期限下波动率偏误调整的有效性。

针对不同预测期限,因子收益协方差矩阵的调整

Newey-West调整

本节将介绍流形学习在金融数据中的应用:使用t-SNE进行基金收益率降维和可视化。截至2020年4月30日对于因子收益协方差收益矩阵而言,ex-ante的风险调整中第一步Newey-West调整的目的是构造一个符合预测期限H的因子收益协方差矩阵的相合估计量。具体来说,对于滚动过去T个交易日的预测期限为H的因子收益协方差矩阵,它的Newey-West调整具有如下形式:

特征值调整

特征值调整中,本文按照前期华泰金工多因子风险模型的步骤完成,没有针对预测期限进行额外调整。但需要注意的是该步骤中的蒙特卡洛模拟(MC)的假设前提发生了改变,MC模拟的假设由原本的“特征组合月收益率满足正态分布”修改为“特征组合在预测期限为H的收益率满足正态分布”,这一改变对于预测期限较短的情况存在影响,因为相对于长期收益分布,超短期收益分布更容易出现尖峰肥尾的情况。

波动率偏误调整

在因子收益协方差矩阵的ex-post风险调整涉及的波动率偏误调整中,需要对截面t的因子总偏误统计量进行调整,即对于因子总偏误统计量,当预测期限为H时,其计算公式修正为:

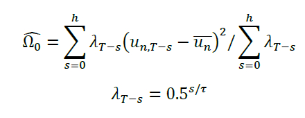
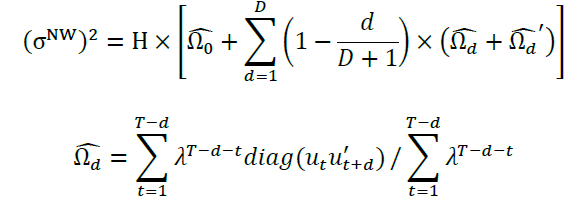
针对不同预测期限,特异性收益协方差矩阵的调整

特异性收益协方差矩阵在不同预测期限下的调整涉及Newey-West调整和波动率偏误调整两个部分,调整细节与因子收益协方差矩阵在不同预测期限下的调整大同小异。

Newey-West调整

对于滚动过去T个交易日的预测期限为H的特异性收益协方差矩阵的Newer-West调整,具体形式如下:

波动率偏误调整

特异性收益协方差矩阵的波动率偏误调整中,需要对时间截面t上的所有股票的特异性风险的总偏误统计量进行调整。当预测期限为H时,截面t上的所有股票特异风险的总偏误统计量的计算公式为:

衡量因子风险模型的预测效果

对于一个优秀的因子风险模型而言,ex-ante调整后的风险预测效果极为重要。本节使用数值模拟的方法,计算不同预测期限(周频、双周频,月频)下的风险模型的表现。为了衡量风险模型的准确度,首先需要引入一个统计量,参考Briner et al.(2008)以及Barra USE4,使用偏误统计量(bias statistics)衡量真实测度下风险模型预测的准确程度。对于个股或资产组合k, b统计量在时间截面t计算方式如下:

对于风险模型在不同预测期限上的对比,Briner et al.(2008)曾做过比较详细的研究,作者利用B统计量,对比了Barra多因子风险模型在1个月和6个月预测期限下的风险预测效果,其结果如图表5和图表6所示,图中纵轴为百分比,横轴为B统计量的值,灰色柱体表明数据落在95%的置信区间内,黑色柱体表明数据超出了95%的置信区间。

同时,Briner et al.(2008)还指出在使用B统计量的时候,其作为聚合统计量可能会消除不同回测时间长短下模型表现的差异,因此Briner et al.(2008)提出在使用B统计量时,应当设定不同的回测时间区间,以保证风险模型的表现不会受到回测时间区间起始点选择(回测区间长度)的显著影响。

多因子风险模型的预测期限分析

借鉴Briner et al.(2008)中所使用的方法,本节采用构建随机组合并进行数值模拟的方法,对比周频,双周频,月频三个不同预测期限下风险模型的风险预测准确度。数值模拟的具体方法如下:

1.       设定模拟的次数为100次。

2.       在初始交易日随机选出100个上市超过180天且没有退市的股票,在随机选股过程中,限定单个股票的权重不能超过0.1。

3.       分别使用随机权重和等权重构造资产组合,每隔H天计算一次b统计量,对于每次模拟,可以通过一系列b统计量得到一个偏误统计量。

4.       模拟中预测期限H的取值为周频,双周频,月频,实际操作中表现为按照交易日日历每隔1周,2周,1个月算一次。

5.       数值模拟的时间区间开始点为2011年1月31日(10年),2015年1月31日(6年)。

图表7~图表10分别展示了不同预测期限风险模型的偏误统计量经验分布。在上述的图表中,虚线都分别对应B统计量为1的95%置信区间的上界和下界。

对比不同时间长度的回测区间,可以得出以下结论:

1.     相同测试条件下,使用随机权重和等权重构造资产组合的测试结果非常接近。

2.     在回测区间为10年的情况下,预测期限为周频和双周频的风险模型对于风险的估计相对比较准确,有超过一半的值落在95%置信区间内,而预测期限为月频的因子风险模型对风险存在比较显著的低估。

3.     在回测区间为6年的情况下,预测期限为周频的风险模型对于风险的估计相对比较准确,所有 B统计量都落在95%的置信区间内,统计学意义上可以认为模型给出的风险估计是准确的。预测期限为双周频和月频的因子风险模型都对风险有一定低估。

4.     综合10年回测区间和6年回测区间的表现,预测期限为周频的风险因子模型表现最为稳定,可以在95%置信区间下认为其风险预测比较准确。

不同预测期限下多因子风险模型的实际表现

为了进一步展示不同预测期限下多因子风险模型的实际表现,本节针对沪深300和中证500指数进行测试:

1. 周频多因子风险模型的预测波动率和指数周频的实际波动率对比。

2. 双周频多因子风险模型的预测波动率和指数双周频的实际波动率对比。

3. 月频多因子风险模型的预测波动率和指数月频的实际波动率对比。

图表11~图表16为不同预测期限下,风险模型对于指数波动率的预测结果。

本章针对周频调仓的AlphaNet模型,进行以下组合优化测试:

测试1:引入周频多因子风险模型,以最大化风险调整后收益为目标的组合优化,风格因子约束为行业市值中性(相对中证500),主要考察周频风险模型对AlphaNet组合表现的影响。

测试2:以最大化预期收益为目标的组合优化,风格因子约束为行业市值中性外加指定的Barra风格因子中性(相对中证500),主要考察不同的Barra风格因子约束下AlphaNet组合的表现。

测试3:以最大化预期收益为目标的组合优化,风格因子约束为市值中性,并适当放松行业因子的中性约束(相对中证500),主要考察AlphaNet组合在允许行业偏配时的表现。

测试1:考察周频风险模型对AlphaNet组合表现的影响

本节测试的组合优化模型构建方法如下:

结合图表17~图表19可知:

1.     随着风险厌恶系数的增大,周频调仓AlphaNet组合的跟踪误差逐渐减小,信息比率逐渐上升,超额收益最大回撤有一定下降,体现了多因子风险模型对组合风险的控制能力。

2.     随着风险厌恶系数的增大,周频调仓AlphaNet组合的年化超额收益率有一定下降。

测试2:考察不同的Barra风格因子约束下AlphaNet组合的表现

本节测试的组合优化模型构建方法如下:

结合图表20~图表23可知:

1.    由于AlphaNet 完全基于量价数据构建而来,在行业市值中性的基础上,通过额外限定Barra量价风格因子(momentum, residual volatility和liquidity)中性,可明显降低组合的跟踪误差和超额收益最大回撤,并提高信息比率和Calmar比率,该组合在2019年底的超额收益回撤明显减小,但是年化超额收益率有一定下降。

2.      在行业市值中性的基础上,通过额外限定其他Barra风格因子中性,可降低组合的跟踪误差且在大部分(除了行业市值中性+BP中性和行业市值中性+growth中性)情况下可以改善策略的超额收益最大回撤,但组合的年化超额收益率有一定下降。

测试3:考察AlphaNet组合在允许行业偏配时的表现

本节测试的组合优化模型构建方法如下:

结合图表24~图表26可知:

1.     通过市值中性+扩大行业偏配,可明显提升组合的超额收益,但同时也会增大超额收益最大回撤和跟踪误差,导致信息比率和Calmar比率的下降。

2.     近年来行业表现分化较大,放松组合的行业暴露限制在2018年和2020年都能提升收益。

近年来,中高频调仓的量价选股模型日益受到投资者关注,针对该类模型的风险模型和组合优化是一个值得研究的主题。本文以基于量价数据构建的AlphaNet为收益模型,对其进行业绩归因、风险模型构建和组合优化。全文总结如下:

1.     本文分析了Barra风格因子对行业市值中性的周频AlphaNet模型的收益贡献,并以Barra风格因子不能解释的特异性收益率作为策略的alpha收益。业绩归因表明,AlphaNet模型具有非常显著的alpha收益,但是2015年之后模型在Barra风格因子上的暴露逐渐增加,为了减小风格因子的不稳定性所带来的组合波动,需要尝试更精细化的风险控制方法。

2.     本文总结了不同预测期限下的多因子风险模型构建方法。传统的Barra多因子结构化风险模型常用于月频调仓的选股组合,对于周频调仓的AlphaNet模型,需要构建预测期限匹配的风险模型才能合理地控制风险。为了使多因子风险模型能适应不同的调仓周期,本文对因子收益协方差矩阵和特异性收益方差矩阵依次做两项调整:(1)修正Newey-West调整的时间乘数。(2)修正波动率偏误调整的时间区间。

3.     为了评价不同预测期限下的多因子风险模型的预测效果,本文以偏误统计量为评价指标,使用数值模拟的方法随机抽取股票构成等权重组合和随机权重组合,设定10年和6年两个回测时间长度,验证周频、双周频和月频多因子风险模型的风险预测效果。结果表明周频多因子风险模型最为稳定准确。此外,本文还展示了周频、双周频和月频因子风险模型对于沪深300和中证500指数的波动率预测效果。

4.    针对周频调仓的AlphaNet,本文在2011年1月31日至2020年11月30日的时间区间上测试了三种组合优化的方案,分别是:(1)考察周频风险模型对AlphaNet组合表现的影响。测试中风险模型可以有效降低组合跟踪误差并提高信息比率。(2)考察不同的Barra风格因子约束下AlphaNet组合的表现。测试显示行业市值中性+Barra量价因子中性可以显著减小组合在2019年的超额收益回撤。(3)考察AlphaNet组合在允许行业偏配时的表现。测试显示通过市值中性+扩大行业偏配,可明显提升组合的超额收益,但同时也会增大超额收益最大回撤和跟踪误差。

多因子风险模型是历史经验的总结,如果市场规律改变,存在风险预测滞后、甚至模型失效的可能。AlphaNet是对股票历史量价规律的归纳学习,未来存在失效的可能。

[1] Beat G. Briner, Gregory Connor. How much structure is best? A comparison of market model, factor model and unstructured equity covariance matrices. The Journal of Risk, 2008.

[2] Gregory Connor. Robust confidence intervals for the bias test of risk forecasts. Technical Report, MSCI Barra, 2002.

本公众号不是华泰证券股份有限公司(以下简称“华泰证券”)研究报告的发布平台,本公众号仅供华泰证券中国内地研究咨询服务客户参考使用。其他任何读者在订阅本公众号前,请自行评估接收相关推送内容的适当性,且若使用本公众号所载内容,务必寻求专业投资顾问的指导及解读。华泰证券不因任何订阅本公众号的行为而将订阅者视为华泰证券的客户。

本公众号转发、摘编华泰证券向其客户已发布研究报告的部分内容及观点,完整的投资意见分析应以报告发布当日的完整研究报告内容为准。订阅者仅使用本公众号内容,可能会因缺乏对完整报告的了解或缺乏相关的解读而产生理解上的歧义。如需了解完整内容,请具体参见华泰证券所发布的完整报告。

本公众号内容基于华泰证券认为可靠的信息编制,但华泰证券对该等信息的准确性、完整性及时效性不作任何保证,也不对证券价格的涨跌或市场走势作确定性判断。本公众号所载的意见、评估及预测仅反映发布当日的观点和判断。在不同时期,华泰证券可能会发出与本公众号所载意见、评估及预测不一致的研究报告。

在任何情况下,本公众号中的信息或所表述的意见均不构成对任何人的投资建议。订阅者不应单独依靠本订阅号中的内容而取代自身独立的判断,应自主做出投资决策并自行承担投资风险。订阅者若使用本资料,有可能会因缺乏解读服务而对内容产生理解上的歧义,进而造成投资损失。对依据或者使用本公众号内容所造成的一切后果,华泰证券及作者均不承担任何法律责任。

本公众号版权仅为华泰证券所有,未经华泰证券书面许可,任何机构或个人不得以翻版、复制、发表、引用或再次分发他人等任何形式侵犯本公众号发布的所有内容的版权。如因侵权行为给华泰证券造成任何直接或间接的损失,华泰证券保留追究一切法律责任的权利。华泰证券具有中国证监会核准的“证券投资咨询”业务资格,经营许可证编号为:91320000704041011J。

加载中...