新浪财经

基于行为金融学的行为因子构建与测试——金融工程专题报告

新浪财经

关注

来源:华宝财富魔方

分析师:张青   执业证书编号:S0890516100001

研究助理: 田钟泽 

本文主要进行行为金融因子的挖掘与测试。传统的基本面和技术类因子经过充分挖掘以后 变得拥挤且低效,越来越难以获得超额收益。要想获得传统因子无法带来的增量信息,需要从 其它角度出发进行挖掘,行为金融为因子开发提供了新的视角。

1970 年,美国金融学家法玛深化并提出“有效市场假说”,认为在有效市场的假设下,股价能够充分反映所有信息,因此不合理的价格将被很快消除。在这一假设下,任何依靠信息进行的投资都不能产生超额收益,资本市场是完全竞争市场,每个参与者都是价格接受者,股票信息一旦产生即被充分反应并被消化。

但是这种假说存在诸多难以满足的条件,例如完美市场、未知因素等不可得信息以及投资者资质差异的原因,无法完全反应并理解信息等。这些苛刻的条件使得市场中套利机会持续存在,而且由于人为的因素,会放大这种错误的定价,例如反应的迟滞、过度自信或者恐慌、盲目从众、思维局限(窄框架)、后悔厌恶、损失厌恶等等。人性间接放大了错误,因而导致股价定价偏误,这就为行为金融学提供了用武之地。从行为金融学的角度出发去挖掘选股因子,往往起到意想不到的效果,因为“江山易改,本性难移”,行为因子可能比传统因子更为有效,且持续性更强。

1. 从行为金融学出发构建行为因子

本文基于前景理论和未实现盈利理论,拟探讨基于两种理论的行为因子的有效性。前景理论(Prospect Theory)是由Tversky和Kahneman(1979, 1984)提出的一种风险决策的理论,因此我们将依据前景理论挖掘的因子称为 TK 因子,而未实现盈利量(captial gain overhang)则是 Grinblatt and Han(2005)在前景理论的基础下提出的,因此未实现盈利因子简称为 CGO 因子。

除了 TK 因子和 CGO 因子两个行为因子,其它的如短期反转因子和换手率因子一般也被 认为是行为相关的因子。主要的原因是投资中投资者容易过度自信,过度自信又容易导致过度交易,因此导致换手率较高,而投资行为的短期性也加剧了股票市场的反转效应。

1.1. 前景理论(Prospect Theory)

前景理论将人们对事物的主观评价定量刻画为依据效用价值作出选择的过程。效用价值可以理解为内心的期望,主要取决于人的欲望等。前景理论可以划分为两个过程,一是价值编译, 二是效用评估。价值编译主要指风险收益特征的衡量,比如付出了多大的风险,获取了多大的收益,不同可能情况下价值量大小的计算。效用评估主要是对预期可能的情况下价值量的估计, 进而得到综合效用价值。根据综合效用价值,就可以作出具体决策,这就把人的决策过程量化 了出来。一般而言,人们更倾向于选择效用价值高的选项而规避效用价值低的选项,因此理论 而言当前效用价值与未来的预期收益应该呈现正相关关系。效用价值的计算方法如下面的公式 所示:

其中x,y为不同的结果,v(x)和v(y)为决策者主观感受所形成的价值,即价值函数,p,q 为不同结果发生的概率, π( p)和π (q)是概率评价性的单调增函数,被称为决策权重。价值函数和决策权重的乘积累加就是前景理论中的期望价值V。

价值函数具有以下三个特点:一是价值函数以参考点为界分为盈利区和亏损区;二是盈利 区间表现为下凹,即风险回避特征,而在亏损区域表现为上凸,即风险寻求特征;三是亏损区域的斜率大于盈利区域的斜率,呈现不对称特征,表明亏损带来的负效用高于盈利带来的正效用。

权重函数也具有两个特点:一是人们通常高估小概率事件的可能性,也就是 p 在 0 附近的 小概率区域,决策权重往往高于其概率值,即人们高估小概率事件,即π(p)> p;二是互补概率的决策权重之和小于确定性事件的决策权重,即π(p)+π(1- p)≤1。

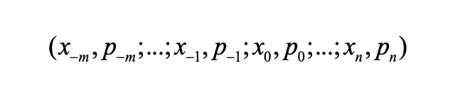
价值函数和权重函数共同决定了最后的效用价值。由于前景理论最初只有简单的公式,并没有定量模型,因此在之前基础上,Kahneman and Tversky(1992)在 1992 年提出了改进后的前景理论,也就是累计前景理论。在累计前景理论中,需要计算多个选项下的价值,多个选项情况如下:

x 为对应选项,假设总共有 n-(-m)+1=n+m+1 个不同的结果,本文中我们以个股过去 n+m+1 日的日收益率(或周收益率和月收益率)作为不同的选项。p 为对应日收益的概率, 概率皆相同,也可以取指数加权权重。再将选项和概率转化为价值函数和决策权重,最后每个 选项的价值函数和决策权重相乘后再相加即可得到个股的效用价值。

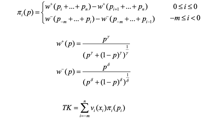
其中价值函数v(x)为:

决策权重函数π( p)为:

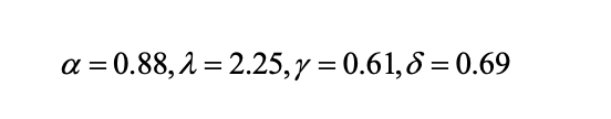
具体计算时的参数取值参考论文取值,设为:

金融工程专题报告

TK 即股票的效用价值,TK 值越高代表效用价值越高,投资者选择效用价值最高的,因此 TK 因子与股票的未来收益理论上而言成正相关关系,但是实际测试中可能因为周期不同得到 相反的相关关系。TK 因子的计算涉及到时间窗口的选取,具体测试过程中我们将测试不同窗口 长度下 TK 因子的表现。为了进一步深入研究,我们将计算时分别用日度、周度和月度收益率 来代表不同周期频率的收益,并进一步测试在不同频率收益构建的 TK 因子表现情况

1.2. 未实现盈利(captial gain overhang)

基于前景理论中的价值函数特征可知,投资者在盈利的时候厌恶风险,因而选择卖出盈利股票,由于卖出较早,因此导致这类股票低估; 在亏损的时候投资者偏好风险,因而选择持有亏损的股票,从而导致这类股票高估。不同投资者的盈利和亏损状况由平均持有成本决定,平均持有成本也可以称为锚定价格(reference price),投资者将当前价格与锚定价格作对比,可以得出当前的盈亏状况,这就是所谓的未实现盈利(captial gain overhang)。从前所述中可知未实现盈利因子 CGO 与股票未来的收益呈正相关关系。

具体的,未实现盈利量因子 CGO 的计算公式为:

RPt即为锚定价格Pt-1为t-1时刻的股价Vt为t时刻的换手率,括号内为不同时刻价格的权重,k 为归一化参数,归一化处理后权重和为 1,N 为时间窗口长度。Grinblatt and Han(2005) 在论文中采用周频数据进行计算,计算过程涉及到过去 260 周的数据,时间跨度较长,不一定适合 A 股。在计算 A 股的 CGO 因子时,我们改用日频数据,因为 A 股波动较 大,随着时间推移,过去较长时间内的数据将不具备参考价值,有效性降低。具体计算中我们拟采用不同的时间窗口长度进行计算,以检验因子的参数敏感性。

2. 累计前景理论 TK 因子评价

TK 因子的构建和收益率时间窗口长度相关,为了测试 TK 因子对时间窗口的敏感度,我们 分别以日度、周度和月度收益率三个频率来构建 TK 因子,并对比不同时间周期构建的 TK 因 子表现的差异。

分组测试过程中按照因子数值大小将其分成 5 组,分组对因子进行测试,具体的,TK 因子 测试中我们设定以下测试条件:

我们首先探究了 TK 因子与现有的风格因子之间的相关性,我们选取了比较有代表性的十 个 Barra 风格因子,包括 Beta、Earning、Growth、Leverage、Liquidity、Momentum 、Nonlinear_Size、Size、Value 和 Volatility 因子这十个比较有代表性的风格因子。计算 TK 因子 与这十个风格因子的因子收益相关性可知,虽然经过行业和市值中性化处理,但是 TK 因子仍与部分因子例如规模因子 Size 和动量因子 Momentum 的具有较高负相关性,一方面说明 TK 因子偏好市值较大的因子,另一方面也说明 TK 因子有一定的反转效应。后续我们将测试在行业中性和市值中性的基础上,进一步剔除短期反转因子之后的 TK 因子选股效果。

下面为分别用日度、周度和月度收率来构建的 TK 因子的测试结果。测试结果表明随着时 间跨度变大,TK 因子呈现一定的反转效果。时间期限对于 TK 因子具有重要影响,时间期限越 短,TK 因子越大的组表现越好,而随着时间期限变长,TK 因子越低的组逐渐表现越好,超过 TK 因子较大组的表现。

TK 因子代表了个股的效用价值,通常而言,效用价值高的个股未来表现将好于效用价值低 的个股,但是实际情况下 TK 因子可能与短期反转因子(Rev)之间可能有较强关联。经过测试,发现二者的相关系数高达 0.38,TK 因子的一部分选股能力可能是因为短期反转因子带来的。经过测试,剔除了短期反转因子之后,TK 因子的换手率均有一定的提高,而收益则下降不 明显,有的因子比如 TK60d 因子甚至因为剔除了短期反转因子后表现有所提升。这说明 TK 因子虽然与短期反转因子有一定的相关性,但是二者构造逻辑并不相同,因此TK 因子能带来 Rev 因子无法带来的选股效果。

不同时间周期构造的TK因子测试结果显示,TK因子的分组区分度较好,从因子最大到最小排列的各组收益界限清晰且依次从大到小排列,而没有出现排列混乱的情况,说明TK 因子对股票组合的区分效果明显。但是通过对比部分因子的第一组和第五组的表现来看,二者的收益之差并不明显,说明TK 因子在大部分时间里的选股效果一般。

下面我们研究不同周期对于因子的影响。对比单因子测试结果中因子的绩效,可以发现时间周期较长的 TK 因子,例如TK40m 因子的表现稍强于短时间周期构建的 TK 因子,并且因子在剔除短期反转因子的影响之后仍有显著的选股效果,说明TK 因子虽有部分选股效果是由于 短期反转带来,但TK因子还具有短期反转因子所不能替代的增量信息,这也证明了TK因子在选股方面仍具有有效性。TK40m因子年化收益率达到 8%,剔除 Rev因子后仍有 7%,多空组合的年化超额收益率为 2%。

对不同周期构建TK因子按照一定比例构造优选组合,对比测试结果发现因子的回撤相差 无几,而年化收益率差别明显。以月度收益率构建的 TK40m因子总体表现好一些,行业和市值中性化以后因子的年化收益率达到8.15%,Calmar比率为0.54,夏普率0.17,继续剔除Rev因子后年化收益率为 6.47%,Calmar比率为 0.41,收益仍较明显,说明TK因子具有显著的选股效果。

3. 未实现盈利量 CGO 因子评价

根据前文中未实现盈利量的计算可知,CGO因子的计算涉及到换手率,由于A股短期波动较大,因此我们以日度数据来构建因子,回溯的时间周期可分为 20 天、40 天、60 天和 80 天,并进一步测试不同窗口长度构建的因子表现差异。

首先我们探究了 CGO 因子与现有的风格因子之间的相关性,选取比较有代表性的 Barra 风格因子,包括Beta、Earning、Growth、 Leverage、Liquidity、Momentum、 Nonlinear_Size、Size、Value 和 Volatility 因子这十个比较有代表性的风格因子。计算 CGO 因子与这十个风格因子的因子收益相关性可知,CGO 因子与大部分现有的风格因子之间的相 关性比较低,其中与 Momentum 相关性稍大,达到-0.6,说明 CGO 因子与短期反转因子之间 相关性较高,即说明 CGO 因子具有反转效应,而我们在后续也进一步测试了剔除了短期反转 因子之后因子的表现。

按照 CGO 因子的构建逻辑而论,CGO 因子越大则对应的股票组合未来收益越好,但是实 际测试中由于时间窗口选择的差异,CGO 因子反而有反转的效应,因此我们需要对因子作反向 调整。测试结果显示20天、40 天和 60 天因子表现较为一般,且因子分组测试中各组收益单调性较差,有的分组收益甚至呈现出两头低,中间高的状态。相对而言,80 天窗口构建的 CGO 因子单调性稍胜一筹,但是组间差异也并不十分明显

由于CGO 因子有一定的反转效应,因此我们考虑CGO 因子与短期反转因子之间的相关性,CGO80d 与反转因子Rev之间的相关性高达0.82,因此我们将测试剔除短期反转因子之后的CGO因子表现,结果显示剔除之后多空组合累积收益变为 0,因子的区分度基本消失,说明 CGO 因子很大一部分选股效果与短期反转因子重合,剔除反转因子之后因子基本失效。

4. 其它行为相关因子评价

上文我们分别测试了个股预期价值因子 TK 和未实现盈利量 CGO 因子,通过之前的论述 我们也可以知道,交易行为相关的因子往往和收益率和换手率相关,收益率具有动量或者反转特征,背后反映的正是行为金融的力量。例如A股市场短期波动率较大,换手率较高,因此整体会出现短期反转的现象,从这层意义上来看,短期收益率动量因子Rev和换手率Turnover_rate 也可以视为行为相关因子,下面我们将对这两类因子进行回测,以说明两类因子在选股上的效果。

从测试结果看,Rev 和 Turnover_rate 因子的表现都较为一般,如果将二者单独作为选股因 子,则长期来看选股收益将跑输基准收益,说明二者选股效果一般,这也说明了某些行为因子在选 股上效果并不稳定,并不具备 alpha 选股因子的特性。但是二者却具有风险因子的属性,通常利用 这两个风险因子对股票池进行反向剔除,剔除高反转与高换手率的股票,进而剔除由这两个行为因 子带来的风险累积。

5. 行为因子在沪深 300 和中证 500 中选股效果

上文我们基于行为金融学分别构建了个股价值量 TK 因子和个股未实现盈利量 CGO 因子, 经过因子回归测试和分组测试,显示 TK 因子具有反转效应,且在行业中性和市值中性的前提 下剔除反转因子 Rev 之后仍有一定的选股效果,但是选股效果在不同阶段差异明显,但总体而 言 TK 因子仍具有显著的选股效果。另外通过对比不同时间周期构建的 TK 因子发现,TK 因子对时间周期的敏感性并不强,相对而言,时间周期越长,TK 因子的表现更好,但实际区别并不明显。

未实现盈利量 CGO 因子的测试结果则显示该因子选股效果较弱,即使构建不同时间周期的 CGO 因子,效果亦提升不明显,而且该因子在剔除了短期反转因子 Rev 的影响选股效果基 本消失,说明 CGO 因子的选股效果很多程度而言和反转因子重合较多。

另外我们还测试了行为金融相关的短期反转因子Rev和换手率Turnover_rate 因子的选股 效果,发现这两个因子在选股效果上并不稳定,可以断言二者基本不具备长期选股效果,也就是不具备 alpha 因子的特性,因此不适合作为选股因子使用。

据上文测试可知 CGO 因子选股效果一般,尤其是剔除了反转因子之后基本失效,因此我们认为 CGO 因子与反转因子重合较多,故不将 CGO 因子纳入选股备选因子中。另外 TK 因子与传统的 Barra 风格因子收益率相关性普遍较低,说明行为因子的构建逻辑与传统的风格因子 差异较大,选股效果重叠较少,因而不需要再对 Barra 因子进行中性化。最终我们主要依据 TK 因子构建选股策略,在保持行业和市值中性化的情况下,测试行为因子在沪深 300 和中证 500样本池内选股效果。结果显示在沪深 300 和中证 500 中选股累计收益几乎等同,且小幅跑赢沪 深 300 和中证 500化收益达 7%左右,其中在中证 500 中最大回明显大于沪深 300,说 明行为因子在低波动标持下收益更稳具体的行为因子选股策略测试结果下。

总体而言,虽然整体看行为因子的累计超额收益并不高,但是阶段性表现较为优异,尤其 是 2016 年至 2017 年期间超额收益较为显著。具体来看,行为因子在 2020 年之前跑赢基准的 幅度较大,2020 年后超额收益减小,在特殊的环境冲击下行为因子有效性有所降低。这说明行 为因子具有一定的价值,同时也说明如果要把该因子加入多因子模型中,还必须对该因子进行 持续监测,才能进一步用于动态配置。本文初次对行为因子做了简单探索,后续我们还会不断 努力,挖掘更加有效的行为因子。

加载中...