新浪财经

中证红利指数投资价值分析

新浪财经

关注

来源:量化先行者

报告要点

红利因子具有复合特性,近期多空收益表现有所反弹

红利因子——股息率,与PB、ROE、市值相关性极高,高股息率意味着低PB、高ROE、大市值,是价值投资的代表性因子

红利因子历史分组单调性表现出色,多空收益经历19-20年初的低迷后表现有所反弹。

依据天风TWO-BETA模型,当前经济景气度上行,利率上行,风格建议配置大盘价值

根据小盘溢价与价值溢价分别对现金流与折现率的敏感度不同,我们认为,在现金流上行(经济景气度上行),折现率上行(利率上行)的环境中,风格建议配置大盘价值。

中证红利指数具有大盘价值风格属性,兼具红利因子优势,投资性价比高

中证红利指数成分股平均市值接近沪深300,而估值则远低于沪深300,甚至上证50,属于当下建议配置的大盘价值风格的典型代表,同时兼具红利因子优势。

当前中证红利指数整体估值属于历史较低位,投资性价比高。

招商中证红利ETF(515080.OF)是投资中证红利指数的优秀工具,建议投资者

招商中证红利ETF是场内跟踪中证红利指数的三个ETF产品之一,当前规模下,打新能够提供较高的alpha加成,是投资中证红利指数的优秀工具,建议投资者关注。

红利因子有效性分析

企业分红不仅可以反映企业具有良好的财务状况,也能减少股票未来现金流的不确定性,降低投资者对必要回报率的要求,提升股价的折现值。此外,分红因子还具有良好的复合性,股息率与市值因子正相关,与PB负相关,与ROE正相关。选择高分红的股票能够为我们筛选出低PB、高ROE、大市值的优秀成熟企业,是价值投资的代表性因子。

1

红利因子有效性

红利因子作为一个重要的alpha因子,能够发挥较好的选股效果,我们对A股市场上红利因子的有效性进行了分析。

我们对2010年以来全部A股进行了回测,回测前,我们剔除了ST、停牌以及上市不满1年的股票,然后对红利因子分了5组进行分析。(股息率的定义为过去∑近12个月现金股利(税前)/指定日股票市值,剔除了股息率为0的个股,行业市值中性化)

从红利因子的单调性可以看到,红利因子分组单调性明显,股息率越高,分组收益越高。红利因子历史表现具备显著的选股效果

2

红利因子近期表现

从多空收益图可以看到,红利因子历来多空收益表现均较为出色,尤其在2015-2017年红利因子表现极为抢眼,经过2019年与2020年上半年红利因子的整体低迷状态,从2020年7月开始,红利因子开始出现反弹,并且连续3个月取得了正向收益,因子多空收益出现了强势反弹。

从红利因子的多头表现可以看到,相对于沪深300和中证500,红利因子多头有着明显的超额收益,年化绝对收益达到了13.15%,而同期沪深300与中证500仅为3.89%和4.03%,分别超额达到了9.25%和9.12%,超额收益显著。而且近几个月来红利因子表现也较为突出,相对沪深300与中证500均有明显的超额收益。

3

红利因子选股能力优秀近期表现突出,建议关注

从上文的分析中可以看到,红利因子历史上选股能力极为显著,而且经历了19年与20年初的低迷之后,红利因子逐渐开始反弹,多空收益出现了明显的上扬,从因子收益表现来看,建议近期可以关注红利因子

依据TWO-BETA模型当下风格偏向大盘价值

1

从估值理论出发

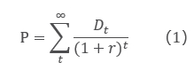
对于任意的可交易的资产而言,我们都需要对它进行定价,即估值。估值理论的核心假设是,资产的价值源自于持有它的投资者能够获得的现金流,通过对资产未来现金流的折现来对资产进行估值,是资产定价领域最常使用的方式。对于股票而言,Gordon(1963)提出的DDM模型(股息贴现模型),是一种最基本的股票内在价值评价模型。

其中,P为股票当前价格,为t时刻股票股利,r为股票的期望收益率或贴现率。

因此,从DDM模型我们可以看到,股票的价格由两部分构成,未来现金流与贴现率。未来现金流越高,贴现率越低,当前股票估值应当越高。

回归到上文所提及的大小盘与价值成长股票收益分化的问题,直观而言,大市值、价值类的股票企业规模较大,企业处于经营成熟期,已经能够为投资者带来现金流的回报。而小市值、成长类股票的企业规模较小,往往处于公司成长期,短期内为投资者带来现金流回报相对较少。因此对应于DDM模型中,相对小市值、成长类股票而言,大市值、价值类的股票的估值可能与未来现金流的敏感度更高,而相对于折现率的敏感度更低。但是不同的股票对未来现金流和折现率的敏感度,如何区分计量,这是DDM不能解决的问题。因此本文采用Campbell(2004)中的two-beta模型,来计量未来现金流和折现率对股票价格的影响,从而解释小盘溢价与价值溢价的原因。

2

Two-Beta模型

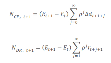
Campbell(2004)认为传统的CAPM模型无法对小盘溢价与价值溢价做出合理的解释,他认为,作为一个投资者,持有股票将面临两方面的风险,一方面来自于公司未来现金流的风险,另一方面来自于折现率的风险,而不同的股票的收益率对于这两种风险的敏感程度是不同的。因此传统的CAPM的beta应该拆解成两个beta,现金流beta与折现率beta。不同股票两种beta的大小决定了股票受现金流的冲击和折现率的冲击影响的大小。

我们对市场的超额收益率进行了拆解,得到了如下的结果:

因此,我们将市场的超额收益分解成了现金流带来的收益 N_(DR, t+1) 和折现率带来的收益 N_(CF, t+1)。

从而计算不同股票对现金流与折现率收益率的敏感度。

风险溢价波动根源

通过对A股市场收益率的拆解,我们将Wind全A的超额收益率拆解成为了现金流变化带来的收益与折现率变化带来的收益。根据个股收益率与这两者带来的收益的相关性,我们可以将个股的beta拆解成为现金流beta与折现率beta。

beta_(i, CF) 和 beta_(i, DR) 分别反映了股票i收益率受到现金流和折现率变化影响的敏感程度。不过,个股层面探讨两种beta的不同的意义不大,毕竟个股的差异性较大,对比维度太多,难以得到明确的结论。

然而,当我们依据某一类特征对股票进行分类,再观察这一特征变化下的两种beta的差异性,那么就能够对这一特征与两种beta之间的关系进行分析了。

回到对风险溢价的探讨,大小盘、价值成长就是依据市值、市净率对股票进行划分的方式,为了探讨小盘溢价与价值溢价的根源,我们对大小盘、价值成长分类下的股票受到现金流和折现率变化影响的敏感程度进行了计算,从两方面对风险溢价的来源进行解释。

1

beta的计算

根据two-beta模型中 beta_(i, CF) 和 beta_(i, DR) 的计算方法,我们依据如下的步骤,对大小盘和成长价值股票的两种beta进行了计算。

步骤:

1、  数据时间区间为2005年3月-2018年5月,数据频率均为月频;

2、  为保证个股收益率序列时间长度,剔除上市不足半年的个股;

3、  分别计算每个股票的                                               和(全样本期内);

4、  逐月分别计算个股总市值对数、市净率在截面上的分位数;

5、  计算历史上每个个股总市值对数、市净率平均分位数(月度),并依据分位数,分别分为五组,作为大小盘、价值成长的分组(市值最小组记为小盘股,市值最大记为大盘股;市净率最大组记为价值股,市净率最小组记为成长股);

6、  计算大小盘、价值成长不同分组的平均 beta_CF 和 beta_DR。

从大小盘和成长价值的 beta_CF 和 beta_DR 的结果可以看到。对于大小盘风格而言,小盘股的 beta_CF 明显低于大盘股,而 beta_DR 明显高于大盘股,并且呈现了明显的单调性,这说明了小盘股对于现金流变化的敏感度低于大盘股,而对折现率变化的敏感度高于大盘股。

对于价值成长风格而言,价值股的 beta_CF 明显高于成长股,而 beta_DR 明显低于成长股,并且呈现了明显的单调性,这说明了价值股股对于现金流变化的敏感度大于成长股,而对折现率变化的敏感度低于成长股。

2

对风险溢价的影响

从 beta_CF 和 beta_DR 的结果可以看到,大小盘、价值成长对于现金流和折现率变化的敏感度是不同的,这就意味着在现金流和折现率变化时,大小盘、价值成长的反应也是不同的,这种反应的差异性带来了小盘溢价与价值溢价的波动。

当预期现金流趋势上行时,大小盘与价值成长的股票估值均会上升,但是由于小盘股 beta_CF 低于大盘股,价值股 beta_CF 高于成长股股,小盘股与大盘股、价值股与成长股之间的收益率就会呈现差异性,从而带来小盘溢价下降,价值溢价上升。

而当预期折现率下行时,大小盘与价值成长的股票估值均会上升,但是由于小盘股 beta_DR 高于大盘股,价值股 beta_DR 低于成长股股,小盘股与大盘股、价值股与成长股之间的收益率就会呈现差异性,从而带来小盘溢价上升,价值溢价下降。

因此,小盘溢价、价值溢价波动的根源在于,大小盘、价值成长收益率对于现金流和折现率变化的敏感度不同,从而导致现金流预期和折现率预期变化时,小盘股和大盘股、价值股与成长股收益率的波动幅度不同,带来了小盘溢价、价值溢价的波动。

3

风格层面建议关注大盘价值

为了判断景气度与利率的方向性,我们采用天风制造业活动指数与国开债10年期到期收益率来分别作为代理变量,从而判断风格配置方向。

从当下的景气度与利率代理变量来看,景气度与利率方向均为上行,风格层面偏向大盘价值。

红利指数投资

根据上文的分析,我们认为红利因子近期表现较为出色,同时从风格配置上看,当下经济景气度上行,利率上行,风格上也建议配置大盘价值指数。在这样的情形下,市场上的红利指数则凸显了其投资价值。

1

中证红利指数投资价值分析

中证红利指数,以沪深A股中现金股息率高、分红比较稳定、具有一定规模及流动性的100只股票为成分股,采用股息率作为权重分配依据,以反映A股市场高红利股票的整体表现,其指数能够覆盖沪深两市中高分红的股票,是投资A股红利因子的重要工具。

3.1.1 中证红利指数跟踪基金规模逐年上升

可以看到,跟踪中证红利指数的基金规模逐年上升,截止2020年10月20日,基金规模达到了86.66亿元,市场关注度逐年上升,上升趋势明显。

3.1.2 中证红利指数属于典型的大盘价值风格指数

从中证红利指数与其他大盘指数的对比中可以明显看到,中证红利指数的成分股平均市值与沪深300指数相当,而估值层面远低于其他指数,甚至低于平均市值更大的上证50指数,属于典型的大盘价值指数,在当下风格偏向大盘价值的信号下,相较于沪深300和上证50或许更有配置价值。

3.1.3 当前中证红利指数估值较低,配置性价比高

从中证红利指数估值(市净率)水平可以看到,当前中证红利指数估值处于历史平均值-一倍标准差以下,估值较低,结合当下红利因子收益的反弹,当前配置红利指数的性价比极高。

2

红利指数配置标的——招商中证红利ETF

在当前跟踪中证红利指数的指数产品中,ETF产品毫无疑问是投资指数的最便捷的工具,招商中证红利ETF就是跟踪中证红利指数的其中一个产品。中证红利 ETF 近两个月日均成交金额 1054 万、日均换手率 5.34%,成交相对活跃,该产品目前有三家做市商参与做市,流动性有充足的保证。

3.2.1 招商中证红利ETF较同标的产品表现更为优异

目前市场上跟踪中证红利指数的ETF产品共有三只,其中排除成立时间较晚的ETF-A,招商中证红利ETF与同期成立的另一个ETF-B相比,今年以来收益优势明显,今年以来已取得17.36%的收益。

从招商中证红利ETF与沪深300收益的对比中可以看到,中长期来看,招商中证红利ETF的表现明显强于沪深300指数,在跟踪大盘指数的同时,能够获得额外的alpha收益。

3.2.1.当前规模下打新收益远超同类基金

对于指数ETF产品而言,打新收益是其贡献产品alpha收益的重要来源,除报价策略导致的中签率不同带来的收益偏差外,更加重要的影响因素是产品的规模。产品规模过小,沪深两市持仓市值不足6000万,则可能导致无法参与某些打新项目,而产品规模过大,打新收益则会被稀释。

我们对今年以来的新股项目进行了统计,估算不同规模下,理想情形下打新对于基金收益的额外贡献。

通过下图可以看到,在报价中签率假定100%(即所有新股均打中,理想情形)的情形下,随着基金规模从2亿-10亿的变化中,年初打新收益从17.82%降低至3.57%,可以看到打新收益对于规模敏感度非常高。在同类型ETF产品中招商中证红利ETF规模最为接近打新基金的最优规模,打新收益显著高于同类型基金。

从上图中还可以看到,科创板打新贡献了打新收益的绝大部分,后续蚂蚁金服、京东数科等将登陆科创板,创业板注册制新股有序上市,预计打新贡献的超额收益仍较为丰厚,招商中证红利 ETF 产品收益率优势有望延续。

加载中...