新浪财经

科学家:在固体氢中传播音速 可达上限每秒36公里

cnBeta

关注

原标题:科学家:在固体氢中传播音速 可达上限每秒36公里 来源:澎湃新闻网

中学物理告诉我们,音速并不是一个确定的数值,因不同的介质和条件而变化。空气中的音速在1个标准大气压和15℃的条件下约为340m/s。而在固体中,声音的传播速度就要远大于空气中和液体中。例如,铁棒中的音速在20℃条件下可达到约5130m/s。这就是为什么一列火车从远处驶来,我们会先听到铁轨的震动声,然后再听到火车的鸣笛声。

通常来说,声音在固体中的传播速度又与介质的刚度和密度相关。可以说,材料越“硬”,音速往往会越快。

那么,音速最快可以达到多少呢?10月9日发表在《科学-进展》(Science Advances)上的一篇论文给出的数字是36100m/s。这比最硬的天然物质——金刚石中的音速将近快上一倍!

声波本质上是一种能量在介质中的传输形式。爱因斯坦的狭义相对论给波的传播设定了绝对的速度极限,即真空光速,约为每秒30万公里。然而,科学家们此前并不知道声波在固体中传播时是否也有一个速度上限。

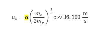
来自英国伦敦玛丽女王大学、剑桥大学等研究机构的科学家们在论文中指出,音速的上限取决于两个无量纲基本常数:精细结构常数与质子电子质量比。

所谓无量纲数,是一个单纯的数字,没有诸如长度、时间等单位。我们比较熟悉的无量纲数包括圆周率π、自然常数e等。精细结构常数α就是这样一个无量纲数,指的是电子在第一玻尔轨道上的运动速度和真空光速的比值。质子电子质量比更为直观,即质子和电子的质量比值。

这两个无量纲数精细地控制着恒星内部的核合成、重元素起源和质子衰变等过程,两个数字共同决定了恒星和行星只能在一个狭窄的范围内形成可以支持生命活动的分子结构。而在论文中,作者们提出了一个新的视角:这两个数字同样影响着材料科学和凝聚态物理。将两者结合可以得出一个新的无量纲数:凝聚相中的音速与真空光速的比值。

从而,他们对凝聚相中的音速提出了上限,计算结果约为36100m/s。

那么,我们到底在什么样的凝聚态材料上才可以找到这种极限音速呢?科学家们在一系列材料上进行了实验和计算,进一步提出了更为具体的预测:音速会随着材料原子质量的增加而变慢。这意味着,极限音速会出现在质量最小的原子——氢原子中。

不过,我们熟悉的氢原子都是以氢气的形态出现的,要把它们“压”成固体,起码需要250Gpa,超过100万倍大气压。在如此的高压下,氢变身为一种金属固体导电体,就像一样。科学家们还预言,它会是一种室温超导体。

用量子力学理论进行计算模拟后,研究人员发现固体氢中的音速确实接近前面提出的上限。

加载中...