新浪财经

因子轮动研究系列之三: 因子动态配置手册

XYQUANT

关注

来源:XYQUANT

导读

1、本文重点关注权益资产内部的风格因子配置问题。一般来说,风格因子的配置模型可以分为两类:静态模型与动态模型。近些年来,由于宏观和市场环境变化较大,传统的静态配置模型所受到的挑战也越来越多,因此本文将重点放在了对动态配置模型的梳理和实证分析上

2、在前期报告《基于风险角度的资产组合方法研究》中,我们从风险角度对资产配置方法进行了梳理。本文我们借鉴了原本应用于大类资产配置的多个模型和方法,从基于收益、基于风险和基于风险与收益三个角度对因子动态配置方法进行了汇总,并从实证角度对各方法的表现进行了完整的分析和总结,具体包括:1)基于收益信息的配置模型:历史IC均值加权方法;2)基于风险信息的配置模型:基于反向波动率加权的配置方法、风险平价配置方法、最大分散化配置方法、全局最小方差配置方法、最小CVaR 配置方法;3)基于收益与风险信息的配置模型:历史ICIR加权配置方法、 最大化IR配置方法、均值方差配置方法;

3、本文首先对因子配置标的构建这一问题进行更为系统化的研究。根据兴证金融工程团队自行搭建的量化因子库和我们的研究经验,并基于有效性、认可度、低相关性三条规则选取了28个因子形成细分因子,通过因子标准化、因子方向变化、因子剩余合成得到了估值、反转、情绪等八类常见的大类风格因子。

4、而后本文依据是否进行中性化处理构建了两套配置标的,在全A与沪深300中对九种动态配置模型分别进行实证研究,得到配置模型在不同情况下的表现。最后从合成因子有效性、因子配置权重变动和投资组合尾部风险三个维度构建了因子动态配置模型的评价体系,希望能够帮助投资者从实证角度把握不同因子动态配置方法的特点。

风险提示:报告中的结果均通过历史数据统计、建模和测算完成,在政策、市场环境发生变化时模型存在失效的风险。

1、引言

2008 年的全球金融危机中,一些看似分散化的资产配置组合,依旧受到了较大冲击,引发众多学者对传统的资产配置理论进行思考。Ilmanen 和 Kizer(2012)提出,金融危机期间分散化失效的主要原因是,在极端市场环境下大类资产之间的相关性大幅上升,使得分散化效果不达预期,同时他们指出基于因子的分散化要比基于传统资产类别的分散化更为有效。这也促使资产配置研究进入了一个新的时代,即将驱动资产价格的因素分解为宏观、风格、市场等因子,并从对资产类别的配置逐渐转为对因子的配置。

本文的关注点为权益资产内部的风格因子配置问题。一般来说,风格因子的配置模型可以分为两类:静态模型与动态模型。近些年来,由于宏观和市场环境变化较大,传统的静态配置模型所受到的挑战也越来越多,因此本文将重点放在了对动态配置模型的梳理和实证分析上。在前期报告《基于风险角度的资产组合方法研究》中,我们从风险角度对资产配置方法进行了梳理,而本文我们借鉴了原本应用于大类资产配置的多个模型和方法,从基于收益、基于风险和基于风险与收益三个角度对因子动态配置方法进行了汇总,并从实证角度对各方法的表现进行了完整的分析和总结,希望能够帮助投资者更好的把握不同因子动态配置方法的特点。

2、大类风格因子选择与构建

在因子动态配置问题中需要考虑的首要问题便是作为配置标的的大类风格因子的选择与构建。在之前的报告中我们不失一般性以Barra十大风格因子作为配置标的,而在本文中我们希望能够对大类风格因子的构建这一问题进行更为系统化的研究。

2.1

大类风格因子构建

根据兴证金融工程团队自行搭建的量化因子库和我们的研究经验,本文选择了估值、反转、情绪等八类常见量化因子来构建大类风格因子。细分因子的选取主要参考以下三条原则:

1.  有效性:依据因子IC测试筛选长期表现较好的因子;

2.  认可度:挑选出使用频率和接受度均较高的因子;

3.  低相关性:对于相关性较高的因子依据有效性和认可度选择其一保留;

本文所构建的细分因子库如图表1所示,共涵盖28个因子:

本文采用以下流程进行大类因子的构建:

1)因子标准化:本文采用分位数变换标准化对因子进行标准化处理,即只保留因子排名信息,把所有因子的分布均变换为标准正态分布。

2) 因子方向变化:对因子顺序进行调整,具体来说,方向为升序表示当期因子与下期收益是负向关系,当期因子越小,下期股票收益越大;方向为降序,则表示是正向关系,当期因子越大,下期股票收益越大。本文对升序因子取负号,使得各因子方向保持一致,以便合成大类因子;

3) 剩余等权合成:对因子采用等权重进行合成,同时若某因子存在缺失值,则对剩余因子等权合成。

2.2

大类因子表现测试

为了避免市值与行业带来的影响,一般会对因子进行市值行业中性化。因此在本文的研究中针对中性化前后所得到的大类风格因子都进行了实证分析。市值行业中性化具体步骤为:

1)以分位数变化标准化后的流通市值因子、中信一级行业哑变量为自变量;

2) 以分位数变化标准化后大类因子为因变量;

3)取回归的残差作为中性化后因子。

其中对于规模因子仅做行业中性化,回归自变量为中信一级行业哑变量。

下面本文从IC测试和五分位组合测试两个维度对大类因子表现进行总结,测试参数设置如下:

1)测试时间:2010.12.31-2020.3.31

2) 选股池:剔除特殊处理、上市不满180天的全体A股

可以看出中性化处理显著降低了因子表现的风险,在IC_IR、夏普比率等绩效维度上有明显的提升。

从相关系数来看,无论是否经过中性化处理,大类因子之间的两两相关性都处于较低的水平。总体来看,仅有风险因子与估值、反转和流动性因子的相关性较高。

大类风格因子分年度多空组合表现来看,A股存在明显的风格轮动现象。以规模因子为例,2013-2016年间规模因子表现优异,明显超过其余因子。然而在2017年规模因子出现大幅度回撤。这也是因子动态配置研究的意义所在,我们希望能够一定程度上降低组合的风险,使其在风格转换的时期表现更加稳健。

3、因子动态配置模型理论介绍

3.1

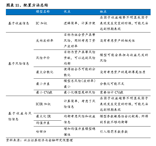
基于收益信息的动态配置模型

3.2

基于风险信息的动态配置模型

3.2.1 基于反向波动率加权的配置方法

反向波动率,也称为简单风险平价或波动率平价模型。组合中单一因子的权重为:

反向波动率方法易于实施且求解快速。另外,相较于等权的配置方法,反向波动率加权将因子近期的风险水平纳入了考虑的范围,力求能够提升因子组合的预测稳定性。但需要注意的是反向波动率加权并没有考虑资产之间的相关性。

3.2.2 风险平价配置模型

3.2.3 最大分散化配置方法

3.2.4 全局最小方差配置方法

3.2.5 最小CVaR配置方法

3.3

基于收益与风险信息的动态配置模型

3.3.1 历史ICIR加权配置方法

3.3.2 最大化IR配置方法

3.3.3 均值方差配置方法

3.4

模型对比与评价

前面我们对各个动态配置模型进行介绍,下面对各个模型的特点进行简单总结:

同时本文从三个角度对各配置方法在因子动态配置领域的作用进行系统化的对比与评价,以便掌握不同配置方法下因子动态配置表现。

1. 合成因子有效性测试

本文将因子动态配置模型所得到的合成因子表现作为模型的重要评价维度。本文针对合成因子的有效性测试主要采用Rank IC(下文统一简称为IC)测试和五分位数组合测试两种方法。

2.  因子配置权重变动分析

因子动态配置的核心为每期的因子权重,我们对因子配置权重前后两期的变动进行分析:计算t 期因子权重和 t-1 期因子权重之间的相关系数,以此来衡量因子权重变动的快慢,并进一步展示配置模型的稳定性和可操作性。

3.  投资组合尾部风险                

应用因子动态配置模型的目标之一就是降低组合的风险。除了考察波动率,我们还对一些反映尾部风险的指标进行了重点考察。这里我们将合成因子五分位数组合测试中多头组合的最大回撤和CVaR作为组合尾部风险的评价参考指标。

4、实证分析之以原始大类风格因子为配置标的

实证分析之以原始大类风格因子为配置标的

首先我们以未进行中性化的八大类原始风格因子作为配置标的,所涉及的回溯周期设定如下:

1、协方差矩阵以过去60个月滚动计算;

2、IC加权中IC均值采用过去12个月滚动计算;

3、ICIR加权中ICIR采用过去24个月滚动计算;

4、反向波动率配置方法中波动率采用过去60个月滚动计算;

同时本文假定:不允许因子卖空,单个因子的权重为0~0.15,因子权重求和为1。下述所有测试时间段为2010.12.31-2020.3.31。(在附录中我们对计算周期、因子权重限制进行了敏感性测试)

4.1

基于全A选股池的研究分析

首先我们在全A选股池中进行实证分析,即在大类因子的处理中分位数标准化等步骤皆在满足非特殊处理、上市满180的全体A股上进行。从测试结果来看:

1)合成因子有效性测试维度:IC加权和ICIR加权在收益端增加最为明显,一般来看能够具备超过基准的收益;在风险调整后的表现方面,最大化IR、最大分散化方法具有更好的表现;同时岭回归能够一定程度改进均值方差方法的表现,在风险和收益两个维度皆有提升。

2)因子配置权重分析维度:IC加权与ICIR加权方式权重的波动率较大,而基于风险信息的配置方法权重波动率普遍较小(其中风险平价配置方法与基准极为接近,我们在附录中对此结果产生的原因进行了理论分析);同时均值方差方法前后两期权重相关系数较低,其他方法都在90%以上。

3)投资组合尾部风险维度:因子动态配置方法大体都能有效的降低投资组合尾部风险;其中最大分散化、最小方差、最小CVaR三类方法效果改进效果最为显著。

1)合成因子有效性测试

2)因子配置权重变动分析

为了更加直观地看出配置过程中各因子权重变化,我们绘制了各因子权重变动图。

3)尾部风险评价

4.2

针对沪深300选股池的研究分析

下面我们测试在沪深300中的各配置方法表现,此部分的因子标准化、合成等操作皆在沪深300成分股这一截面上完成。

1)合成因子有效性测试维度:沪深300选股池中,IC加权和ICIR加权不存在对收益的增加效果;同时在风险调整后的指标上,最大化IR、最大分散化方法依旧具备较好的表现,同时岭回归相较均值方差方法在在收益端有所提升,然而在降低风险上没有效果。

2) 因子配置权重分析维度:与全A中测试结果基本一致:IC加权与ICIR加权方式权重的波动率较大,而基于风险信息的配置方法权重波动率普遍较小(其中风险平价配置方法与基准极为接近);均值方差方法前后两期权重相关系数较低,其他方法都在90%以上。

3)投资组合尾部风险维度:沪深300中,因子动态配置方法在减低尾部风险方面的作用有所降低,但仍有一定的效果。

1)合成因子有效性测试

2)因子配置权重变动分析

各因子权重变动如下所示:

3)尾部风险评价

5、实证分析之以中性化后大类风格因子为配置标的

5.1

针对全A选股池的研究分析

此章节以中性化后大类风格因子为配置标的,首先同样在全A选股池中进行实证分析,从测试结果来看:

1)合成因子有效性测试维度:IC加权和ICIR加权在收益端增加依旧明显;在风险调整后表现方面,最大化IR、最大分散化方法具有更好的表现。

2)因子配置权重分析维度:IC加权与ICIR加权方式权重的波动率较大,而基于风险信息的配置方法权重波动率普遍较小(其中风险平价配置方法与基准极为接近);同时均值方差方法前后两期权重相关系数较低。

3) 投资组合尾部风险维度:因子动态配置方法大体都能有效的降低投资组合尾部风险;其中最大分散化、最小方差、最小CVaR三类方法效果改进效果最为显著。

1)合成因子有效测试

2)因子配置权重变动分析

3)尾部风险评价

5.2

针对沪深300选股池的研究分析

本章以中性化后因子为配置标的,在沪深300中进行测试。从测试结果来看:

1)合成因子有效性测试维度:沪深300选股池中,IC加权和ICIR加权不存在对收益的增加作用;同时在风险后调整收益指标上,各方法提升不明显;同时岭回归相较均值方差方法在在收益端有所提升,然而在降低风险上没有效果;

2)因子配置权重分析维度:与前文结论基本一致;

3)投资组合尾部风险维度:沪深300中,因子动态配置方法在减低尾部风险方面的作用有所降低,但仍有一定的效果。

1)合成因子有效性测试

2)因子配置权重变动分析

以下是各因子权重变动图。

3)尾部风险评价

6、结论

我们借鉴了原本应用于大类资产配置的多个模型和方法,从基于收益、基于风险和基于风险与收益三个角度对因子动态配置方法进行了汇总。同时从合成因子有效性测试、因子权重变动分析与投资组合尾部风险三个角度对各模型表现进行简单总结。下表将每个维度排名前三的模型列出,供大家参考(排在首位的为该维度表现最好的)。

7、附录

1) 回溯周期

2)因子上下权重限制

3)风险平价方法实证结果说明

8、参考文献

[1] Ilmanen A , Kizer J . The Death of Diversification Has Been Greatly Exaggerated[J]. The Journal of Portfolio Management, 2012, 38(3):15-27.

[2] Qian, Edward. Risk Parity and Diversification[J]. Journal of Investing, 2011, 20(1):119-127.

[3] Jorion, Philippe. "Value at risk." (2000).

[4] Harry Markowitz. Portfolio Selection[J]. Journal of Finance, 1952, 7(1):77-91.

[5] Sharpe W F. A simplified model for portfolio analysis[J]. Management science, 1963, 9(2): 277-293.

[6] Konno H, Suzuki K. A mean-variance-skewness portfolio optimization model[J]. Journal of the Operations Research Society of Japan, 1995, 38(2): 173-187.

[7] Roy A D. Safety first and the holding of assets[J]. Econometrica: Journal of the econometric society, 1952: 431-449.

[8] Young M R. A minimax portfolio selection rule with linear programming solution[J]. Management science, 1998, 44(5): 673-683.

[9] Choueifaty, Y., and Coignard, Y. [2008].“Toward maximum diversification”, Journal of Portfolio Management, Vol. 34, No. 4, pp. 40-51.

[10] Pezier, J., and White, A. [2006]. “The relative merits of hedge fund indices and of fundsof hedge funds in optimal passive portfolios”, ICMA Discussion Papers in Finance.

[11] Qian, Edward. "Risk parity and diversification." The Journal of Investing 20.1 (2011): 119-127.

风险提示:报告中的结果均通过历史数据统计、建模和测算完成,在政策、市场环境发生变化时模型存在失效的风险。

因子轮动研究系列之二:“天花板”视角下因子择时有效性探究

因子轮动研究系列之一:基于机器学习方法的A股市值风格轮动研究

注:文中报告节选自兴业证券经济与金融研究院已公开发布研究报告,具体报告内容及相关风险提示等详见完整版报告。

证券研究报告:《因子轮动系列之三:因子动态配置手册》。

对外发布时间:2020年5月7日

报告发布机构:兴业证券股份有限公司(已获中国证监会许可的证券投资咨询业务资格)

--------------------------------------

分析师:徐寅

SAC执业证书编号:S0190514070004

电话:18602155387,021-38565949

--------------------------------------

加载中...