新浪财经

【中金固收·重磅推荐】黑天鹅启示录2018-2020—中国信用债市场违约案例回顾与总结 20200916

中金固定收益研究

关注

作者

许艳分析员,SAC执业证书编号:S0080511030007;SFC CE Ref: BBP876

王瑞娟分析员,SAC执业证书编号:S0080515060003

鲁雁君分析员,SAC执业证书编号:S0080518080003

雷文斓分析员,SAC执业证书编号: S0080518070015

邱赛赛分析员,SAC执业证书编号:S0080518070014

张烁文分析员,SAC执业证书编号:S0080519110004  SFC CE Ref:BPL705

李思婕联系人,SAC执业证书编号:S0080119110017

于 杰联系人,SAC执业证书编号:S0080119100011

截至2020年8月31日,中国信用债市场共144家发行人违约,实质确认违约的债券共470支,涉及本金共4440.38亿元。由于交叉违约条款仍有一定程度的不完善,这些违约的发行人目前还有未到期(未正式确认违约)的债券共1468.28亿元。两部分合计,违约发行人涉及存续债券量共5908.66亿元,与目前非金融类信用债24.77万亿元的存量相比,累计占比约2.39%。本文在2014年3月、2016年10月、2018年9月《寻找黑天鹅》、《黑天鹅启示录2014-2016》、《黑天鹅启示录2016-2018》专题报告的基础上,继续整理了2018年9月20日至2020年8月31日新增违约发行人的违约事件,同时附加这期间债券展期、撤销回售、场外兑付、永续债大额加点展期或递延支付利息、债券置换等花样违约事件,试图通过对历史经验教训的不断总结,为投资者在新环境下如何预警未来的信用风险提供一定的借鉴。

违约案例八大启示

我们在《中金债市宝典信用篇》中对信用分析框架做过详细介绍,从定性的经营风险结合定量的财务风险展开,结合外部支持判断,作为对主体的评价结果。在不同宏观背景阶段,企业面临的核心风险因素存在较大差异,比如2017年以来供给侧改革推进,债券发行人总体盈利得到一定改善,不过融资持续收紧、大环境降杠杆破刚兑,近两年核心风险因素在再融资层面,还体现为明显的分化格局。近两年的违约案例也给予投资者多方面的启示,我们整理如下:

启示一:信用风险周期性上升时降低风险暴露是核心投资要点。信用违约高峰通常是经济周期、融资周期、债券到期“三期”叠加的结果,2018-2019年违约密集爆发是融资周期与到期叠加,2020年经济受疫情影响下行压力大,融资总量较为宽裕但结构性分化仍存,不过由于债券市场低资质到期量下降,违约数量边际下降。

启示二:再融资收紧环境中企业分化加剧。首先是所有权属性的分化,民企在信用收缩中蛋糕压缩更多,违约发生频率远远高于国企。其次是行业的分化,受益于供给侧改革盈利好转的国企集中的中上游行业违约相对较少,中下游行业需求替代同时成本上升导致盈利恶化,例如服装、地炼化工、木材加工、首饰加工等,还有低端汽车制造商违约明显较多。最后是区域的分化,区域内产业链的相关性、互保和信用事件导致的融资收缩使得信用风险呈区域性传染性和聚集性特点。

启示三:盲目扩张“巨头”的倒下。投资是一把双刃剑,企业面临发展和负债的左右权衡,根本在于投资效益与成本的考量,实际执行中时点选择和资金来源亦是决定性因素。近几年多家“巨头”公司债券违约,如中民投、中信国安、海航系、方正,还有多元化转型失败的银亿和华业,最根本的原因就是在信贷扩张期大额举债扩张,而投资收益不足以弥补融资成本,恰有进入融资紧缩周期资金链断裂。

启示四:行业震动形成“部分违约,剩者为王”格局。大部分行业具有周期性,分析行业内企业在经营和投融资方面的核心竞争力至关重要。一般情形下,行业低迷周期会将其中部分企业震动出局,而后行业供需矛盾得以解决,产品价格回升,存续企业会出现“剩者为王”局面,近几年产能过剩、禽畜养殖业、低端车制造企业都反映了这个问题;当然如果出现了行业根本性衰落,则其中大多数企业会出现偿债能力下降,是否具有核心竞争力或处于优势细分领域、资金来源的广泛性等则是核心竞争优势。

启示五:对企业财务质量保持合理疑虑。定量分析基于企业财务报表,根本前提是财务报表可靠。近几年的违约案例暴露出以下几个问题:财务报表的盈利现金流表现与大环境行业、企业经营状况不符合的企业往往有财务报表操纵嫌疑,另外部分业务本身存在风险高、识别难度大的问题,需要特别关注;警惕“存贷双高”型企业,大部分情况下存贷双高不具备商业合理性,近几年有多家这种特征的企业暴露违约风险;母子公司报表的单独考虑与综合绑定分析,此前我们已经提示过母公司单独报表的考量。从近几年的情况看,我们还需要提示投资者,对于子公司偿债能力判断也需要警惕集团资金归集造成子公司信用实质上与母公司及兄弟公司绑定较多、集团公司间风险传染性的问题。

启示六:公司治理往往是核心风险。在我们对违约企业的研究中发现,大量企业存在公司治理问题,在信用风险识别时,存在公司治理问题的企业会发出如下几种“信号”,例如多次收到监管关注、问询、立案调查等,审计报告被出具非标准审计意见以及非正常更换审计师,高管频繁变动和长期缺位或不恰当任职。

启示七:房地产行业信用风险加速暴露。房地产行业受政策调控比较多,近几年无论是销售还是融资都处于收紧阶段,加上销售增速回落,前期债务陆续到期导致流动性压力上升,行业信用风险边际上升,目前已有8家房地产企业出现债券实质违约,规模上从名不见经传的小企业拓展到50强房企,业态上从区域、物业形态单一的房企拓展到全国性房企。房地产行业由于其销售和融资的特殊性,信用分析也与普通企业大不相同,除了我们在《房地产信用宝典》中提到的现金流先于盈利、资产处置分析有效外,还有一些投资者比较关心的细节:比如房地产企业的规模效应要在同一口径上比较,资产规模最好做打折处理;合作开发产生的“名股实债”问题核心是合作方资质确认,计入“少数股东权益”的可通过“少数股东权益占比”与“少数股东损益占比”的比较来识别。

启示八:信用风险暴露后,一旦融资持续收缩,变卖资产、花样展期等各种操作只能延缓风险暴露而很难起死回生。违约损失由违约概率和违约后损失率共同决定,实质上取决于企业资产对负债的覆盖能力,有部分企业试图在债券实质违约前通过出售资产清偿债务缓解流动性,但在经济增速下行、融资总体收紧的当下,往往会产生更强的避险情绪,再融资并不会有明显改善,企业最终违约还是大概率事件。另外,如前所述,近几年发行人开始频繁采取多种程序上的操作避免实质违约暴露,但大都无法改变信用资质的恶化。

中国信用债市场违约案例回顾

该部分总结了信用债市场发生实质性违约的54个案例,其中关联发行人已经做了合并处理,按首次违约先后顺序排列为利源、新光、众品、金茂、刚泰、华阳经贸、金玛、华业、宁夏上陵、三鼎、雏鹰、宏图、大海、洛娃、银亿、康得新、宝塔石化、中民投、国购、东方园林、胜通、金钰、金洲、丰盛、中信国安、腾邦、精功、皖经建、正源、沈机、华泰、东锆、西王、天广、金贵、贵人鸟、东旭、玉皇、方正、力帆、天神、康美、信威、桑德、远高实业、中融新大、新华联控、如意科技、海航系、宜华、华讯、泰禾、铁牛、房信,内容主要覆盖了各个发行人的概况和信用事件演变过程回顾,以及爆发信用风险的主要原因。详细内容请参见正文。

附表

该部分列示了各违约发行人的主要财务指标,更新至发行人首次违约前最新一期财务报表,供投资者参考。

引言

从2014年第一只违约券超日出现至2020年8月31日,中国债券市场出现过债券实质违约的发行人共144家,实质确认违约的债券共470支,涉及本金共4440.38亿元(已偿还782.21亿元)。由于交叉违约条款仍有一定程度的不完善,这些违约的发行人目前还有未到期(未正式确认违约)的债券共1468.28亿元。两部分合计,违约发行人涉及存续债券量共5908.66亿元,与目前非金融类信用债24.77万亿元的存量相比,累计占比约2.39%。(此处需要说明,由于私募债券信息不公开,我们的统计仅包含有公告或确切媒体报道的案例)。从新增违约发行人数量看,2014年仅有超日债一单违约,2015和2016年新增违约发行人分别为9个和15个。2017年由于产能过剩行业盈利和融资环境好转,加上19大前后市场维稳压力较大,新增违约发行人数量降低至6个。2017年底以来再融资全面收紧,2018年新增违约发行人重新大幅上升,并于2019年达到目前的顶峰,2018-2019年新增违约发行人均为45个。2020年初全国范围内爆发疫情,之后监管支持实体部门融资、市场收益率下行,企业融资状况明显好转,同时各方面通过展期、撤销回售等方式尽量避免实质违约,而且大量信用资质较弱的企业已经出现违约、低资质非国企到期压力有所下降等因素,新增违约发行人有所下降,截至2020年8月31日新增违约发行人为23个、违约债券93支,债券违约金额为1046.1亿元,历史上仅次于2018和2019年。23个新增违约发行人中,有12个出现在一季度、6个出现在二季度、剩余5个出现在三季度,呈逐步降低态势。

我们分别于2014年3月、2016年10月、2018年9月发布专题研究报告《寻找黑天鹅》、《黑天鹅启示录2014-2016》、《黑天鹅启示录2017-2018》整理了2018年9月之前发生的债市违约和重要信用事件。本文在前三篇专题的基础上,继续整理了2018年9月20日以来92家新增违约发行人的违约事件,其中24家发生在2018年9月20日至2018年年底,45家发生在2019年,23家发生在2020年年初至今。本文试图通过对历史经验教训的不断总结,为投资者在新环境下如何预警未来的信用风险提供一定的借鉴,涉及的违约案例列表详见图表2。

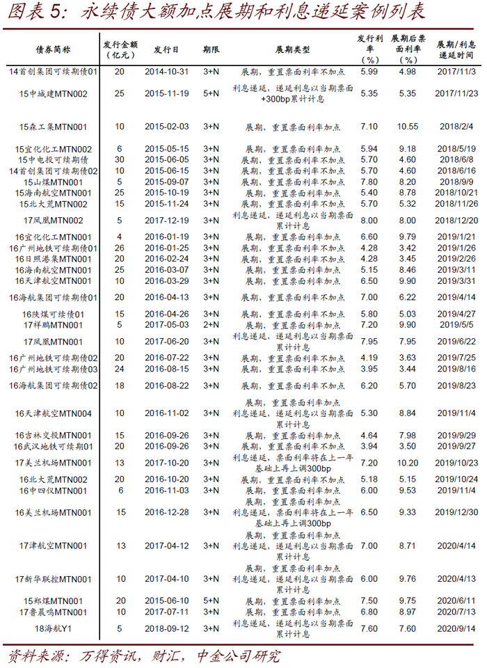
除实质违约外,2019年以来各种不进行违约公告确认的“准违约”案例比较多,包括但不限于展期、撤销回售、场外兑付、永续债大额加点展期或递延支付利息、债券置换。根据《合同法》,债券未于到期/回售/付息日按约定全额兑付确定为违约,以上各类案例并不符合《合同法》角度的违约,即发行人未触发合同或法律意义上的违约。但是从投资者损失角度看,无论是估值还是实质支付进度都承受了较大损失,从而符合广义上定义的“准违约事件”。从主体来看,涉及上述安排的企业基本都涉及偿债压力大和流动性紧张的问题,存在违约风险上升的问题。从过程来看,大量案例都说明“经与投资者协商一致”,但大部分并无相应的持有人会议决议等明确证据,而且还曾经出现过发行人单方面宣布与投资者协商一致变更偿债安排,但遭到投资者否认的情况,使得投资者是否同意成谜。即便是已经得到投资者同意,上述特殊安排总体上向着不利于投资者的方向修改的合同,明面上得到投资者同意更接近修改合同条款而不触发违约,不过从债权人本质上属于被迫行为、已经承受了客观上的损失两个角度来看,已经属于困境债务置换角度的违约。更重要的从结果来看,展期;撤销回售后同一主体后续正式到期的债券直接触发违约;场外兑付不通过托管清算机构兑付也使得发行人绕过正常信息披露要求,而是否确实完成兑付也存在较大不确定性;永续债大额加点展期也代表着发行人流动性紧张和偿债压力上升,后续有正常到期债券同样触发违约;置换债券本身兑付状况也比较差。具体来看:

1)债券展期案例大部分会明确提及已与投资者协商一致,但是否确实达成一致不得而知,而且展期后的兑付进度总体并不理想。

从我们整理的公开信息来看,2019年以来共有48支债券涉及展期,发行额合计424.555亿元。在与投资者协商方面,庞大、雏鹰、东锆、玉皇未提及与投资者协商一致,永泰表示“与多数投资者充分沟通与协商,正在签署协议”,信威和东旭则明确表示“部分未取得投资者同意展期”,其余均明确表示已与投资者协商一致。而此前交易商协会在官网发布了针对宏图高科及其债券主承销商的自律处分信息,处分理由中提到,宏图高科于2018年11月26日披露了《江苏宏图高科技股份有限公司关于“15宏图MTN001”与投资人达成一致的公告》,其中“已与“15宏图MTN001”全部投资人就延期兑付方案达成一致”的表述与实际情况不符。从主体资质来看,这些展期债券的发行人都存在偿债能力恶化、流动性压力大的问题,除私募可交换债16配投01外和霍煤债外,均同样是违约债券发行人。

从展期后的兑付结果来看,完成兑付情况不容乐观。具体来看:(1)目前明确已完成兑付的仅5支个券,分别是16民生投资PPN001、17奥马01、17奥马02、12东锆债、19远高实业CP001,其中17奥马01是多次展期后才完成兑付。(2)有5支个券明确公告在原展期日的兑付日未能完成兑付,包括17天宝01、17金洲01、17丰盛01、18北讯03、18西王CP001,18北讯01在展期后完成部分兑付,表明企业以时间换空间的操作未能带来流动性的实质改善,也说明展期债券实质违约风险大。(3)大量债券均未明确披露展期兑付日或未到展期约定兑付日,还有较大债券多次展期。

2)撤销回售增多与回售新规出台有关,场外兑付是非正常兑付程序,总体上信息披露不够透明,采取这两种方式避免实质违约的发行人后续也多触发了实质违约。

2019年6月上交所发布《关于公司债券回售业务有关事项的通知》,明确了撤销回售和转售相关规定,此后撤销回售明显增多,成为部分公司债避免触发违约的迂回方式。从实际回售占进入回售期的比例看,通知出台前实际回售比例在35%左右,出台后降低至20%左右,一定程度上反映出回售新规实施后撤销回售增多的趋势。这种方式主要是采取以时间换空间的方式延后企业兑付压力,并不能解决企业资金链压力大、潜在违约风险高的根本问题,随着债券陆续到期,低资质企业信用风险仍会暴露出来。

一般而言债券到期正常兑付都是通过债券托管清算机构代理进行,资金是否到账、是否按时足量兑付给投资者都会由托管机构明确公告。如果没有及时到账,托管机构的公告一般可作为违约的公开公告证据;但不通过托管机构而私下场外自行兑付的话,发行人就没有公告的相关义务,那么只要发行人不公告,具体兑付方式和进展都不透明,也就没有公开信息确认违约。可以想见,私下兑付通常都意味着兑付不是正常的按原约定到期日全额兑付,背后可能有各种各样的原因。其中可能不乏由于偿债困难,与投资者协商展期、打折或分期兑付等等债务重组方案的情况。如果符合相关债务重组的特征,本质上也属于违约。

从我们整理的公开信息来看,目前共有27支债券涉及撤销回售或场外兑付,发行额合计299.2亿元。具体来看,(1)9支债券仅涉及撤销回售,包括15安城债、18中民G1、17颐和01、16东林02、16西王04、17西航01、18中融新大MTN002、18万达MTN002、18万集01,其中中民投在该期债券撤销回售前已有债券确认违约,西王在撤销回售后一个月超短融到期时确认违约,中融新大、颐和该期债券撤销回售后未撤销部分也确认违约。(2)6支债券既涉及撤销回售还对未撤销部分或利息进行了场外兑付,包括16天房02、17金洲01、16海空01、16盛润债、16天广01、17万集01,部分撤销回售后,剩余登记回售本金及当期利息由发行人通过场外兑付/自行兑付,这几家发行人中金洲、天广是实质违约债券发行人,天房、海空关联企业有债券实质违约。(3)12支债券仅涉及场外兑付,包括13弘燃气、15金茂债、12三胞债、16金贵02、16永泰01、16宜华E1、17华讯01、16宜华01、18中融新大MTN001、19如意科技MTN001,这些债券对应的发行人全部已有债券触发实质违约,这些债券本身也有大部分已确认实质违约。从这些债券场外兑付安排来看,13弘燃气、12三胞债明确个人投资者通过中证登办理兑付(有延迟)、机构投资者场外协商解决,16金茂债说明指定投资者由中证登办理结算、未指定投资者按照达成的协议执行偿债计划,16弘债02通过场外方式支付了部分本金和利息,18金贵01、16宜华01回售部分本金及利息通过场外兑付、未回售部分利息场内支付,其余均表示全部采用场外兑付方式结算。在场外兑付进展方面,16宜华E1明确表示部分完成兑付、18中融新大MTN001明确公告已完成利息兑付,其余均无明确公告。

3)永续债大幅加点仍选择展期或递延支付利息意味着发行人偿债能力明显恶化,后续有正常到期债券也都出现实质违约。我们曾多次阐述,在目前永续债条款结构下,发行人选择展期有两种原因,对应两类发行人。其一,展期后票面不加点,对应偿债能力良好仅意图节省融资成本的发行人,通常发生在永续债发行后利率处于下行周期,这类永续债展期后票面利率通常低于原票面利率,也会低于展期时重新发同一结构新债的票面利率。其二,票面大额加点,以300bp和500bp为主,这种情形下展期后票面利率会大幅上升,而发行人仍然选择展期,主要由于流动性压力大或者再融资困难,实质上违约风险是比较高的。而无论递延支付利息是否会触发票面加点,投资人角度看递延支付利息都是比较大的负面信号,因此同样也是这类流动性压力大的发行人会倾向于选择递延支付利息。据我们统计,目前展期、递延支付利息的永续债券共34支,其中14支为展期不加点案例,大部分集中在首创、广州地铁等优质发行人,也有海航的两期债券。其余20支债券中,有11支为海航系债券,此外中城建、新华联控已有多期债券违约,森工进入破产,郑煤、吉林交投在永续债展期时仅剩该期债券一期公募存续债。以上债券中,大部分展期债券也会选择递延支付利息。

4)债券置换大都符合“困境债务”置换条件,且置换债券最终兑付结果也不如人意。债券置换是负债管理的重要方式之一,在海外有着广泛的实践,具体指的是发行人向投资者发出要约将现有债券按照一定比例置换为新债券,新债券的期限和票息等条款可发生改变,常规的债券置换可避免企业发生实质违约,也属于“以时间换空间”的一种方式,缓解流动性压力,尤其是对于短期流动性压力大但仍具备持续经营能力的发行人。债券置换的条款至关重要,核心要素主要包括置换比例或置换金额、置换新债券的票息、期限及偿付方式,这决定了投资者所获得新债券价值,如果新债券的条款安排弱于原有债券则可能被视为困境债券置换。新债券条款较弱主要包括以下任何一项:本金削减;利息削减;期限延长;现金支付转为实物支付或其他非现金支付方式(Pay-in-kind,PIK);债转股或其他混合资本工具;接受交换要约以将现有债券更改为不利于持有人的条款为先决条件等。

2020年银行间和交易所各有一支债券试水债券置换,即17桑德工程MTN001和17华昌01,均是在到期日前一周左右公告拟置换债券,债券以1:1等比例置换,桑德置换债票面利率上浮50bp,华昌维持票面利率也仍由深高新投提供担保,新债券到期日延后一年,桑德给予9个月时回售选择权。置换结果显示置换率分别为80%和65%左右,未置换部分桑德违约、华昌达完成兑付。债券置换是监管通知的具体实践:2019年12月27日,中国人民银行、发改委和证监会发布《关于公司信用类债券违约处置有关事宜的通知(征求意见稿)》,银行间交易所协会发布《银行间债券市场费金融企业债务融资工具违约及风险处置指南》,均提到“发行人可以通过置换方式处置违约债务融资工具”。不过从后续桑德工程未兑付部分构成违约的结果来看,债券置换并未起到“时间换空间”的效应,实际上发行人并非单纯流动性问题,仍需对相应条款进行深入研究。

违约案例八大启示

我们在《中金债市宝典信用篇》中对信用分析框架(图表7)做过详细介绍。针对企业的信用分析,从定性的经营风险结合定量的财务风险展开,结合外部支持判断,作为对主体的评价结果。其中定性分析从宏观、中观、微观层层递进,定量分析主要基于企业财务报表的盈利、现金流、资产负债表结构对企业偿债能力做出判断。企业可得到的外部支援可能来自金融机构、政府、股东等,这些又与其重要性程度直接相关。在不同宏观背景阶段,企业面临的核心风险因素存在较大差异,比如2017年以来供给侧改革推进,债券发行人总体盈利得到一定改善,不过融资持续收紧、大环境降杠杆破刚兑,近两年核心风险因素在再融资层面,违约层出不群,还体现为明显的分化格局。近两年的违约案例也给予投资者多方面的启示,我们整理如下。

启示一:信用风险周期性上升时降低风险暴露是核心投资要点

对于风险收益不对称的信用债投资而言,把握信用周期、规避违约风险密集爆发的阶段是非常重要的。如我们在信用宝典中阐述的,信用违约事件并不是均匀发生的,而是具有“爆发性”、“聚集性”的特点。根据穆迪对违约的研究,债券违约率分布具备典型的“高峰、厚尾”的特征,与经济周期密切相关。在违约密集爆发的时期,实际违约率显著高于历史平均违约率,单纯依靠分散化和择券难以有效规避风险,需要整体降低风险偏好加以应对。在违约风险持续发酵未有明显转变的过程中,评级间利差走扩,信用债投资最好的策略仍然是保持谨慎、评级中枢上移。待到新一轮经济增速回升,违约风险得到释放后,可适当下沉信用以获得超额回报。

信用违约高峰通常是经济周期、融资周期、债券到期“三期”叠加的结果,2018-2019年违约密集爆发是融资周期与到期叠加,2020年经济受疫情影响下行压力大,融资总量较为宽裕但结构性问题仍存,不过由于债券市场低资质到期量下降,违约数量边际下降。信用周期的判断是信用分析最重要也是最基础的一环,自2005年首支短融问世标志着纯信用债券市场的开启,至2014年超日债违约,长达十年之久没有发生过一起违约,与彼时中国宏观经济周期上行、社融维持快速增长、债券市场总量没有显著扩容都有关系。而随着宏观经济增速下行、企业融资中债券占比上升到期量增长,特别是2017年下半年以来整体信用收缩、再融资收紧,新增违约发行人数量和违约债券金额都有明显上升。具体来看,2014-2016年的违约有典型的行业特征,主因经济下行、行业景气低迷,违约企业多具备经营层面恶化较多的问题,例如2014-2015年违约企业多为新能源企业,与行业需求骤跌引发的企业盈利恶化有关;2015-2016年轮动到产能过剩行业,产品价格下降,总体盈利明显恶化。2016年底推进供给侧改革,大部分企业盈利都有明显改善,加上维稳氛围浓重,2017年新增违约发行人确有大幅减少;但紧接着2017年底以“资管新规”为标志的再融资全面收紧来临,从企业的财务报表来看表现为筹资现金流同比回落,2018年开始因再融资断裂引发的违约潮迅速占据主导地位,并呈现出传染性、聚集性、高发性特征,可以说2018年以来的违约多与融资周期相关;2020年疫情爆发,融资支持政策再度出台,不过持续两年多的再融资收紧演变为明确的分化格局,企业融资呈现出严重的两极分化格局,加上企业盈利确实受到较大冲击,信用风险压力仍存。此外,违约数量多少也与低资质企业到期高峰有关。具体来看,2012年中票市场扩容,2014年开始债券市场到期量呈指数级上升,因此当年出现第一家单独发债企业实质性违约。2016年年度信用债到期额超过5万亿元,且超短融到期高峰来临使得再融资滚续更密集,因此出现第一个违约高峰。而2018-2019年信用债到期回售量进一步攀升至7-8万亿元,加上前期发行的大量低资质公司债面临到期回售,新违约数量再创新高。而2020年虽然到期回售量仍维持相对高位,但较2019年同比有所降低,且大部分低资质发行人此前已暴露出信用风险,因此2020年新增违约发行人数量有所下降。

启示二:再融资收紧环境中企业分化加剧

首先是所有权属性的分化,融资渠道相对狭窄的民企在信用收缩中蛋糕压缩更多,违约发生频率远远高于国企。在信用分析定性研究中,企业所有权属性是个很重要的考量因素,主要由于民企可获得的资源和外部支持普遍弱于国企,最典型的在于融资渠道有限和股东支持能力较差,另外民企老板的个人风格会直接影响到企业的经营和战略定位、老板其他投资会对企业造成连锁反应,而国企管理层作为职业经理人对企业不会形成根本性的影响。单就融资方面,民企由于盈利和决策效率较高,在经济上升和信贷宽松环境下融资缺口和融资额增长速度都更大,反之在经济下行和信贷收紧的过程中则收缩也更多,呈现出更强烈的震荡。以债券发行人的筹资现金流为例,在广义信贷宽松的2010年和2014-2016年,非国企筹资现金增速明显超过国企;但2017年以来企业整体再融资收紧的过程中,非国企筹资现金流率先同比下降,且此后降幅一直超过国企,至2020年1季度企业筹资现金流同比回正,但非国企增速仍明显弱于国企。而2017年以来融资收紧导致2018年以来的违约中民企占比也明显提升,2015-2016年新增违约发行人来自民企的占比在5-7成,2018年以来均达到9成左右。

其次是行业的分化,受益于供给侧改革盈利好转的上游行业由于以国企为主,违约相对较少,中下游行业需求替代同时成本上升导致盈利恶化,加之民企众多,违约明显较多。2016年底推进的供给侧改革后,上游原材料类行业产品价格普遍上涨,如煤、钢、建材、油、各类金属等,这些行业盈利和现金流改善比较明显,而且这些行业以国企为主,在控制投资增速后主动偿还债务降杠杆收效良好,行业内企业违约总体较少。但相反的,下游行业需求并未有好转,上游原材料价格上涨还造成一定利润侵蚀,例如细分的服装、地炼化工、木材加工、首饰加工等行业,还有低端汽车制造商。另外部分需求被替代的行业也出现根本性的颠覆,如线上购物的大发展导致定位线下的零售行业竞争力直线下降,出现比较多的违约。

最后是区域的分化,区域内产业链的相关性、互保和信用事件导致的融资收缩使得信用风险呈区域性传染性和聚集性特点。一方面,区域经济景气和金融繁荣程度直接影响到区域内企业的经营和融资状况,而反过来企业的经营又会直接决定区域经济和财政收入。另一方面,同一区域内的企业依托共同的资源和产业优势,要么是同行业,要么形成产业链的上下游关系,受同一风险因素影响,容易出现多米诺骨牌效应。而且同区域内的企业还会有比较多的资金往来、互相担保等融资关系,一旦其中一家企业出现兑付困难,紧接着会引发多家企业的资金链传导效应,进而引发风险。其中互保在获得融资时通过增强彼此的经济联结性而提高融资能力,但从偿债角度既提高了互保双方负债/或有负债规模,又提高了彼此的违约相关系数,从而使得联合违约概率提高,2018年山东民企互保圈风险逐步引爆,大量参与其中的企业最终以违约和大面积破产告终,如大海、金茂、西王、东辰等。此外,在目前信用风险仍比较低的城投板块,少见的城投评级下调最主要的理由集中在对区域内其他企业(包括民企)的担保代偿风险上升引发的各类风险事件,进而导致提供担保的城投公司再融资难度明显上升,例如济宁城投计划为如意增资、提供存量债券担保、后又撤资等事件引发市场对其广泛关注和债券发行难度上升、二级市场收益率走高。

启示三:盲目扩张“巨头”的倒下

投资是一把双刃剑,企业面临发展和负债的左右权衡,根本在于投资效益与成本的考量,实际执行中时点选择和资金来源亦是决定性因素。对于大多数企业来说,投资并非主营业务,多与规模扩张有关,具体扩张方向有二:其一,在坚守原有业务的规模扩大,具体表现为生产线的扩张、上下游一体化的扩张;其二,进行与原有业务无关的多元化扩张,通常在企业增加业务线、纯粹为了增强规模优势、或者既有业务已无发展空间时采取。投资总体上对企业而言是一把双刃剑,一方面规模扩大有利于提高盈利和综合抗风险能力,还有部分企业原有业务被淘汰或替代,被迫也需要进行转型以寻求新的生存空间;但另一方面往往会带来高昂负债成本和扩张后的挑战,尤其是上下游或无关业务多元化扩张,存在较大协同和管理挑战。实际执行中,投资效益的决定性因素还包括时点选择和资金来源,一般情况下周期性行业在扩张时企业往往倾向于追加投资,但在投资完成后有可能出现产能过剩、价格走低局面,这也是统计中猪周期出现最核心的原因;而如果在扩张时采用了高杠杆方式,之后正好进入融资收缩阶段,则会导致企业偿债能力迅速下降,甚至出现违约。

近几年多家“巨头”公司债券违约,最根本的原因就是在信用扩张期大额举债扩张,而投资收益不足以弥补融资成本,恰有进入融资紧缩周期资金链断裂。从我国近几年的发展来看,2014-2016年银行表外理财大幅扩容,本质上是金融体系加杠杆的过程,信用创造显著增加,企业融资变得非常容易和便宜。在此期间进行了高杠杆融资、超出管理能力的激进投资的企业,从2017年底开始融资收紧、债务陆续到期,就出现了非常困难的局面;甚至部分企业抓住宽松信贷周期进行不计回报的投资意图迅速做大企业,规模上升后融资便利性进一步上升,但当融资泡沫退去,需要检验投资效益时,前期规模神话迅速破灭,容易引发更多的连锁信用事件。大大小小的违约案例背后大部分有投资冲动的缩影,其中最为典型的几家多元化大规模扩张的企业有中民投、中信国安、海航系、方正,这几家公司从诞生到违约都有着浓重的投资冲动,然而投资效益不佳拖累资产盈利效率下降,还多存在管理问题和关联方资金往来问题,在违约前再融资难度都有明显提升。具体来看:

1)中民投:设立于2014年5月,初始由59家赫赫有名的民营企业共同发起设立,主要从事投资类业务。公司成立后依托其大额资本金和便利的融资渠道,在金融、地产、新能源方面激进投资,多项股权收购都是溢价收购形成高昂商誉,2014-2017年合计自由现金流缺口超过1500亿元。2017年开始公司进入偿债高峰,2018年3季末短期债务达到942.5亿元,净短债高达722亿元,而且各类资产受限比例较高,股权多数被冻结、银行贷款出现纠纷提款难度上升等。而且公司从管理方面也存在股东缴款不到位、无实际控制人、管理层频繁变更等问题。而如果追溯公司投资资产的话,会发现欠款对象早就已经出现了债券实质违约,如公司对凯迪生态有较大规模应收款敞口已逾期,而下游欠款企业债务逾期必然会拖累到上游企业的偿债能力。

2)中信国安:公司2014年完成混改后引入多家民企股东,成为无实际控制人的企业,这一方面可能使得原股东中信集团对其支持意愿下降。另一方面,公司也开始大规模扩张历程,混改后每年投资现金净流出金额都在100亿元以上,但并未带来相应的盈利和现金流,表现为资产负债表总资产、总债务规模大幅上升而利润表净利润规模并未明显提升,资产收益率下降。融资方面,公司在债券违约前已经有上市公司股权质押、冻结和轮候冻结以及2018年8月以来再未有新债发行,而银行低啊款和非标已经出现过实质风险。而中信国安同样是永续债触发了强制付息条款后付息违约的案例,还反映出该条款作为债券投资者的保护条款,触发后也会导致发行人短期流动性压力进一步上升从而更早暴露实质违约的可能。

3)海航系:海航一直以来备受债券市场关注,一是股权结构的复杂性,所有权属性多有争议,二是投资范围的多样化。作为第四大航空公司和多个支线航空公司、机场运营商,本身拥有强大的竞争力,不过公司不断扩张其业务范围,包括租赁、酒店、旅游、土地等,积累了非常沉重的债务负担,而主业以外的资产盈利效率并不高,拖累了整体的偿债能力。而且,公司频繁变更其组织架构、股权结构和大量关联资金往来,大大增强了信用分析难度,也增加了投资者的疑虑,反过来又导致其负面消息出现时再融资难度会迅速上升。

4)方正:作为两大校企之一,公司业务横跨信息技术、医药医疗、金融证券、贸易、产业地产和钢铁等多个领域,下属多家上市公司。公司同样存在着产业协同性差,总体盈利效率低下而投资支出庞大导致的偿债能力下降的问题。更严重的是,集团层面存在严重的股权纠纷和因此引发的管理层变动、内控薄弱等问题,对其经营和再融资都产生较大不利影响。

5)除以上几家公司外,已违约的企业中还有很多多元化转型失败的案例,例如银亿和华业。这两家公司原始主业都是房地产,但意图进军汽车整车制造和医疗金融业务。其中银亿高溢价收购境外子公司后资本市场响应确实良好,但之后行业进入下行周期,前期收购形成的大额商誉减值使得企业盈利被拖累;而华业折价收购的应收医院款项被识别为虚假合同,前期过百亿元投资打水漂,最终暴露违约。可以说,这两家公司是典型的跨界失败案例,由于进入一个完全没有协同效应和知识储备的全新领域,前期大额投资无法收回最终拖累公司自身经营和偿债。

启示四:行业震动形成“部分违约,剩者为王”格局

大部分行业具有周期性,企业信用资质的优劣由扛周期能力决定,分析行业内企业在经营和投融资方面的核心竞争力至关重要。信用分析以定性分析为主,自上而下由宏观经济、行业景气度、企业竞争能力几个方面组成,其中大多数行业存在周期性特点,只是强弱区别,而企业竞争能力体现在“扛周期”的能力。一般情形下,行业低迷周期会将其中部分企业震动出局,而后行业供需矛盾得以解决,产品价格回升,存续企业会出现“剩者为王”局面;当然如果出现了行业根本性衰落,则其中大多数企业会出现偿债能力下降,是否能够顺利转型则是核心竞争优势。例如:

1)2011年开始新能源行业全球投资建设计划下降,而前期大量以风机叶片为主的上游行业产能扩张较多,这些产业自身进入壁垒有限,容易形成大量同质化竞争,而在下游需求走弱时很容易出现订单减少、盈利和现金流走弱从而带来偿债问题,例如超日和尚德,而同行业的金风则由于其产能比较先进,顺利扛过了周期下行阶段,自2015年中国增加新能源投资后订单量和盈利迅速上升。

2)2014-2015年产能过剩行业盈利普遍恶化,2016年底国家大力推进供给侧改革,各类产品价格上涨,尤以产能过剩行业集中的上游原材料行业受益良多,此后这类企业盈利和再融资都出现大幅好转。但所谓的供给侧改革,实际上就是淘汰落后产能和落后企业,核心在于“淘汰一部分,拯救大部分”,以煤炭行业为例,在此过程中部分因资源优势不足被淘汰的发行人暴露了风险,比如川煤债券违约、国投新集被收购。

3)禽畜养殖业非常容易受短期事件影响,经营效益震动剧烈,甚至关系到个别企业的生死存亡。例如2018年爆发非洲猪瘟,大量养猪企业填埋生猪、计提存货减值等,盈利大幅恶化,其中众品、雏鹰债券违约。而这部分企业退出后,生猪市场供给远远不及需求,猪价大幅上升,牧原、温氏等存续企业盈利颇丰。

4)由于宏观经济增速回落以及政策刺激退出,我国乘用车销量增速回落,而同时高端车降价、居民对生活要求提高,低端车受到更为严重的冲击,力帆、铁牛(众泰汽车母公司)产销量大幅下降最终进入破产程序,所有存续债券确认为违约;同样新能源支持政策退坡导致华泰汽车也出现违约;而拟出售宝马股份的华晨汽车由于其自主品牌竞争力弱也遭到市场抛售挤压。汽车制造行业下游直接面对居民客户,我国汽车保有率明显低于发达国家,仍有较大发展空间,不过行业两级分化比较明显,以合资品牌为主的六大车企竞争优势明显强于自主车品牌,尤其是消费升级、补贴退坡会共同挤压自主车品牌企业盈利空间。

5)当行业出现根本性逆转时,在其中的所有企业几乎都会受到大幅冲击,此时核心竞争优势在于能否顺利实现转型。例如近年来线上购物习惯的改变,疫情后进一步强化,零售门店的经营严重恶化,而资产偏长期、占款严重的部分公司就暴露了违约风险,例如金玛、宏图。

启示五:对企业财务质量保持合理疑虑

定量分析基于企业财务报表,根本前提是财务报表可靠,而财务报表是否可靠核心在于是否与经营逻辑相符。我们对企业信用分析基于定性和定量分析展开,定量分析一般从企业合并报表盈利、现金流和偿债指标结合分析,而这些分析最根本的前期是财务报表可靠性。尤其是民营企业财务报表普遍存在盈利效率高、现金流相对稳定、偿债指标较好的特征,但实际违约率明显超过国有企业。这一方面是民营企业再融资能力偏弱,尤其在再融资收紧时期融资支持缩减得更为厉害,另一方面很重要的原因是部分民营企业的报表存在较为明显的粉饰,近两年陆续有多家民企暴露出财务报表质量问题引发的实际偿债能力弱于报表,最终违约的案例,例如康美、康得新、富贵鸟。针对财务报表可靠性的判断标准,我们认为核心是逻辑自洽性,定量指标走势与定性经营能够匹配。近几年的违约案例暴露出以下几个问题:

财务报表的盈利现金流表现是否与大环境行业、企业经营相符合。我们曾多次强调,对企业财务报表质量的基本判断有两个原则,一是财务报表科目之间的勾稽关系,例如盈利和经营现金流通过EBITDA和营运资本的变化相勾稽,三项现金流之和与货币资金期末期初差相等。二是更为根本的,即企业的盈利现金流表现与行业、企业经营状况相符合,比如整个行业景气度下行时,企业的盈利如果仍然表现比较好,那就要关注企业是否有核心竞争优势或逆势扩张的可能,而如果存在逆势扩张的还需要考虑资金是否充裕、扩张是否有经济效益;如果既没有核心竞争优势也未逆势扩张,则存在较大盈利造假可能,而这种情况一般会对应有应收款的增长和盈利变现效率的下降。例如化工行业属于天然周期性行业,与上下游行业景气度相关联,大部分年份存在较大波动,但山东的多家地炼企业盈利效率几乎没有波动,就有可能存在财务操纵问题。而部分行业业务特征天然的导致信用分析难度上升,此时需要做的是谨慎怀疑基础上降低定量分析依赖度,例如信威、皖经建、华阳经贸共同的特征是业务涉外比例高、现金流差,识别难度相对大,本身风险又比较高,尤其是信威买方信贷模式使得在扩张销售收入的同时风险敞口会明显上升。

警惕“存贷双高”型企业,如无合理解释则反映了背后的财务操纵可能。在财务质量识别中,大部分情形下会认为“货币资金”科目有银行对账单、询证函等比较全面的审计程序而具有较高可靠性,不过本轮违约案例中,有很多“存贷双高”型企业暴露出信用风险,例如康美、康得新,这类企业多年来账面现金非常充沛,但同时又背负大量负债,账面货币资金几乎可以覆盖全部刚性债务甚至更高。从商业角度看,“存贷双高”在特殊情形下具有商业合理性,比如部分企业资金流入流出量大且都需要支付现金,则备有重组的流动资金保障日常经营是可接受的,这也是康美多年以来的主要解释。除此之外,考虑到大部分情况下企业存款利率不会超过贷款利率,则“存贷双高”不具成本效益。那么,面对“存贷双高”型企业就需要警惕报表可靠性,有可能存在以下几个问题:一是冲时点效应,由于财务报表的定期披露特征,企业有在年度末、季度末回流资金粉饰报表的客观需求,但债券的到期没有定期特征,就会存在依赖报表分析的偿债指标明显好于债券实际到期时的偿还能力;二是实际可动用资金少的问题,比如虽然报表反映的货币资金比较充沛,也没有时点效应,但大部分处于融资质押、监管账户中,那么企业实际能用来随时取用还债的资金远远没有账面上显示的那么充足,比如富贵鸟账面虽然货币资金维持高位,但实际上都在关联账户中,很快用于关联方资金支取,最终在债券到期时没有资金偿还;三是虚假财务报表,例如康美、康得新、洛娃都存在这个问题,长期以来账面货币资金甚至超过债务规模,在债券到期前一次性调整前期报表,导致投资者对过去的财务报表分析完全无用。

母子公司报表的单独考虑与综合绑定分析。我们对企业财务报表的分析一般基于其合并报表展开,但母公司对子公司的资产受偿权滞后于子公司自己的债权人,尤其是上市公司的公司治理相对规范,资金相互关联存在较多障碍,而偿还债务实际上依赖于母公司单独的偿还能力,因此我们之前多次提示投资者要关注母公司单独报表,尤其是对核心经营子公司控制力度不强时。从近几年的情况看,我们还需要提示投资者,对于子公司偿债能力判断也需要警惕集团资金归集造成子公司信用实质上与母公司及兄弟公司绑定较多、集团公司间风险传染性的问题。比如永煤作为豫能化集团内比较优质的资产集中体,不论是盈利还是偿债指标都明显好于集团公司,但是永煤对旗下子公司资金有归集和统一使用,使得永煤自身资金可动用难度上升;而且豫能化的授信也是集团统一授信,集团再分配给各子公司分别使用,使得永煤实际偿债与豫能化绑定较多,受到其风险传染也比较明显。还需要警惕集团旗下成立了财务公司的企业,一方面财务公司的成立为集团总体融资提供一定支持,财务公司可通过银行间同业拆借方式为集团内公司提供一定低成本资金,但另一方面往往财务公司使得集团资金归集成为较大可能的结果,从而对集团旗下优质的子公司形成一定伤害。

启示六:公司治理往往是核心风险

在我们对违约企业的研究中发现,大量企业存在公司治理问题。稳定的核心管理团队和规范的内控制度有助于保证公司发展战略和经营思路的稳定连贯性。否则会出现诸多问题,包括:企业经营方向变更频繁,信用分析无法从稳定经营假设前提下展开;公司的经营理念与核心管理层无法达成一致,导致管理人员出现频繁变更的问题;公司内部斗争激烈,内耗严重,削弱整体竞争力;最危险的状况是内部控制缺位,一人兼任多项核心职务,容易出现因专业能力有限或权责范围过大而无监督造成的侵蚀公司、股东、债权人利益的行为。另外,尤其在民营企业的违约案例中,关联方资金占用以及关联方风险发酵引发的再融资收缩问题屡见不鲜。那在信用风险识别时,存在公司治理问题的企业会发出如下几种“信号”,例如:

1)多次收到监管关注、问询、立案调查等:监管对企业各类问询属于常规工作,但频繁多次收到各类型的调查就可能意味着企业的公司治理或信息披露存在瑕疵。本轮违约企业中,利源、洛娃在违约前都曾多次收到过监管审查和处罚。天广中茂2017年就被福建证监局出具了行政监管措施决定书,主要由于公司收入确认不实记载,之后因大幅下修业绩深交所给予通报批评处分。

2)审计报告被出具非标准审计意见以及非正常更换审计师:审计师是各类财务报表使用者的守门员,通过各类必要的审计程序保证企业财务报表真实、完整、准确地反映了企业的经营结果。如果审计报告被出具非标准审计意见,意味着审计师未能获取有效证据,尤其是比较关键的比如盈利和货币资金有关的科目如果不够真实准确,则企业实际偿债能力可能远没有报表显示的那么强。另外,审计师的正常更换有助于保障审计师独立性,从而提高审计意见的可靠性,不过非正常更换很有可能意味着审计师发现了一些虚假记载或误导性陈述、重大遗漏而无法与客户取得一致意见公之于众,或者是审计师开展正常审计程序受到不恰当的限制,这都意味着企业财务信披存在重大瑕疵。在近两年的违约案例中,利源、刚泰、金玛、洛娃、康得新、金洲、丰盛、皖经建、东锆、天广中茂、金贵银业、贵人鸟、玉皇、力帆、天神、康美、信威、华讯、铁牛在违约前均有一年或数年存在非标审计意见的情形,其中而洛娃、丰盛、康美、宜华、房信都有多次更换会计师事务所的情形。

3)高管频繁变动和长期缺位或不恰当任职:核心管理团队的频繁变动通常意味着企业内斗激烈或者战略稳定性差,而高管长期缺位或不恰当任职可能导致经营效率下行和个人权威凌驾于内部控制之上,这种情形在民营企业中表现得更多,企业发展战略容易受个人意志影响,甚至出现大股东或核心管理层侵害其他相关方利益的可能。例如康得新、金洲、中民投、方正、东旭光电、玉皇、桑德工程在违约前都曾经出现过高管频繁变更现象。其中方正高管争斗直接导致公司再融资陷入枯竭,最终引爆违约。

启示七:房地产行业信用风险加速暴露

房地产受到政策调控比较多,近几年“防住不炒”的环境下,销售融资监管政策频频出台。房地产行业由于关系国计民生,国家政策调控较多,近年来销售、土地、金融等方面的政策调控总体偏紧。销售方面,2017年初全国限购、限贷政策收紧,之后进入因城施策调控阶段,2019年底曾有一段时间放松苗头,2020年初疫情爆发后多个地方有针对性放松限购、限贷政策,但都以撤回告终,此后房地产市场在疫情冲击后迅速反弹并且维持强势表现,中央多次重申“房住不炒”和“不以房地产作为短期经济刺激的手段”以及“稳地价、稳房价”的态度。2020年7月,房价上涨较多的深圳、杭州、南京、东莞等地收紧调控政策,目前维持因城施策的调控方式,防止房市过于火热。融资方面,2019年7月银保监会约谈信托公司表示房地产信托不得新增规模,债券方面不论境内外都遵循“借新还旧”原则。2020年5月信托管理办法征求意见稿中规定集合信托资金投向非标资产的比例不得超过50%、并且对单一大客户的投资比例不得超过信托公司净资产的30%,后又有融资类信托总体规模压降的表述,房地产信托规模将明显收缩;近期,央行、住建部发通知将进一步实施房地产金融审慎管理制度,形成重点房地产企业资金监测和融资管理规则,具体的将对房地产企业根据剔除预收账款的资产负债率、净负债率、流动性分为红、橙、黄、绿四种颜色,并参考拿地销售比给予不同新增融资上限。

总体而言,房地产近几年销售增速明显回落,融资偏紧,而前期债务陆续到期导致流动性压力有一定上升,行业信用风险边际上升。据我们对房地产行业债券发行人资产负债表的研究,2020年1季末、半年报显示房地产企业总体债务短期化严重,“货币资金/短期债务”指标自2015年以来首次破1。房地产行业信用风险边际上升,目前已有8家房地产企业出现债券实质违约,规模上从名不见经传的小企业拓展到50强房企,业态上从区域、物业形态单一的房企拓展到全国性房企。展望后市,考虑到目前销售和融资都以“定点调控”展开,我们认为其中流动性紧张、依赖非标等再融资渠道获取融资的企业将会面临较大兑付压力,但其中大量企业仍有利差挖掘价值。房地产行业由于其销售和融资的特殊性,信用分析也与普通企业大不相同,除了我们在《房地产信用宝典》中提到的现金流先于盈利、资产处置分析有效外,还有一些投资者比较关心的细节:

1)房地产企业的规模效应要在同一口径上比较,资产规模要进行打折处理。房地产企业的销售排名也有多个口径,比如全口径、操盘口径、权益口径,房企间进行比较时一定要注意采用同一口径,其中操盘口径更为关键,但全口径虽然失真较多但是由于部分金融机构采用全口径排名给予授信和融资也有其分析比较性。而由于财务报表特殊性,房地产企业要做大资产规模非常容易,最简单的只要一直增加拿地、预售而控制结转进度,房地产企业的资产规模就会成倍上升;甚至通过“小股操盘”模式撬动大量资产上升,因此在进行房地产企业信用分析时应打折处理。

2)房地产企业看不清的表外负债、明股实债等问题怎么处理?化繁为简。随着地价的上升和竞争的加剧,房地产企业普遍采用合作开发模式,会产生存货不实、各项应收/应付款增多、表外负债无法监控、“名股实债”问题等等,大大增加了房地产信用分析难度。我们认为有几个方法可以起到化繁为简的效果:其一,房企表外项目通常与表内项目资质接近,当表内资产可以较好地覆盖负债时,表外资产表现也比较接近,在对于整体资质优良的房企来说,可以不用逐个项目分析。其二,针对“名股实债”可能,我们认为有两种情形,具体对应“名股实债”藏匿位置。一般情况下,“名股实债”也产生于合作开发,只是合作方是金融机构而非其他房企,而当发行人操盘并表时,体现为“少数股东权益”;当发行人不操盘并表时,主要体现在“其他应付款”。发现“名股实债”,有一种方式就是查阅合作方资质,当合作方是LP结构、资管产品等,会有较大可能存在“名股实债”问题。对于“少数股东权益”型,还可以通过比较“少数股东权益占比”与“少数股东损益占比”是否匹配,如果少数股东损益占比长期明显低于权益占比,可能存在名股实债可能;反之会有“小股操盘”问题;接近是比较合意的情况。

启示八:信用风险暴露后,一旦融资持续收缩,变卖资产、花样展期等各种操作只能延缓风险暴露而很难起死回生

违约损失由违约概率和违约后损失率共同决定,实质上取决于企业资产对负债的覆盖能力,但一旦进入变卖资产阶段,最终结果往往以惨淡收场。针对企业信用风险的研究,实质是资产对负债的覆盖能力研究。理论上只要资产对负债的覆盖率大于1,即企业没有资不抵债,企业债务安全性就应该比较好,这也是为什么破产以“资不抵债”为确认要件之一。在出现实质债券违约前,有部分企业试图通过出售资产清偿债务缓解流动性,理论上,如果企业在处置资产后清偿到期债务,紧接着融资顺畅、经营扭转,企业的偿债能力会得到明显反转,从而度过流动性危机。但是在经济增速下行、融资总体收紧的当下,企业开始变卖资产时,往往市场会理解为企业资金压力很大从而生出更强的避险情绪,再融资并不会有明显改善,从而导致企业最终大概率违约。而且在处置资产时,还会有处置价值远低于账面价值和处置效率约束的问题,企业受损较多。例如泰禾2018年开始就面临非常严重的偿债和再融资问题,2019年通过大量项目资产包转让后得以喘息,但是2020年恰逢疫情、地产尤其是豪宅项目去化难度上升,最终还是走向了违约。

另外,如前所述,近几年发行人开始频繁采取多种程序上的操作避免实质违约暴露,但大都无法改变信用资质的恶化。近几年回售撤销、回售转售、场外兑付、债务置换、展期等案例明显增多,发行人主要试图通过这些方式避免暴露实质违约。我们认为以上这些方式对于缓解企业流动性危机确有好处,但是仅适用于单纯流动性压力大、企业自身仍有较大救助价值的情形,而无法改变信用资质恶化的根本性问题,当债券实际到期时仍然会触发违约,例如西王在SCP违约前曾有一期公司债回售以撤销回售的方式避免了实质违约。金茂有过多支债券场外支付方式未触发实质违约,最后还是进入了破产程序。另一方面,从投资者损失看,发行人信用资质恶化后,各类估值和成交价格开始下调,投资者承受较大估值损失;而且虽然避免了直接违约,但实质上仍然是违约风险加大,最后还是会承担较大违约损失,因此这些案例大部分已经属于“准违约”情形。

中国信用债市场违约案例回顾

本文还对中国债券市场2018年9月以来发生的54个实质性违约案例进行了回顾总结。

加载中...