新浪财经

华泰金工:质量Smart Beta策略在国内有效 产品发展空间理想

新浪财经

关注

【华泰金工林晓明团队】归本溯源:质量Smart Beta——华泰Smart Beta系列之五

来源:华泰金融工程

林晓明    S0570516010001    研究员

陈   烨    S0570518080004    研究员

王晨宇    S0570119110038     联系人

报告发布时间:2020年8月13日

摘要

质量Smart Beta策略在国内市场有效,产品发展空间理想

质量Smart Beta策略是基于公司财务信息、复合性较强的指数型因子策略,着眼于对公司内在价值的挖掘。对海内外指数的跟踪显示,质量Smart Beta指数均能获得明显的超额收益,策略拥有较强的有效性。在以美国为代表的海外市场,质量Smart Beta呈现出总规模较大、产品数量多、新产品发行快的特点,市场热度较高;国内质量Smart Beta市场仍处于起步阶段,产品数量和规模不足,蓝海格局明显,具有较大的发展潜力。

质量Smart Beta在海外市场高速发展,国内仍处于萌芽阶段

我们对海内外的质量Smart Beta市场状况进行追踪和对比。以美国市场为例,海外质量类Smart Beta产品的总规模较大,同时产品数量众多,相比于其他头部垄断格局明显的产品类型,质量Smart Beta产品在市场份额上更加分散化。相比之下,国内已有一系列的质量Smart Beta指数发布,但截至目前仅四只不同策略的质量Smart Beta产品,总规模较小。市场对质量类产品的关注度可能有限,但同时市场空间较大,发展环境较为理想。

海内外质量Smart Beta指数超额收益明显,国内质量策指数表现偏稳健

海内外质量Smart Beta策略在长期均能够取得明显的超额收益,主流的质量策略均有明显的有效性。从分时间段的表现上来看,美国的代表性质量指数对母指数的增强效果较为明显;国内的质量策略指数在超额收益上有一定波动,在市场震荡或下跌时优势较为明显,但在市场上行期增强效果相对一般,整体表现更偏稳健的风格。

季度指标增速、盈利稳定性指标整体有效性较强

我们基于指数策略框架,采用IC分析法与多空组合法对因子的有效性进行

测试。整体来看,质量增长因子中的季度增速指标普遍表现较好,强于年度指标增速;盈利稳定性指标整体表现不错。盈利能力指标中,ROE和ROA表现接近,在中证500 中的有效性明显强于中证全指;资产周转率指标在行业中性后表现有所提升。资本结构相关的指标中,净现金流负债率的有效性较高,但杠杆比率等其他指标Rank IC较低。盈利质量指标的收益相关性整体不明显。

MSCI质量策略在A股市场有效,因子优化进一步提升策略收益能力

质量Smart Beta策略具有多样化的特点,在海外市场尤其明显。我们重点选取海外质量指数中代表性的MSCI质量指数,根据其编制方法在因子有效性较高的中证500样本空间中进行实证,并结合因子有效性分析的结果加以改进。测试结果显示,MSCI质量指数的策略表现出较明显的有效性,对于母指数增强明显。我们进一步对其盈利稳定性指标进行优化,并引入盈利增速指标,改进后的策略兼具稳定性和收益能力,在市场上行期具有较强的捕捉收益能力。

风险提示:Smart Beta产品的发展受市场环境影响,海外发展规律不一定适用于国内;策略的历史表现依赖于回测区间和公开数据源,不一定能代表未来有效性;报告中涉及到的Smart Beta策略仅提供客观数据分析,不代表任何投资意见;对策略构建思路的研究仅供参考,请投资者谨慎、理性地看待。

报告正文

质量Smart Beta:因子指数策略中的“万花筒”

质量因子的投资理念至少可以追溯至19世纪40年代。价值投资的先驱本杰明·格雷厄姆认为,在投资决策中,公司质量是价值投资成功的关键;作为格雷厄姆衣钵的继承人,巴菲特直言ROE是自己最重视的选股指标,其对公司质量的重视可见一斑。除了投资大师们的远见,在2001年互联网泡沫破裂之后,冷静下来的投资者们也开始注重对公司运营管理和财务状况的分析,质量投资的理念进一步受到投资界的重视。在量化的框架下,质量因子也随之快速发展;作为因子策略的重要载体之一,质量Smart Beta也应运而起。

质量因子扎根于公司的财务信息,其指标数据主要源于财务报表的披露,其方法论回归对公司内在价值的分析。相比其他常规风格因子,质量因子包含了众多的子指标,是一个定义广泛的因子集合。在投资界和学界,对于质量因子的分类并无统一的定论。以较新的研究为例,Hsu,Kalesnik和Kose(2019)等人将质量因子归纳为以下几类指标:盈利能力、盈利稳定性、资本结构、质量成长、会计质量、派息与摊薄以及公司投资水平。但其中,质量成长因子常被归入和价值对应的成长类因子;而派息相关的指标往往自成一派,归为红利因子。总的来说,质量因子的分类更多地作为研究的解构框架所用,而不同的研究和应用视角可以形成不同的标准。

质量因子扎根于公司的自身属性,具有投资逻辑直观的特点;学界和投资界也证实,高质量的资产组合能够带来理想的收益。AQR资产管理公司的Asness, Frazzini以及商学院教授Pedersen(2013)等人通过盈利、成长性、安全性和派息水平等维度,构造了复合的QMJ质量因子(Quality-Minus-Junk),并通过实证验证了高质量组合长期能够获得高收益;随后在《Buffett’s Alpha》(2013)一文中,他们对巴菲特执掌的伯克希尔·哈撒韦旗下资产进行分析,发现QMJ因子在资产中有很高的因子载荷,并有效解释了较大比重的超额收益。

综上所述,质量因子是一个广受认可、长期有效且多元化的一类因子;而在海外市场,Smart Beta已然成为质量因子策略的一大载体。本文将从Smart Beta指数框架的视角,跟踪质量Smart Beta的发展状况和趋势,并着重在A股市场中的质量指数策略进行实证与优化。

A股市场的质量与基本面之辨

与“质量”相对应,“基本面”是经常被提起的一个近似概念。质量和基本面都立足于公司的财务信息,在众多投资者眼中,两者的概念高度相似或索性混为一谈。典型的,在美国的Smart Beta市场中,基本面(Fundamental)标签常常用于同时指代质量和基本面类产品。但就概念的历史起源以及国内的主流应用和分类来看,A股市场的“质量”与“基本面”Smart Beta产品仍有较明显的区别。本文着重围绕“质量”因子策略的Smart Beta,故对两者在A股市场的区别作简要的阐述。

基本面Smart Beta可以从“基本面指数(Fundamental Indexation)”谈起。2005年,锐联资产管理公司主席Robert Arnott提出基本面指数策略的概念,引入了与股价无关的“基本面价值”计算权重来代替市值加权,以更好地体现上市公司真实的实际价值,奠定了基本面加权指数的基础。直至现在,国内市场既有的基本面指数大多由锐联公司参与研发,该系列指数的均遵循这一思路。总体来看,在国内常见的Smart Beta产品中,质量因子与基本面指标主要有下述区别。

质量因子更加单位化,基本面指标包含量纲

尽管都立足于公司财务数据,质量因子往往是无量纲、单位化程度较高的指标,例如各类比率、增速和波动率,典型的质量因子包括ROE、盈利增速、资产负债率等等。这类指标淡化了绝对数值上的差异,与公司的绝对体量相关性低,在不同公司间可比性较强。而基本面指标一般带有量纲,不同公司的指标差距较大,与公司的体量息息相关,典型的基本面指标包括营业收入、现金流、净利润等等。

质量因子多用于选股,基本面指标多用于替代市值加权

由于与市值和体量的相关性较小、单位化程度高,质量因子具有良好的横向可比性;因此,质量因子在Smart Beta策略中更多起到的选股作用。相对的,“基本面指数”多用于Smart Beta的另一种暴露调整方式——非市值加权。传统的市值加权或自由流通市值加权重在刻画公司的体量,基于的是建仓可行性的考虑,但容易被市场行情波动影响;基本面Smart Beta的常用指标与体量往往呈正相关,但更倾向于反映公司在经济环境中的竞争力,而非资本市场博弈产生的估值,相比于市值指标更能反映公司内在价值。

一言以蔽之,在国内的Smart Beta市场中,质量因子更多反映公司的“质”,而基本面指标反映了除市值以外的其他“量”。作为本篇报告的核心,本文后续的研究重点将放在“质量”策略上,基本面类指标不再作细致的讨论和过多延伸。

海内外质量Smart Beta产品市场概览

质量因子拥有数量众多的细分指标,为质量类策略提供了丰富的自由度,使质量Smart在市场中占据重要的地位。另一方面,放眼Smart Beta的发展历程,Smart Beta产品在海外市场已经有了长足的发展,相比国内具有加完善的产品体系与更成熟的市场格局。在下文中,我们将对比和分析海内外的质量类Smart Beta市场发展格局,对产品的发展趋势和未来空间进行展望。

以美国市场为例:产品数量众多,新产品推出较快

作为全球领先的先行者,美国Smart Beta市场具有风向标式的参考价值。我们通过ETF.com数据库,对美国Smart Beta ETF产品按策略类型进行分类与分析。前文提到,区别于国内市场的划分标准,部分海外数据库并不严格区分质量与基本面类Smart Beta,而是统一以Fundamental作为策略标签,其中细分类别存在一定混杂。在对美国市场的整体统计上,我们暂且按照数据库的标签进行分类和分析,统称其为质量与基本面产品。

上图是基于ETF.com上截至2020年7月底的数据统计。从规模上看,质量与基本面类产品总规模约为1100亿美元,在策略类Smart Beta产品中位居第四,略低于经典成长、价值和红利产品;但在基金数量上,质量与基本面Smart Beta目前共计155只,仅次于定义宽泛的多因子产品,远超各类常规风格因子策略的产品,与其灵活多样的策略构建可能有一定关系。相比于成长、价值等头部优势巨大的领域,这种多元化的市场相对更难形成垄断格局,对于各市场参与者而言都有一定的生存空间。

新产品发行频繁,近年来增长趋势明显

为回溯质量和基本面Smart Beta产品在美国市场的发展,我们统计了自2001年来每年新基金的发行以及累积的产品发行情况。可以看到,质量和基本面产品数量在近十年来基本呈现增长趋势;其中自2016年以来的五年间,共有84只基本面类Smart Beta ETF的新产品面世,超过了累计产品数的五成。

整体而言,美国质量和基本面Smart Beta产品展现出较高的市场热度,在近年来仍旧拥有较大的市场需求;另一方面,随着市场对被动投资产品需求的扩增,多元化的质量Smart Beta可能是理想的突破点,快速的推陈出新或是此类产品的生态特征。

质量策略产品居规模首尾,市场未出现极端垄断

我们进一步分析了规模前十的质量和基本面Smart Beta ETF产品。从具体产品来看,贝莱德(Blackrock)公司的QUAL作为其中典型的质量因子策略产品,规模达到188亿美元,位居市场第一;另一方面,排名前三的产品总规模超过400亿美元,占据前十产品总规模约60%,市场存在一定的头部优势,但产品间的差距不算极端;除开前三,其余的产品在规模上差距并不悬殊,市场更多呈现出分散化的竞争格局。

以QUAL为例:质量策略长期超额收益明显,增强效果稳定

作为典型的质量因子策略,我们选取QUAL的单位净值与标普500基准指数进行对比。可以看到,质量策略构建的资产组合相比基准优势明显;相对强弱趋势显示,策略长期拥有稳定的增强效果。

国内质量Smart Beta市场:尚处起步阶段,蓝海格局明显

由于国内市场的分类更加明晰,我们甄选出国内较为明确的质量策略类基金进行整合。对于多份额产品,我们各对其规模进行整合,而基金成立日仅展示A份额产品的成立日期。

可以看到,国内的质量Smart Beta基金市场仍处于起步阶段。截至2020年7月,国内仅有4只跟踪不同标的指数的质量类基金,总规模约为3.2亿元;其中第一支产品于2018年底面世,其余产品均在2019年发行。整体而言,国内的质量Smart Beta产品完全处于萌芽阶段,被市场所认可仍需假以时日;但另一方面,市场尚未出现激烈的竞争,蓝海格局明显,对于多元化的质量类Smart Beta可能是理想的发展土壤。

国内质量Smart Beta指数长期超额收益明显,风格偏向稳健

为探究质量策略在国内市场的表现情况,我们选取2011年至今约10年的区间,对国内现有的质量Smart Beta指数进行收益统计,并与中证全指、沪深300、中证500、中证800等母指数和重要市场基准进行对比。从分年度来看,质量类策略大概率跑赢对应母指数及大盘,但不同年份的超额收益存在波动。具体来爱看,质量策略在2012-2013以及2015-2016年的市场波动期表现更优,但在上涨行情中和大盘较为接近,优势并不明显。

我们进一步统计了上述指数在区间内的表现。可以看到,在长期的区间回测中,各个质量Smart Beta指数在收益层面均明显优于母指数和市场基准,拥有较高的超额收益和风险调整收益;与此同时,对应不同的样本空间,质量策略指数在波动率上保持相当甚至更低的水准,且普遍降低了回撤水平。可以认为,质量策略的优势在长期更能体现。

质量Smart Beta基金重仓食品饮料、医药、电子行业

基于最近期拥有基金完整持仓信心的2019年年报数据,我们提取了所有质量Smart Beta基金在中信一级行业分类下的对应投资市值,并计算了各个行业的比重分布。从投资比重来看,2019年底质量类基金在食品饮料、医药、建材行业的投资分别占据前三;同时,纺织服装、计算机和石油石化行业的比重位列最后三位。值得注意的是,同属TMT类的电子行业和计算机行业在比重上差距比较明显。

质量Smart Beta基金十大重仓股市值分布:权重与市值相关性较低

通过计算基金重仓股的平均值市值,我们可以对基金选股的市值倾向性有所了解。除了重点考察的质量Smart Beta基金以外,我们同时对比了国内基本面类Smart Beta产品,以更好地反映质量Smart Beta的特点。下图显示,基本面Smart Beta前十大重仓股的平均市值整体大于质量类产品,同时基本面类产品的重仓股市值呈现一定的保序性,可以认为基本面类产品的选样方法、权重配置方法与公司市值高度相关;而另一方面,质量类重仓股排序则和市值相关性较低。

海内外基本面与质量Smart Beta指数编制方法对比

在本章节,我们进一步深入到指数的编制方法层面,综合编制商、资产跟踪规模等维度,选取部分海内外具有代表性的质量指数展示并对比细节,以分析海内外质量Smart Beta在因子选用与合成、指数细节处理、权重调整等方面的思路异同,并为国内市场的方案构建提供一定参考。

海外代表性质量Smart Beta指数编制方法

质量Smart Beta产品的设计在美国市场呈现高度多元化的格局;为保证方案的代表性与可复现性,我们选取了MSCI和S&P两家致命指数编制商的质量系列指数,并汇总其编制方案整理于下表。以上两个系列指数的编制方案覆盖全球各个主要市场,可以认为具有较强的代表性和泛用性;同时,以上指数系列均有相当规模的ETF作为跟踪资产,具有较强的实践指导意义。

从上表可以看出,MSIC和S&P的质量系列指数在因子选取上略有差异,但框架和细节上高度相似。在因子层面,两者均应用了ROE和资产负债率代表的杠杆比率;此外,MSCI指数引入了盈利增速的波动率,而S&P指数则采用代表盈利质量的应计比率指标。

两者均采用Z-score的方式进行因子合成,并用因子得分对权重进行倾斜在处理方法上,两者使用相同的分段函数对得分取正。该函数在正式数轴上呈线性,而在负轴上逼近0值;给予该处理方式,综合得分在Z得分为负的时候衰减相对缓慢,而在Z得分为正的时候呈现出线性关系,对高评分的个股给予更大的暴露。

同时,编制方法中披露了其他的处理细节。一方面,以上质量系列指数的编制框架均搭载于全球的市场指数,不同的基准之间可能存在差异;因此,以上方案对质量指数与母指数的成分股权重偏差进行限制,在权重分布上更加贴近母指数的市场特征。另一方面,根据母指数成分股数量的不同,该编制方案综合考虑累计市值与成分股总数,分段函数动态地定义质量Smart Beta指数的筛选比率,在数量和市值上均维持一定的相对覆盖率。整体来看,海外市场的质量指数编制框架呈现较完善的体系化,在部分处理细节上值得借鉴。

国内代表性质量Smart Beta指数编制方法

尽管国内质量Smart Beta产品才刚刚萌芽,但已有不少质量Smart Beta指数成型。相似的,我们选取部分国内成体系或已有产品跟踪的质量Smart Beta指数,展示并分析其编制思路。其中,质量成长系列指数已经覆盖了国内主要的市场板块,体系相对成熟。

可以看到,类似海外的编制方案,国内质量指数共享了另一套编制框架。在因子筛选上,两者均遵循ROE、盈利成长性、盈利质量和杠杆指标的四因子逻辑,但在细节构造上存在差异。最明显的差异在于盈利质量上,中证质量成长系列指数引入Sloan Ratio的绝对值形式来计算应计比率,而中证中国质量成长指数则基于Jones Model给出的残差形式并做了形式上的调整,我们会在有效性分析中具体评估。

在得分、加权以及其他细节处理上,以上两只指数同样表现出高度的相似性。两者均采用Rank排序得分替代原因子得分并进行因子合成,该方法淡化了数值差异的影响,不容易受极端情况影响,但也损失了一部分因子绝对数值带来的信息量;加权方式上,以上指数采用Rank倒数进行加权;此外,处于对特殊资本结构和行业运营模式的考虑,国内的质量指数单独区分金融行业进行处理。

海内外代表性质量Smart Beta指数框架的异同分析

我们进一步对海内外质量指数框架的主要异同点进行对比。尽管展示的指数样本较少,但作为相对成熟的系列指数框架,其编制思路仍能够反映出一些规律。重点的,我们从以下几个视角进行归纳:

1.     因子选取:在因子选取上,ROE是海内外质量Smart Beta都较为认可的指标,在上述展示的全部指数中均有应用;应计比率也有较多的应用。除此之外,上述指数都引入了杠杆作为负面指标,但在定义上有所不同:海外指数采用资产负债率(D/E)作为指标,反映的是资本结构上的特征;而国内指数采用的净现金流偿债率(OPCFD)则融入了公司的动态经营信息,更多体现了公司的偿债风险。此外,由于上述国内指数均为质量成长指数,编制方案内普遍引入盈利成长指标,可能与指数的定位本身有关。

2.     因子合成:在因子合成上,海外和国内指数分别应用两种略有不同的方式。MSCI和S&P500指数采用去极值+标准化的方式对因子进行合成,以达到综合评分的效果;在该环节中,去极值的处理方式差异可能对评分造成影响。国内的质量系列指数则采用指标Rank排序作为指评分,该方式一步到位消除了极端值的影响,且拥有正定的理想性质,但同时也损失了因子绝对数值上的信息量。

3.     行业处理:在上述编制方法中,两只海外的指数并未在筛选方法上对具体行业进行额外处理;但在系列指数的大框架下,MSCI和S&P系列指数均拥有独立的行业中性指数,通过对因子得分在行业内进行标准化,去除行业因子的影响;在这种处理方式下,行业中性指数处于与其他常规指数对等的位置。而在国内质量指数中,由于Rank得分的引入,其因子的数值结构被破坏,不太适应常规的行业中性处理;取而代之,指数对金融行业单独进行处理。该方式在海外指数中同样存在,但不具有普遍性。

4.     加权方式:在加权方式上,海内外指数均引入了质量综合评分,但应用方式依因子得分的不同而有所差异。海外指数首先用分段函数将综合评分映射到正实数上,随后通过评分与市值的乘积作为加权因子;该方式同时融合了质量因子和市值的信息,一定程度上保留了市场特征,同时又提升了因子暴露。而国内指数直接采用Rank得分合成后的综合得分进行倒数加权,该方式大幅剔除了市值的影响,在重仓股分析中可见一斑;但另一方面,由于缺失了因子绝对数值信息,该加权方式在呈现成分股差异上较为局限,其权重的分布主要受到最终成分股数量的影响。

质量因子有效性分析

财务信息是投资策略分析核心的信息来源之一,其一大特点在于指标数量众多、信息繁杂,如何提取和应用其中的有效信息是构建质量策略的重点问题。下文中,我们将质量相关的因子大致分为盈利质量、质量成长、资本结构与偿债能力、盈利稳定性、盈余质量等几大类,对其中的常用因子进行有效性评估。

从测试结果来看,盈利质量指标中ROE和ROA表现接近,行业中性后的资产周转率表现较好;单季度指标的同比成长指标表现较好,但年度数据的有效性明显下降;资本结构、偿债能力和盈利稳定性指标的表现分化明显,不同定义方式与选样空间下,指标的表现差异较大;盈余质量因子在指数框架下没有体现出明显的收益相关性,但该方面的研究也提供了较多其他形式的指标,盈余质量的信息有待进一步挖掘。对于不同的样本空间,各类质量指标在全A股中有效性一般,但中证500板块中的有效性相对较强,沪深300指数整体介于两者之间。

指数框架下的因子有效性评价

在传统的多因子研究框架中,因子有效性的常用评估包括方法包括因子回归法、IC值分析法以及分层测试法。其中IC值分析法通过计算回测区间内因子得分与未来收益的截面秩相关性,从而衡量因子的选股能力;而分层分析和多空组合则进一步构造资产组合,根据历史表现评估因子对组合层面收益的影响。

值得注意的是,相比于传统的因子选股策略,指数框架有着更严格的构建机制,因而不可避免的导致因子出现滞后。以国内市场为例,国内指数主要由中证指数有限公司和深圳证券信息有限公司两家机构发布,其中大部分指数按照半年频进行调仓,成分调整日一般定在6月和12月中旬,而相应调仓日有对应的数据观察截面。为保证股票池内的信息充分披露, 6月份和12月份调仓的观察日期一般设定在最近的4月末和10月末,保证最新一期财务报表的披露;而调仓日相比观测截面之间存在一到两个月的滞后期。

因此,指数框架下的因子截面与对应的收益窗口存在一定间隔,和常规的因子收益存在差异。为贴近实践,我们依照现有指数的数据观察截面计算因子,按调仓期计算收益,对因子的有效性进行评估。

质量因子的行业中性及特殊处理

行业因素是因子选股策略的重要因素。质量因子与公司的本身属性紧密联系,不同行业的运营模式差别可能导致指标存在天然的数值差异,导致因子的横向选股能力降低,而行业中性化等方法能够有效去除行业间的可比性问题,将不同行业置于同一起跑线。但另一方面,中性化处理同样去除了不同行业在时间轴上的差异;对于周期性明显的行业,信息损失可能较大。在下文中,我们将对因子指标的行业因素选择性地加以处理。

在Smart Beta指数的构建中,较常见的方法为行业分层,即在各个行业内分别进行横向筛选,并保证各个行业的相对股票数比例一致;该方法去除了行业间因素的影响,但人为限定了各行业的贡献比例。这里我们采用类似因子选股中中性化的方法,通过行业内去极值+标准化处理指标值;该方法在MSCI系列指数的市场中型指数中有所应用,效果等价于行业哑变量回归和因子标准化的结合,能够在消除行业间差异之后直接进行因子合成,在多因子选股框架中较为便利。

盈利能力指标

盈利能力主要衡量企业利用资源实现收入的效率,直观反映了公司“赚钱”的能力,是最为直观和常用的质量类因子。高盈利会直接带来公司净值扩张,推动公司未来的盈利提升,使公司获得更高的估值;同时,盈利水平和分红现金流直接挂钩,高盈利能够带来更高的预期分红收益。

盈利能力指标中,ROE和ROA以其综合性和泛用性著称,在因子策略中应用广泛;其中ROE更强调净资产的应用效率,而ROA则纳入了杠杆因素的考量。此外,基于杜邦拆解法,ROE可以进一步拆分成基于净利率、资产周转率等指标的表达式,以反映公司在不同运营环节上对盈利的贡献。我们将重点对上述盈利能力指标进行测试。

通过IC值分析法与多空组合法,我们首先对ROE和ROA基于不同样本空间上的有效性进行检验。尽管指标均没有附带量纲,但由于行业自身的特点,各行业在数值上可能存在差异,因此我们同时对比行业内标准化操作的影响。

整体来看,两个指标整体均有正向的因子收益,表现指标在滞后的指数框架下仍能够体现有效性。指标间没有普遍性的优劣区分,ROE在沪深300中表现更强,但在中证500和中证全指中略逊ROA。样本空间上看,两个指标在沪深300和中证500中有效性更强,而在中证全指代表的全市场中较弱;尤其在中证500内,指标的IC和多空组合表现优势明显,多空组合的回撤显著小于其他股票池中的水平。

从处理方式上看,行业标准化对Rank IC绝对水平提升不明显,但对其标准差普遍降低,行业标准化可能提升指标的稳定性;从IC_IR上看,行业标准化对指各标的整体表现有所提升,其中对ROA指标的效果更加明显。多空组合的测试指标显示,行业标准化后,组合的波动率、回撤水平控制更优,其中沪深300样本空间内的效果最佳;但另一方面,保留行业因素的暴露则可能获取更高的收益。

我们进一步对杜邦分解式中涉及的净利率和资产周转率指标进行同样的测试。值得一提的是,毛利率指标和净利率一样反映经营效率,在部分行业中较受重视;但对于银行、非银等金融行业,该指标缺乏稳健的定义,这里我们不作细致测试。

和ROE、ROA指标较为相似,净利率和资产周转率均拥有正向的Rank IC,且在中证500成分股中有效性最佳。从细分指标上看,净利率在中证500中的表现出色,多空组合拥有出色的风险和收益水平。

行业标准化仍旧能够提升上述因子的稳定性,但综合表现存在差异。就净利润指标而言,行业中性并没有带来优势,未经处理的指标在信息比率和多空组合上都拥有更好的水平;但对于资产周转率指标而言,该指标在行业间差异较大,行业标准化后对指标的IC表现和稳定性均提升明显。

质量成长指标

质量成长指标着眼于公司财务指标在时间维度上的变化,刻画公司的成长趋势,这类策略也常被归类与成长策略。但从市场实践来看,成长和价值策略更多地成对出现,通过综合评分对个股定位成长和价值属性;而在单独使用时,成长指标更多地刻画了财务质量的特征。这里我们按照质量因子的定位进行分析。

质量成长因子的一大优势在于良好的单位化属性,避免了横向的量纲差异,方便进行成分筛选;另一方面,质量成长因子相比常规的截面因子更加动态,同时结合了纵向和横向的比较,对于周期性较强的行业尤其能够较好地定位。对于成长因子,其截面行业差异更倾向于受时间因素影响,而非行业固有差异。

常规的质量成长指标包括净利润、营业收入、现金流等基本面指标的增速。对于季度性基本面指标,我们同时测试单季度(QFA)和滚动四季度合计(TTM)的同比增速效果。测试结果如下:

可以看出,上述质量成长指标长期均呈现正向的收益相关性。从样本空间来看,以沪深300和中证500内的因子的有效性明显高于中证全指;从指标上看,净利润和营业收入的增速指标相对优于经营性净现金流的增速,其中净利润QFA增速在中证500内表现出色;此外,无论在绝对数值还是稳定性上,QFA增速指标在长期均比TTM增速更加优秀,推测市场对于单季度同比的信息更加敏感,而全年数据的有效性则可能被滞后信息稀释。

资本结构和偿债能力指标

资本结构以及偿债能力指标被用于评估公司的杠杆水平与流动性风险。债务和杠杆常被认为是一柄双刃剑;直观上看,杠杆效应放大了公司的可利用资本,从而提升公司的盈利能力;但另一方面,高负债存在更高的潜在违约风险。我们将具体测试资本结构相关指标和未来收益的相关性以及线性选股能力。

单纯的资本结构指标包括资产负债率、杠杆比率、产权比率等等,以上指标高度线性相关,因此我们仅取资产负债率作为展示;同时,我们选取流动比率、速动比率、经营性现金流负债比等常用的偿债能力指标加入测试。

从上表来看,大部分偿债能力指标与收益正相关,但在不同股票池间表现差异较大。作为典型的资本结构指标,资产负债率在中证全指和中证500中Rank IC均值超过3%,但在沪深300几乎没有线性的选股能力;流动比率和速动比率表现接近,但整体并不出彩;经营性净现金流与债务的比率相比最为出色,无论Rank IC还是多空组合均表现最优。从样本空间上看,中证500仍旧是最能发挥因子作用的市场。

与此同时,考虑到不同行业间资本结构可能存在天然差异,我们同时测试了行业标准化后的指标表现并统计如下:

从分析结果来看,行业标准化并未给资本结构和偿债因子带来提升;相反,资产负债率、流动比率和速动比率在行业中性化后失去显著的正向Rank IC。据此,我们推测资本结构等指标在各市场的线性选股能力比较微弱。但一方面,尽管IC均值较低,资产负债率在中证500内的多空组合表现不俗,头尾部分离度可能较高。同时,经营性净现金流负债比受到影响较小,仍旧体现出较好的收益相关性。

盈利稳定性指标

盈利稳定性指标是基于盈利水平的衍生指标。该指标通过刻画盈利的波动程度来表征企业利润的长期稳健性,其基本逻辑在于,利润稳定、波动性低的企业拥有更好的稳健性,更能受到市场的认可并获得溢价。该指标在国内外Smart Beta策略中均有所应用,但定义方式有较多的细节差异。

以iShares Edge MSCI U.S.A. Quality Factor ETF(QUAL)为例,其跟踪的MSCI质量指数采用近五年EPS同比的标准差作为盈利稳定性的指标。同比增速作为基础变量具有较好的标准化性质,横向可比度较高是;但另一方面,年度数据的样本量较少,可能影响指标的稳定性;EPS指标也会受到拆股和送转等事件的影响而发生突变,在送转较为普遍的国内市场可能有较大的影响。国内部分指数采用单季度利润的标准差作为分子,除以最新财报的净资产来计算指标;该方案在基于季度的数据增加了样本数量,但对于部分行业,其利润可能存在明显的季节性波动,单季度数据在稳健性上可能不及年度数据;而标准差与净资产的比值同样可能在行业间差异明显,也容易对选股效果造成影响。

整体来看,MSCI质量指数的构建思路较为稳健,但EPS作为基础变量在A股市场的适应性不佳;我们尝试以单纯的归母净利润同比作为基础变量进行改进。同时,为增强数据的稳健性,我们对于观察期在三年、五年的指标,对于各标的要求有效数据不少于两年和三年;测试的结果如下:

从统计结果来看,以上盈利稳定性指标在各个市场均超过3%,可以认为有一定的收益正相关性,且Rank IC在各个市场的表现差异相对较小;但从多空组合上看,中证全指内指标多空组合的表现明显优于沪深300、中证500等规模指数,而沪深300内多空组合的表现很不稳定,头尾部区分性可能较差。对于细分指标,经过调整的净利润同比标准差指标在表现上相对最优。

盈余质量指标

财务报表的盈余项目中,净现金流是较理想的盈利形式,而基于应计准则得到的剩余利润则存在一定的主观性和可操纵性,这部分利润也被称作应计利润(Accruals),会影响盈余信息对公司真实价值的表征。Accruals的净值表示企业中未以现金方式实现的收入成分,如可能会产生违约风险的赊购赊销、存在操控利润空间的折旧摊销等;该部分占比越高,则公司账面上可被操纵的利润成分可能越多,盈利信息的质量越差。

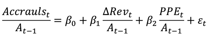
学界对盈余质量拥有较为长久的研究历史。Jones(1991)认为应计利润可以划分为可操纵应计利润(可被利润增速与固定资产解释)与不可操作应计利润,而后者才是影响盈余质量的主要因素;基于该思想,Jones用线性回归式对总应计利润进行拆解,提出了如下形式的标准琼斯模型:

其中A_{t-1}代表期初的净资产,\Delta Rev_{t}代表当期与上期利润之差,而PPE_{t}为当期固定资产。在该表达式下,Jones认为残差项对真正的可操纵利润有较好的解释能力,该指标也因此常被记为RAccrual。与此同时,Jones认为个股应采用尽可能长期的时序回归,能够得到更好的结果。

Jones模型在思路上较为精细,适合对个股进行精细化评估。但在实际选股和指数策略的应用中,该方法计算复杂度较高,往往需要对大量个股进行时间序列上的回归;同时,不同股票的上市时长不一致,可能对指标的稳健性造成影响。Sloan(1996)通过实证发现,单纯的应计利润比率指标就能提供理想的选股效果,基于应计比率因子的多空组合能够获得稳定的绝对收益。作为替代指标,Sloan给出了较为简洁的应计比率(Accrual Ratio,也被称为Sloan Ratio)表达式:

应急比例  = (净利润-经营活动现金净流量-投资活动现金净流量)/总资产

该指标在定义简洁且计算方便,在国内外均有较广泛的应用。如果将视线转向A股市场,国内会计科目中包含较多营业外收入的条目,其中的不少信息并不契合应计利润的概念;因此,国内市场既有的Smart Beta策略通常对应计利润进一步简化,Sloan Ratio的公式也更多的表达为如下形式:

应急比率 = (营业利润-经营活动现金净流量)/总资产

Sloan Ratio作为可实践性较强的盈余质量指标,在国内外的市场中应用广泛。同时,一些观点认为总应计利润接近0最为合理,过高过低都是风险出现的信号,因此出现了|Accrual|作为替代指标;也有观点认为多年均值稳定性更强,典型地采用三年Sloan Ratio计算均值,通常记为MAccrual。基于实践性的考虑,本文重点基于以上指标进行分析。

从上述结果来看,由Sloan Ratio定义的各个盈余质量指标在指数框架的回测下整体表现一般;其中在沪深300和中证全指中均没有显著的线性选股能力,在中证500内仍有一定的收益正相关性。从定义细节上对比,绝对值处理后的指标稳定优于非绝对值的指标,证明该比例在头尾部均有风险,分段考虑相对更理想;均值指标在中证全指和沪深300中没有起到提升作用,但在中证500中,绝对值均值指标表现更好。

整体来看,基于Sloan Ratio的盈余质量因子在A股Smart Beta指数的框架下泛用性较低,其蕴含的风险信息可能难以通过线性筛选的方式提取;而Jones Model(RAccrual)的定义和计算较为繁复,不定区间的长时序回归对批量选股的适用性不佳。在A股Smart Beta中,该因子或有待进一步挖掘和优化。

以MSCI质量指数为例:海外策略在A股市场略实证与优化

从前文可知,“质量因子”并不是一个简单的因子分支,而是囊括了众多与公司财务信息相关指标的“锦囊”,对于质量因子的应用思路相当宽广。为更有效地提供具有参考价值的思路,我们首先聚焦于海外市场的成熟方案,对一些区别于国内的编制思路进行引进和实证,再进一步结合指标分析结果,对方案进行本土化的调整。

基于前文的统计,质量类Smart Beta基金在美国市场拥有长期的发展历程与可观的体量,产品设计理念和市场偏好经历了岁月的充分洗礼,一定程度上为A股市场提供了先导的经验。在美国市场中, Blackrock旗下的产品QUAL作为典型的质量因子策略产品,在同类型产品中以明显的规模优势稳坐头把交椅,其跟踪指数为MSCI美国质量指数,是MSCI质量指数系列之一。在下文的实证部分,我们将以MSCI质量指数的编制方法作为起点展开实证。

MSCI质量指数编制方法的细节

根据前文归纳的编制方法,MSCI质量指数采用了比较标准的Bottom-up因子合成法,将三个细分因子合成综合指标进行选股。但在具体的因子选用和定义上,指数与国内现有方案有一定差别;此外,方案在指数的细节处理上也部分独到之处。我们对其有别于国内市场、值得关注的细节和特色进行归纳,并展示如下:

1.     因子选取与定义。方案在细分指标上选取了盈利质量(ROE)、盈利稳定性(盈利同比标准差/EPS)以及杠杆因子(D/E)并进行合成。对照国内市场,盈利稳定性指标在国内也有所应用,但盈利稳定性的定义和国内差别较大;另一方面,机遇资产负债率的杠杆因子在国内市场的应用较少,但在美股市场应用较多。

2.     缺失值分类处理。在MSCI质量指数中,三个细分指标采用常规的标准化+等权重组合得到z-score;但对于存在缺失值的情况,指数方案对不同情况分类探讨和处理,在降低标的损失的同时,尽可能保证评分的横向可比性和稳健性。可以看到,有效性较高的ROE指标是z-score计算的必备条件。具体处理细则如下:

3.    结合因子得分的权重倾斜(Weight Tilt)。MSCI质量系列指数的权重得分计算方式为:

即在市值加权的基础上进一步增加质量因子的暴露。与此同时,为保证因子得分的正定性和平缓性,指数对原z-score进一步映射到正实数域:

该方法既保证权重得分为正,同时兼具因子和市值的双重信息,在提升因子暴露度的同时,继承了一部分市场的特征;该思路具有一定的参考价值。

MSCI质量指数在中证500样本空间的复现

基于前文的分析,各类质量因子在中证500中整体拥有相对更优的表现;我们以中证500成分股票池作为样本空间,首先复现MSCI质量指数的编制思路。为贴合国内的实际应用情况,我们采用中证系列指数的指标观测截面,调仓期简化为6月和12月的最后交易日。

加权方式上,市值加权的部分替换为自由流通市值加权,以提升建仓的可操作性。基于以上细则,我们尝试复现以下基于A股市场的MSCI质量指数方案:

基于上述标准,我们在A股市场复现该指数方案的历史点位,并采用归一化的方式计算历史单位净值,并选取母指数中证500的全收益指数作为基准进行对比。

上图显示,MSCI质量指数的方案在区间内稳定跑赢中证500策略,长期优势明显;且右侧的相对强弱曲线呈现明显的正斜率,可以认为策略对母指数的增强效果具有长期的稳定性。整体来看,MSCI质量指数的思路在A股市场具有较明显的有效性。值得一提的是,国内现有的质量指数在市场波动和下行期优势明显,但在上涨行情中增强效果一般;但MSCI质量指数拥有不错的收益弹性,尤其在2019年以来的上涨行情中表现出色。

基于盈利稳定性与质量成长因子的改进:稳定战胜市场,进一步提升收益能力

实证显示,MSCI质量指数的方案在中证500板块中取得较理想的效果,策略在A股市场具有一定的有效性。但参考因子有效性分析的结论,盈利稳定性因子应用的EPS指标对A股市场适应性有限,而单纯的净利润增速标准差整体表现更好;同时,以季度净利润同比定义的质量成长因子具有较高的有效性,同时相比当前采用的因子,质量成长因子提供了额外的趋势性信息。从上述几点来看,方案或存在改进的空间。

基于以上考虑,我们维持MSCI质量指数的整体框架设计,保留缺失值处理、权重倾斜等细节;而在因子计算上,我们对原方案作以下修改:

1.     盈利稳定性指标:由年度EPS增速的波动率改为年度净利润增速的波动率,去除拆股、送股等因素对EPS造成的影响;

2.     加入净利润同比指标作为额外的趋势性因子。该因子在缺失值处理上与ROE地位等同,若数据缺失则直接剔除标的。

基于以上更改 ,我们对优化后方案的方案进行回测,其结果如下:

从对比结果来看,改进后的策略在收益水平和稳定性上均有所提升,其中盈利能力的提升明显;对比基准指数,策略也拥有非常理想的胜率。从分年度统计上看,改进后的质量指数在2014年和今年以来策略的超额收益令人瞩目,相比原策略明显增强,在市场上行期的收益能力大幅提升。

综上所述,MSCI质量系列指数是在全球市场均具有泛用性的综合策略;在因子定义上,指数采用了国内较为少见的杠杆因子作为负面因素,同时在缺失值处理、权重倾斜等方面有较为细致的思路,在目前国内指数地毯式布局的大趋势下,基于细节进行优化是可以借鉴的思路。在中证500样本空间上的复现证明了该策略具有较强的有效性,能够长期跑赢市场基准;而针对性地优化其盈利稳定性指标,并加入代表趋势性信息的质量成长因子,可以进一步提升策略的收益能力和长期表现。该策略相比国内的质量策略,弥补了其在收益能力和进取性上存在的短板。

总结

质量因子扎根于公司的财务信息,是一类包含众多指标的因子集合;由于指标具有相对自由的定义方式和较高的多样性,投资界和学界对质量因子的分类并无统一定论。整体来看,质量因子的分类更多作为研究的解构框架所用,而不同的研究和应用视角可以形成不同的标准。基于多样化的指标种类,质量因子策略具有高度的复合性和拥有可观的创新空间。学界的理论和投资界的实践均证实,高质量的资产组合能够带来理想的收益。

基本面策略是一个和质量策略相似的概念。在美股市场,两者常被归在一个大类下;但在国内市场,质量Smart Beta和基本面Smart Beta存在一定的区别。基本面策略应用带有量纲的指标,一般与公司体量相关性强,更多被用作替代市值的加权因子,而质量策略采用的指标多为无量纲、单位化,具有良好的横向可比性,多用于直接进行选股。

我们对海内外的质量Smart Beta市场状况进行追踪和对比。以美国市场为例,海外质量类Smart Beta产品的总规模较大,同时产品数量众多;相比于其他头部垄断格局明显的产品类型,质量Smart Beta产品在市场份额上更加分散化。相比海外质量Smart Beta市场的百花齐放,国内市场仍处于萌芽阶段;尽管已有一系列质量Smart Beta指数发布,但截至目前仅四只不同策略的质量Smart Beta产品,且总规模较小。市场对质量类产品的关注度可能仍旧有限,但同时市场空间也较为理想。

从历史表现上看,海内外质量Smart Beta策略在长期均能够取得明显的超额收益,主流的质量策略均有明显的有效性。从分时间段的表现上来看,美国代表性的MSCI质量指数对母指数的增强效果较为明显,能够较稳定地获得超额收益;国内的质量策略指数在超额收益上有一定波动,在市场震荡或下跌时优势较为明显,但在市场上行期增强效果一般,整体表现更偏稳健的风格。

为更贴合Smart Beta的实际应用,我们基于指数策略的框架,采用IC分析法与多空组合法对因子的有效性进行测试。整体来看,质量增长因子中的季度增速指标普遍表现较好,强于年度指标增速;盈利稳定性指标整体表现不错。盈利能力指标中,ROE和ROA表现接近,在中证500 中的有效性较高,但在中证全指内表现一般;资产周转率指标在行业中性后表现有所提高。资本结构相关的指标中,净现金流负债率的有效性较高,但杠杆比率、流动比率、速动比率等其他指标的Rank IC较低。基于Sloan Ratio的盈利质量指标的收益相关性整体不明显,但盈利质量的衍生指标较多,可能存在其他更理想的定义方式。

质量Smart Beta策略具有多样化的特点,在海外市场尤其明显。我们重点选取海外质量指数中代表性的MSCI质量指数,根据其编制方法在因子有效性较高的中证500样本空间中进行实证,并结合因子有效性分析的结果加以改进。测试结果显示,MSCI质量指数的策略表现出较明显的有效性,对于母指数的增强效果明显。我们进一步对其盈利稳定性指标进行优化,并引入盈利增速指标,改进后的策略兼具稳定性和收益能力,在市场上行期具有较强的捕捉收益能力;相比于国内市场现有策略,该方案在收益性能上有所补足。

风险提示

Smart Beta产品的发展受市场环境影响,海外发展规律不一定适用于国内;策略的历史表现依赖于回测区间和公开数据源,不一定能代表未来有效性;报告中涉及到的Smart Beta策略仅提供客观数据分析,不代表任何投资意见;对策略构建思路的研究仅供参考,请投资者谨慎、理性地看待。

免责声明与评级说明

公众平台免责申明

本公众号不是华泰证券股份有限公司(以下简称“华泰证券”)研究报告的发布平台,本公众号仅供华泰证券中国内地研究咨询服务客户参考使用。其他任何读者在订阅本公众号前,请自行评估接收相关推送内容的适当性,且若使用本公众号所载内容,务必寻求专业投资顾问的指导及解读。华泰证券不因任何订阅本公众号的行为而将订阅者视为华泰证券的客户。

本公众号转发、摘编华泰证券向其客户已发布研究报告的部分内容及观点,完整的投资意见分析应以报告发布当日的完整研究报告内容为准。订阅者仅使用本公众号内容,可能会因缺乏对完整报告的了解或缺乏相关的解读而产生理解上的歧义。如需了解完整内容,请具体参见华泰证券所发布的完整报告。

本公众号内容基于华泰证券认为可靠的信息编制,但华泰证券对该等信息的准确性、完整性及时效性不作任何保证,也不对证券价格的涨跌或市场走势作确定性判断。本公众号所载的意见、评估及预测仅反映发布当日的观点和判断。在不同时期,华泰证券可能会发出与本公众号所载意见、评估及预测不一致的研究报告。

在任何情况下,本公众号中的信息或所表述的意见均不构成对任何人的投资建议。订阅者不应单独依靠本订阅号中的内容而取代自身独立的判断,应自主做出投资决策并自行承担投资风险。订阅者若使用本资料,有可能会因缺乏解读服务而对内容产生理解上的歧义,进而造成投资损失。对依据或者使用本公众号内容所造成的一切后果,华泰证券及作者均不承担任何法律责任。

本公众号版权仅为华泰证券所有,未经华泰证券书面许可,任何机构或个人不得以翻版、复制、发表、引用或再次分发他人等任何形式侵犯本公众号发布的所有内容的版权。如因侵权行为给华泰证券造成任何直接或间接的损失,华泰证券保留追究一切法律责任的权利。华泰证券具有中国证监会核准的“证券投资咨询”业务资格,经营许可证编号为:91320000704041011J。

华泰金工深度报告一览

金融周期系列研究(资产配置)

【华泰金工林晓明团队】2020年中国市场量化资产配置年度观点——周期归来、机会重生,顾短也兼长20200121

【华泰金工林晓明团队】量化资产配置2020年度观点——小周期争明日,大周期赢未来20200116

【华泰金工林晓明团队】风险预算模型如何度量风险更有效-改进风险度量方式稳定提升风险模型表现的方法

【华泰金工林晓明团队】周期双底存不确定性宜防守待趋势——短周期底部拐头机会渐增,待趋势明朗把握或更大20191022

【华泰金工林晓明团队】二十年一轮回的黄金投资大周期——黄金的三周期定价逻辑与组合配置、投资机会分析20190826

【华泰金工林晓明团队】如何有效判断真正的周期拐点?——定量测度实际周期长度提升市场拐点判准概率

【华泰金工林晓明团队】基钦周期的长度会缩短吗?——20190506

华泰金工林晓明团队】二十载昔日重现,三四年周期轮回——2019年中国与全球市场量化资产配置年度观点(下

【华泰金工林晓明团队】二十载昔日重现,三四年周期轮回——2019年中国与全球市场量化资产配置年度观点(上)

【华泰金工林晓明团队】周期轮动下的BL资产配置策略

【华泰金工林晓明团队】周期理论与机器学习资产收益预测——华泰金工市场周期与资产配置研究

【华泰金工林晓明团队】市场拐点的判断方法

【华泰金工林晓明团队】2018中国与全球市场的机会、风险 · 年度策略报告(上)

【华泰金工林晓明团队】基钦周期的量化测度与历史规律 · 华泰金工周期系列研究

【华泰金工林晓明团队】周期三因子定价与资产配置模型(四)——华泰金工周期系列研究

【华泰金工林晓明团队】周期三因子定价与资产配置模型(三)——华泰金工周期系列研究

【华泰金工林晓明团队】周期三因子定价与资产配置模型(二)——华泰金工周期系列研究

【华泰金工林晓明团队】周期三因子定价与资产配置模型(一)——华泰金工周期系列研究

【华泰金工林晓明团队】华泰金工周期研究系列 · 基于DDM模型的板块轮动探索

【华泰金工林晓明团队】市场周期的量化分解

【华泰金工林晓明团队】周期研究对大类资产的预测观点

【华泰金工林晓明团队】金融经济系统周期的确定(下)——华泰金工周期系列研究

【华泰金工林晓明团队】金融经济系统周期的确定(上)——华泰金工周期系列研究

【华泰金工林晓明团队】全球多市场择时配置初探——华泰周期择时研究系列

行业指数频谱分析及配置模型:市场的周期分析系列之三

【华泰金工林晓明团队】市场的频率——市场轮回,周期重生

【华泰金工林晓明团队】市场的轮回——金融市场周期与经济周期关系初探

周期起源

【华泰金工林晓明团队】企业间力的产生、传播和作用效果——华泰周期起源系列研究之八

【华泰金工林晓明团队】耦合振子同步的藏本模型——华泰周期起源系列研究之七

【华泰金工林晓明团队】周期在供应链管理模型的实证——华泰周期起源系列研究之六

【华泰金工林晓明团队】不确定性与缓冲机制——华泰周期起源系列研究报告之五

华泰金工林晓明团队】周期是矛盾双方稳定共存的结果——华泰周期起源系列研究之四

【华泰金工林晓明团队】周期是不确定性条件下的稳态——华泰周期起源系列研究之三

【华泰金工林晓明团队】周期趋同现象的动力学系统模型——华泰周期起源系列研究之二

【华泰金工林晓明团队】从微观同步到宏观周期——华泰周期起源系列研究报告之一

责任编辑:石秀珍 SF183

加载中...