新浪财经

中金:从AUM到ROE,引入中金零售银行分析框架

中金点睛

关注

来源:中金点睛

我们引入中金零售银行分析框架,尝试以零售AUM或“AUM/资产规模”指标量化跟踪银行零售转型进度。考虑AUM结构特征,私行财富业务竞争力是核心影响因素,同时私行财富业务竞争力主要由客群渠道基础、产品服务能力、客户经理团队、资产配置能力等因素综合决定,相关内容会在后续主题报告进行讨论。

引入中金零售银行分析框架

我们引入中金零售银行分析框架,以零售AUM或“AUM/资产规模”量化跟踪一家银行零售转型的进度。以“AUM/资产规模”衡量,招行在2015-2017年年均提高8.2ppts,平安银行在2017-2019年年均提高7.8ppts,以上阶段对应公司零售业务快速发展阶段,也同样在业绩和估值层面得到认可。考虑AUM结构特征,我们认为,私行财富业务将决定一家零售银行的高度。

如何评估银行核心竞争力?负债>资产,表外>表内。相比资产端,负债能力更能衡量一家银行机构的竞争力,有助于银行获取较行业均值更高的净息差和更低的信用成本支出。以上市银行2015-19年数据为例,负债成本排序TOP5的银行基本对ROAA排序TOP5的银行机构。另外,调整后中收占比与ROAA也呈现显著的正相关关系。我们认为,负债能力和调整后表外能力更能衡量一家银行的竞争力,最终帮助银行机构形成更强的盈利能力。

从客户获取到价值兑现,AUM是最终的经营结果。1)账户规模效应和区域因素之外,交叉经营服务可以为银行沉淀大量低成本负债。2019年上市银行售活期存款占AUM比例均值在14%~;2)负债成本优势有助于银行在获取给定净息差的前提下投放更为稳健的资产,进而降低中长期信用成本,数据显示,负债成本排序前20%的银行过去五年平均信用成本为1.22%,显著低于后20%的银行的1.85%。3)AUM包括存款、理财、基金、信托、保险、贵金属等产品服务,有助于提高资产管理、财富管理等手续费收入,真正的实现轻资本运营。

财富管理业务决定零售银行发展高度1)私行财富类客户数量占比2%~,但贡献了超过80%的AUM,且私行财富类客户AUM增速持续维持高位;2)中金公司预计中国居民家庭资产配置可能正在进入新的拐点,目前金融资产配置可能加速,AM/WM业务决定包括零售银行在内的金融机构市场地位。3)存量激活与场景导流共同决定了零售基础客群规模,不完全有效的市场背景下头部产品获取有助于客户留存,并逐渐形成正向循环。

图表: 私行财富业务全路径提高公司盈利能力

资料来源:中金公司研究部

银行核心竞争力的生产函数,负债>资产,表外>表内

负债>资产

我们认为,负债能力更能体现一家商业银行竞争力,是一家银行基业长青的护城河。银行业务本质是经营信用/流动性风险,并在此基础上拓展一系列的中间业务。截止2019年末,商业银行利息净收入占比78.1%,是主要收入来源。从资产负债表出发,银行经营思路大约有两条:高风险高收益的资产业务和低成本的负债战略。负债优势可以帮助银行在不同风险等级资产的配置选择有更大灵活性,在给定净息差前提下可以投放更安全的资产,经济下行周期计提更少的信用成本,最终实现稳定且较高的盈利能力。以2015-19年上市银行杜邦分析数据也印证了我们的判断:1)以利息支出/平均总资产衡量的负债成本排序,四大行、邮储银行和招行处于领先地位,邮储外的五家银行盈利能力(以ROAA衡量)也同样领先可比同业。

相比企业存款,零售存款在市场份额和价格层面更具稳定性,更能够衡量一家银行机构的负债能力。在过去的几年时间,我们观察到一个现象愈发突出:1)定期存款与同业负债的替代效应愈发明显,活期存款成为影响负债成本的核心因素;2)相较企业存款,个人存款市场更为稳定,尤其是零售活期存款在价格和市场份额方面表现出更小的波动率;3)账户规模、区域银行以及综合金融产品能力是影响存款获取的主要因素。对网点布局主要城市的股份行和城商行而言,综合金融产品能力是未来提高负债能力的最大可能性

图表: 上市银行2015-2019年杜邦分析均值,负债成本优势TOP5的银行基本对应ROAA TOP5的银行

资料来源:wind,公司公告,中金公司研究部

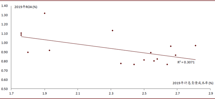
图表: 上市银行2019年计息负债成本VS ROA,负债能力是核心竞争力

资料来源:wind,公司公告,中金公司研究部

资产端业务市场份额变动较大,且零售类资产高占比并不必然带来高盈利。以上市银行个人贷款为例,2019年与2015年相比市场份额变化较大,工行、建行、中行、农行等大行市场份额分别下降1.6ppt、1.2ppt、1.1ppt和0.3ppt,而中信、光大、平安、华夏等股份行的市场份额则都有上升,分别提高了0.7ppt、0.1ppt、0.8ppt和0.2ppt;如果剔除按揭类业务,狭义消费贷款市场份额变动则更为剧烈,2019年与2015年相比,工行、建行、中行、农行的市场份额分别下降了3.2ppt、1.0ppt、1.4ppt和1.4ppt,而中信、光大、平安、华夏的市场份额分别提升了0.6ppt、0.7ppt、0.7ppt和0.4ppt。另外,我们统计2019年上市银行零售贷款占比数据和ROA数据,两者并没有必然的相关性。

图表: 2019VS2015年上市银行消费信贷市场份额变动较大,资产端壁垒较低

资料来源:wind,公司公告,中金公司研究部

图表: 2019年上市银行零售贷款占比 VS ROA,简单的零售结构性数据比例并不必然提高盈利能力

资料来源:wind,公司公告,中金公司研究部

图表: 2019年招行净息差水平高,但资产端风险偏好一般,最得益于负债端竞争力

资料来源:wind,公司公告,中金公司研究部

表外>表内

我们使用调整后的上市银行手续费收入占比与ROA进行回归分析,两者显示了较强的正相关关系,即,低资本占用的手续费收入大幅增长,有助于增厚银行盈利能力。逻辑比较明显,在此不做赘述。

图表: 2019年调整后的中收占比及ROAA排序

资料来源:wind,公司公告,中金公司研究部

图表: 2019年上市银行调整后中间业务收入占比 VS ROA,两者显示了较强的正相关关系 

资料来源:wind,公司公告,中金公司研究部,注:对中收的调整方法是将信用卡分期类收入从各家银行手续费收入中剔除

从AUM到ROA,AUM是零售银行经营的核心指标

1)账户规模效应和区域因素外,交叉经营服务可以为银行带来低成本的核心负债。虽然上市银行AUM结构不同,但“AUM/资产规模”比例越高的银行大概率可以获得更低的负债成本。AUM包括了零售存款,以2019年数据为例,其中,零售存款占AUM比例为40.7%~,零售活期存款占AUM比例为14.3%~,活期存款规模和比例可以反映AUM经营带来的资金沉淀。动态测算2022E平安银行“AUM/资产规模”较2019A提高21.8ppts,至少降低负债成本9.2bps;

图表: 零售AUM/资产规模  VS 计息负债成本,做大AUM有望获得降低负债成本

资料来源:wind,公司公告,中金公司研究部

图表: 2019年零售存款/零售AUM,零售存款占AUM比例在40.7%~

资料来源:wind,公司公告,中金公司研究部

图表: 零售活期存款/零售AUM,2019年行业均值在14.3%

资料来源:wind,公司公告,中金公司研究部

图表: 我们预计2022E零售管理资产有望派生零售活期存款3,815亿元,占彼时负债比例为7.9%

资料来源:公司公告,中金公司研究部,图表源自平安银行深度报告

图表: 按照2019A负债结构测算,负债结构改善有望降低成本率9.2bps(测算没有考虑未来三年零售定期和公司存款改善的正面影响)

资料来源:公司公告,中金公司研究部,图表源自平安银行深度报告

2)负债成本优势有助于降低中长期信用成本,即,在相同净息差诉求的前提下,负债优势银行可以投放更低风险偏好的资产,在经济下行周期表现为更低的净不良生成率和信用成本支出。上市银行数据显示,负债成本排序前20%的银行过去五年平均净不良生成率为0.95%,信用成本为1.22%,显著低于尾部银行的1.20%/1.85%。

图表: 净不良生成率 VS负债水平,两者相关性较强,样本银行为净息差排序前50%的银行

资料来源:wind,公司公告,中金公司研究部 注:样本银行是2013-2015年净息差排序在前50%的银行

图表:负债成本排序前20%的银行过去五年平均净不良生成率为0.95%,信用成本为1.22%,显著低于尾部银行

资料来源:wind,公司公告,中金公司研究部

3)实现轻资本运营,增加手续费收入。上市银行零售AUM口径可能有所区别,但基本包括个人存款、个人理财、代销基金、保险、信托、贵金属等、第三方托管股票市值等科目。其中,个人理财、基金、保险、信托等产品销售可以为商业银行带来手续费收入,另外可能衍生的托管等业务收入。2009年样本银行零售非息收入规模为888亿元,2019年增长为5,027亿元,CAGR为18.9%,零售非息收入占营收比例也在过去十年提高了5.7ppts至12.5%。

图表: 某银行2019年AUM结构图,存款之外,理财、基金、信托、保险等销售可以为银行带来丰富手续费收入

资料来源:wind,公司公告,中金公司研究部

图表: 上市银行零售非息收入占营收的比例显著提高,当前零售非息收入增速仍然维持在较高水平

资料来源:wind,公司公告,中金公司研究部 注:样本银行包括工、农、中、建、交、招行、平安、光大、民生、中信、北京、南京、宁波银行

图表: 零售AUM/资产规模  VS 调整后的中收占比

资料来源:wind,公司公告,中金公司研究部

财富管理业务决定零售银行发展高度

1)考虑经济发展阶段、资产配置结构、人口结构变化、资本市场发展与实体经济需求等因素,中金公司预计中国居民家庭资产配置可能正在进入新的拐点,金融资产配置可能加速。向前看,资产管理行业的快速发展有望推动AUM增长情况可能好于银行表内资产。本轮金融监管导致资产管理行业规模仍处于调整期,未来增长仍具潜力。中金公司预计2018-2025年资产管理行业复合增速中枢在10%~,而2019年银行业资产同比增长仅为8.1%。

2)个人类资金贡献超过50%,且资产分布结构呈现一定的“二八定律”。按照样本银行数据披露,我们估算截止2019年末,财富及以上客户规模占比2%,但贡献了80%的AUM。2020年央行调研的城镇居民家庭资产结构亦呈现类似的结构,即头部20%的家庭金融资产/净资产占比分别为72.5/64.5%

3)存量激活与场景导流共同决定了零售基础客群规模,不完全有效的市场背景下头部产品获取有助于客户留存,并逐渐形成正向循环。目前中国资产管理行业负债端的个人资金占比超过50%,且客户大多留存于银行账户体系,我们认为,广阔的网点渠道具备相当的溢价能力,即,在渠道客户层面具有先发优势。向前看,中国经济产业升级和资本市场发展将推动供给多层级品类的资管产品服务,不完全有效的市场环境下头部主动管理类产品更具稀缺性,银行机构应搭建完备的产品服务体系以激活存量客户需求和吸引潜在客户,进而形成正向循环。

4)AUM到ROE,财富管理业务显著提高银行盈利能力。目前上市银行AUM/资产规模指标差距较大,截止2019年末,招商银行AUM/资产规模录得101.0%,显著超出行业平均水平的43.2%,领先AUM大幅提高了招商银行的负债能力、风控能力和手续费收入占比。

图表: 资管行业发展深度与经济发展程度高度相关,静态来看中国资管行业类似于美国90年代中期

资料来源:IMF,International Investment Funds Association,世界银行,中金公司研究部;美国投资公司协会(ICI),Preqin,日本投资信托协会,野村综合研究所报告,国证券投资基金业协会,信托业协会,银行业理财登记托管中心,银保监会,中金公司研究部

图表: 未剔除通道口径下的底层资金来源测算,个人类占比超过50%,零售客户/渠道具备相当的溢价能力

资料来源:中国证券投资基金业协会,信托业协会,银行业理财登记托管中心,银保监会,保险资管协会,中金公司研究部;注:资金信托计划中个人类资金假设占集合信托计划35%、机构类资金参照银行理财中机构和个人资金规模相对比例;公募基金机构类资金含无法区分类型的机构以及境外机构

图表: 本轮金融监管导致资产管理行业规模仍处于调整期,未来增长仍具潜力。中金公司预计2018-2025年资产管理行业复合增速中枢在10%~

资料来源:wind,公司公告,中金公司研究部 注:假设2019年银行非保本理财规模与1H19相同

图表: 央行调研的城镇居民家庭资产分部情况,20%的家庭金融资产/净资产占比分别为72.5/64.5%

资料来源:中国人民银行调查统计司城镇居民家庭资产负债调查课题组,中金公司研究部 

图表: 中高层级客户数量贡献了大部分的AUM,突破重点在于中高净值客群经营

资料来源:万得资讯,公司公告,中金公司研究部  注:假设2019平安银行私行+财富客户AUM占比为80%;样本银行包括平安、招行、中信

图表: 样本银行分层次客群规模、AUM结构,财富级及以上客群AUM占比大体呈现提高趋势  

资料来源:万得资讯,公司公告,中金公司研究部  注:招行的私行客户标准为“在本公司月日均全折人民币总资产在 1,000 万元及以上的零售客户”,中信的私行客户标准为“指在本行日均管理资产在600 万以上的客户”

图表: 分层客群规模和AUM的同比增速,金葵花/贵宾客户及以上增长仍处于较高水平

资料来源:万得资讯,公司公告,中金公司研究部 

图表: 招行资管相关手续费占总手续费约一半,相应收入费率在0.53-0.66%间波动  

资料来源:Wind,中金公司研究部

图表: 2018年市场占有率约为4.6%,5年提高91bp

资料来源:《2019中国私人银行报告》(波士顿咨询公司、建设银行),中金公司研究部 注:个人可投资金融资产包括离岸资产,不包含房地产、奢侈品等非金融资产

图表: 上市银行AUM/资产规模数据,招行自2015年提高较快,平安自2017年以来指标显著提高

资料来源:wind,公司公告,中金公司研究部

风险

资产管理行业发展不及预期,银行不良风险暴露超预期。

文章来源

本文摘自:2020年7月16日已经发布的《从AUM到ROE,引入中金零售银行分析框架》

张帅帅 SAC 执业证书编号:S0080516060001 SFC CE Ref:BHQ055

王瑶平 SAC 执业证书编号:S0080517120002 SFC CE Ref:ALE841

严佳卉 SAC 执业证书编号:S0080518110004 SFC CE Ref:BNF177

法律声明

向上滑动参见完整法律声明及二维码

加载中...