新浪财经

单只债券资料的基本概念

新浪财经

关注

债券面值:债券面值,是指债券发行时所设定的票面金额,它代表着发行人借入并承诺于未来某一特定日期(如债券到期日),偿付给债券持有人的金额。

债券期限:债券的期限即在债券发行时就确定的债券还本的年限,债券的发行人到期必须偿还本金,债券持有人到期收回本金的权利得到法律的保护。债券按期限的长短可分为长期债券 . 中期债券和短期债券。长期债券期限在10年以上,短期债券期限一般在1年以内,中期债券的期限则介于二者之间。债券的期限越长,则债券持有者资金周转越慢,在银行利率上升时有可能使投资收益受到影响。债券的期限越长,债券的投资风险也越高,因此要求有较高的收益作为补偿,而收益率高的债券价格也高。所以,为了获取与所遭受的风险相对称的收益,债券的持有人当然对期限长的债券要求较高的收益率,因而长期债券价格一般要高于短期债券的价格。

票面利率:债券的票面利率即债券券面上所载明的利率,在债券到期以前的整个时期都按此利率计算和支付债息。在银行存款利息率不变的前提下,债券的票面利率越高,则债券持有人所获得的债息就越多,所以债券价格也就越高。反之,则越低。

剩余期限:剩余期限是指债券距离最终还本付息还有多长时间,一般以年为计算单位,其计算公式如下: 剩余期限=(债券最终到期日-交割日)÷365

应计利息:应计利息是指自上一利息支付日至买卖结算日产生的利息收入,具体而言,零息债券是指发行起息日至交割日所含利息金额;附息债券是指本付息期起息日至交割日所含利息金额;贴现债券没有票面利率,其应计利息额为零或按发行收益率计算。

附息债券应计利息的计算公式如下(以每百元债券所含利息额列示):

应计利息额=票面利率÷365×(买卖结算日-上一利息支付日)×100

拟于今年下半年实行净价交易的短期贴现国债的应计利息计算公式如下(以每百元债券所含利息额列示):

应计利息额=(到期兑付额-发行价格)÷起息日至到期日的实际天数×起息日至交割日的实际天数。

现值与终值:在债券买卖计价中,首先涉及到的基本概念是现值与终值。计算投资债券的现值和终值,是计算债券到期收益率的基础,而收益率则是衡量某笔债券投资得失多寡的重要依据。现值,指债券当前的价值,即市价,是债券成交时需要支付的价钱,也就是债券购买者购买债券时的支出。终值,指持有债券到期所能获得现金,即“本金+利息”,是债券购买者购买债券并持有到期时所获得的全部收入。债券投资到期收益=终值-现值。

净价和全价:债券现值的表示方法有净价和全价之分。由于债券的利息是定期支付,因此,债券在二级市场买卖时,其报价和成交价都可能包含应计而未付的利息收入,这种价格就是全价。如果债券报价和成交价中包含应计未付的利息,则价格不能真实反映债券本金价值的变化,还可能涉及到税收政策问题,于是就有了净价的概念。净价是扣除应计未付利息后的价格。即:全价=净价+应计利息。目前银行间债券市场所有债券和交易所国债债券买卖实行净价交易;交易所企业债买卖实行全价交易。

净价交易:所谓的净价交易是指在债券交易时,以不含应计利息的价格(净价)报价并成交的交易方式。在债券交易中,将债券的净价和应计利息分解,净价仅反映本金价值的变化;而应计利息则根据票面利率按天计算,债券持有人享有持有期间的利息收入。在净价交易方式下,由于债券交易价格不含有应计利息,其价格形成及变动能够更加准确地体现债券的内在价值、供求关系和市场利率的变动趋势。并且,由于国债的利息收入一般都享有免税待遇,因此净价交易也有利于国债交易的税务处理。在净价交易中,交易时采用净价,结算时仍然采用全价。全价、净价和应计利息三者关系是:全价=净价+应计利息。

到期收益率(Yield to Maturity):到期收益率(YTM)是使债券上得到的所有回报的现值与债券当前价格相等的收益率。它反映了投资者如果以既定的价格投资某个债券,那么按照复利的方式,得到未来各个时期的货币收入的收益率是多少。目前银行间债券市场债券到期收益率的计算公式是由财政部、人民银行、证监会三家联合发文确定的。其计算公式如下:

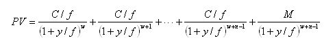
1、处在最后付息周期的附息债券(包括固定利率债券和浮动利率债券)、贴现债券和剩余期限在一年及以内的到期一次还本付息债券,按单利计算,公式为:

PV为债券全价;

FV为到期本息之和,其中:贴现债券FV=100;到期一次还本付息债券FV=M+N×C;附息债券FV=C/f+M;

M为债券面值;

N为债券偿还期限(年);

C为债券票面年利息;

f为债券每年的利息支付频率;

D为从债券交割日至债券兑付日为止的剩余流通天数。

2、剩余期限在一年以上的到期一次还本付息债券的到期收益率采取复利计算,计算公式为:

M为债券面值;

N为债券偿还期限(年);

C为票面年利息;

PV为债券的全价;

L为债券的剩余流通期限(年),等于(债券交割日至到期兑付日的天数)/365。

3、不处于最后付息周期的固定利率附息债券和浮动利率债券的到期收益率采取复利计算,计算公式为:

PV为债券的全价(包括:净价和应计利息);

C为当年票面年利息;

f为债券每年的利息支付频率;

n为剩余的付息次数,n-1即为剩余的付息周期数;

D为从债券交割日距最近一次付息日的天数;

w等于D/当前付息周期的实际天数;

M为债券面值。

持有期收益率:持有期收益率是指从购入到卖出这段特有期限里所能得到的收益率。持有期收益率和到期收益率的差别在于将来值的不同。

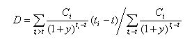
久期:是考虑了债券现金流现值的因素后测算的债券实际到期日。价格与收益率之间是一个非线性关系。但是在价格变动不大时,这个非线性关系可以近似地看成一个线性关系。也就是说,价格与收益率的变化幅度是成反比的。值得注意的是,对于不同的债券,在不同的日期,这个反比的比率是不相同的。久期计算公式如下:

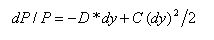
修正久期:修正久期由久期引出的用于债券分析的一个重要概念。它由以下公式定义:

dP/P= -D*dy

这里,dy表示收益率的一个小幅度波动,dP表示相应的价格波动,dP/P表示价格波动的百分比。

比如说,修正持久期D*=5,收益率上升100个基点,即dy=1%,则有dP/P=-5×1%=-5%,也就是说价格下降5%。由此可以看出,修正久期D*是衡量价格对收益率变化的敏感度的指标。在市场利率水平发生一定幅度波动时,修正持久期越大的债券,价格波动越大(按百分比计)。

凸性:凸性是对债券价格利率敏感性的二阶估计,是对债券久期利率敏感性的测量。在价格-收益率出现大幅度变动时,它们的波动幅度呈非线性关系。由久期作出的预测将有所偏离。凸性就是对这个偏离的修正。它由以下公式定义:

无论收益率是上升还是下降,凸性所引起的修正都是正的。因此如果修正持久期相同,凸性越大越好。凸性的计算公式为:

债券信用评级:信用评级是指专业资信评级公司按照一定程序和方法对债券发行人如期还本付息能力和偿债意愿进行综合评价并以信用等级划分方法来标识的信用风险级别。按照国际惯例,长期债券BBB以上的为投资级。根据《中国人民银行信用评级管理指导意见》,信用评级标识的具体含义如下:

1、银行间债券市场长期债券信用等级划分为三等九级,符号表示分别为:AAA、AA、A、BBB、BB、B、CCC、CC、C。等级含义如下:

AAA级:偿还债务的能力极强,基本不受不利经济环境的影响,违约风险极低。

AA级:偿还债务的能力很强,受不利经济环境的影响不大,违约风险很低。

A级:偿还债务能力较强,较易受不利经济环境的影响,违约风险较低。

BBB级:偿还债务能力一般,受不利经济环境影响较大,违约风险一般。

BB级:偿还债务能力较弱,受不利经济环境影响很大,有较高违约风险。

B级:偿还债务的能力较大地依赖于良好的经济环境,违约风险很高。

CCC级:偿还债务的能力极度依赖于良好的经济环境,违约风险极高。

CC级:在破产或重组时可获得保护较小,基本不能保证偿还债务。

C级:不能偿还债务。

除AAA级,CCC级以下等级外,每一个信用等级可用“+”、“-”符号进行微调,表示略高或略低于本等级。

2、银行间债券市场短期债券信用等级划分为四等六级,符号表示分别为:A-1、A-2、A-3、B、C、D。等级含义如下:

A-1级:为最高级短期债券,其还本付息能力最强,安全性最高。

A-2级:还本付息能力较强,安全性较高。

A-3级:还本付息能力一般,安全性易受不良环境变化的影响。

B级:还本付息能力较低,有一定的违约风险。

C级:还本付息能力很低,违约风险较高。

D级:不能按期还本付息。                                 

每一个信用等级均不进行微调。

加载中...