新浪财经

养老型产品梳理及动态生命周期策略设计——金融工程专题报告

新浪财经

关注

来源:华宝财富魔方

分析师:张青(执业证书编号:S0890516100001)

分析师:贾依廷(执业证书编号:S0890520010004)

中国的人口老龄化问题日益突出,年轻人养老意识逐步增强,再加上国家的政策鼓励,市场对养老型产品的需求与日俱增,公募基金、银行、保险等金融机构纷纷入驻养老市场,且产品各有特色。本文就聚焦于养老市场,从当前市场存续的养老产品入手,梳理各类机构的产品特点与优势,并重点对一站式养老的目标日期型策略进行整理,从主要理论到当前市场主要使用的方法。最后,针对目标日期策略设定中的下滑轨道设计,我们构建了一个双向滑动路径的动态生命周期策略,并借助蒙特卡罗模拟的方法进行测试。

1. 人口老龄化趋势,催生养老型产品广阔发展空间

根据国家统计局的数据,2019年中国人口的出生率下降至10.48%,创下了1952年以来的历史新低,但65岁以上人口占比不断攀升,2019年达到12.6%,同时16-59岁人口占比近几年在不断下降。从统计数据可以看出,我国出生人口下降,老龄人口不断增多,人口老龄化形势日益严峻。在此背景下,养老问题的解决也日益突出,而养老产品的设计与推广则是从长远考虑,通过养老性质的长期储蓄,以应对当下的人口老龄化问题。

人口老龄化带来的养老问题在一定程度上增强了年轻一代的养老意识,他们对养老的话题越来越关注。2019年全国两会期间,中国青年报社会调查中心对1876名18~35周岁青年进行的调查显示,89.3%的受访青年关注养老问题。其中,78.8%的受访青年担心自己的养老问题,86.1%的受访青年担心父母的养老问题(资料来源:每日经济新闻,“当00后开始思考养老投资,他们能买什么?”)。从调查中可以发现,随着关注养老问题的年轻人越来越多,将对养老产品形成巨大需求。

当前我国的养老体系包括三大支柱,长期以来由政府主导的第一支柱一直占据着我国养老产业的主导地位,而第二支柱和第三支柱则发展滞后,即第一支柱基本养老保险一支独大,财政负担较为沉重,而第二支柱的企业年金则规模较小,覆盖面狭窄,职业年金也才刚刚起步,第三支柱的个人养老金市场则基本处于空白,仍在探索,而海外发达市场中,养老体系中的第二和第三支柱占比则非常高。为解决养老结构的不合理问题,近年来国家政策层面开始频频发力,银保监会、证监会等监管机构在2018年都发布了相关政策,如针对商业保险的《个人税收递延型商业养老保险资金运用管理暂行办法》,对养老保险产品的各个层面约束都做了规范化说明;针对公募基金层面的《养老目标证券投资基金指引(试行)》,则开启了对养老产业第三支柱的布局。

总之,一方面源于市场需求,另一方面源于政策的引导,我国养老产业的结构优化开始破冰。在这一过程中,养老产品将承担着重要角色,银行、保险、公募基金等各方金融机构在这一业务领域都在发力,不断优化商业养老产品体系。

2. 当前市场存续的主要养老型产品梳理

伴随我国养老体系的压力加大,近年来社会各界开始重视养老产业第三支柱的发展,尤其是2018年以来各项政策陆续出台,泛资管与财富管理行业的养老型产品陆续开始布局,我们将当前市场上存在的各类机构发行的主要养老产品进行梳理。 

2.1. 公募养老型FOF产品梳理

2018年3月2日,证监会正式发布《养老目标证券投资基金指引(试行)》(本章节下文简称《指引》)。作为养老基金领域的纲领性文件,《指引》的发布标志着我国养老基金产品开始进行规范化的运作阶段,标志着公募基金行业服务个人养老投资进入了新的阶段,也意味着个人养老投资者将拥有更多、更适合的养老投资工具。

自《指引》发布以来,多家基金公司发行了养老FOF产品,截止到2019年12月底市场存续的产品数量已经达到64只(剔除C类份额)。根据策略类型可划分为两类:目标日期策略型产品和目标风险策略型产品。下面我们根据策略的不同,分别对两类产品进行梳理。

2.1.1. 目标日期型FOF产品

目标日期型产品的设计原理在于认为年龄变化与风险偏好变化有一定的相关关系。在产品的运作期内,针对各类资产的配置比例会设计一个滑行路径(Glide path)。在产品的投资期限内,权益资产占比会按照滑行路径随着投资期限的增加逐步下行,而业绩比较基准同时根据下滑轨道的权益资产比例进行调整。

目前存续的目标日期产品一般会设定一定的封闭期,其中以封闭3年、5年居多。

封闭3年的产品中,基金投资于股票、股票型基金、混合型基金和商品基金(含商品期货基金和黄金ETF)等品种的比例合计原则上不超过60%。当前的业绩比较基准的权益多在50%左右,少数30%或60%。

封闭期5年的产品中,投资于股票、股票型基金、混合型基金和商品基金(含商品期货基金和黄金ETF)等品种的比例合计原则上不超过80%。当前业绩比较基准的权益多在70%左右,少数60%或80%。

根据《公开募集证券投资基金运作指引第2号——基金中基金指引》与《养老目标证券投资基金指引(试行)》中要求,投资范围涵盖:

(1)公募基金、国内依法发行上市的股票、港股通标的股票、债券、债券回购、资产支持证券、货币市场工具及法律法规或中国证监会允许基金投资的其他金融工具;

(2) 将80%以上的基金资产投资于经中国证监会依法核准或注册的公开募集的基金份额的基金;

(3)基金中基金持有单只基金的市值,不得高于基金中基金资产净值的20%,且不得持有其他基金中基金;

(4)养老目标基金定期开放的封闭运作期或投资人最短持有期限不短于1 年、3 年或5 年的,基金投资于股票、股票型基金、混合型基金和商品基金(含商品期货基金和黄金ETF)等品种的比例合计原则上不超过30%、60%、80%;有些封闭期为5年的产品,仍然会将权益仓位限制的比较低;

(5)文件中的其他要求不一一列明,个别产品会对商品(黄金等)权重做限制,如不超过10%。

从各基金规模来看,截止到2019年12月底,锁定期为5年的产品,只有“汇添富养老2040五年”规模超过5亿,其余均不足1亿,平均规模0.90亿元;锁定期为3年的产品,规模大部分在1亿以上,平均规模为2.43亿元。

封闭期三年和五年的产品中,我们分别以“南方养老2035三年”和“汇添富养老2040五年”作为典型案例,进行分析。

“南方养老2035三年”主要投资自身管理人旗下的基金,可以进行费率优惠,成立于2018年底,成立以来相对于基准回撤较小,整体更为平稳。“汇添富养老2040五年”成立时间较短,但成立以来累计收益12.44%,高于基准的3.25%,同时回撤有所控制,夏普比率由0.10提升至2.08。

2.1.2. 目标风险型FOF产品

目标风险型产品共30只,这一类养老目标基金会在招募说明书中明确风险等级及其含义,采用目标风险策略的基金还应当在基金名称中明确产品风险等级。根据产品名称中的风险等级,可将市场上的目标风险型养老目标基金分为稳健型和平衡型(有些基金命名为“均衡”)两类,平衡型产品的风险等级高于稳健型。

投资与限制要求与目标日期型FOF产品一致,都需要设定封闭期,但封闭期较之目标日期产品要短,封闭1年期产品较多,占比为62%,封闭期3年产品占比为38%。可能是由于较短的封闭期设定,且目标风险策略逻辑更清晰明了,从而目标风险型产品的规模整体高于目标日期型产品。

我们根据风险等级的不同,即稳健型、平衡型,分别对目标风险策略养老FOF产品进行分析。

稳健型产品

稳健型目标风险策略养老基金共21只,大部分均为封闭1年期,其中有一只基金为一年期定开产品(中银安康稳健养老目标一年定期开放混合型基金中基金(FOF)),两只的封闭期为3年。业绩比较基准中,权益资产一般设定在20%左右,少数为15%或25%。稳健型产品中,规模最大的为“民生加银康宁稳健养老一年”,截止到统计时规模45.95亿。

稳健型产品以“民生加银康宁稳健养老一年”为例进行分析,该产品成立于2019年4月,封闭期一年,当前规模45.95亿,业绩比较基准为“中证全债指数收益率*75%+沪深300指数收益率*25%”,产品成立以来获得累计收益6.92%,跑赢4.57%的业绩比较基准收益。

平衡型产品

目标风险策略平衡型养老目标基金当前共9只,每份额封闭期均为3年。业绩比较基准中的权益比重一般设定在50%以下。

平衡型产品中规模最大的为“兴全安泰平衡养老(FOF)”,成立于2019年1月,截止到统计时规模10.20亿,业绩比较基准为“中证偏股型基金指数收益率*50%+中债综合(全价)指数收益率*50%”。该产品的净值走势与业绩比较基准基本一致,但收益风险比更优,夏普比率有小幅提升。

总之,整体来看,目前公募基金市场的养老FOF产品规模普遍不大。这一方面源于投资者的养老投资理念有待提升,另一方面则在于公募养老FOF产品的税收优惠还不到位。《养老目标证券投资基金指引(试行)》中有“养老目标基金可以设置优惠的基金费率,并通过差异化费率安排,鼓励投资人长期持有”,但目前尚未实施。不过,2019年9月10日召开的“全面深化资本市场改革工作座谈会”中,明确提出要推动公募基金纳入个人税收递延型商业养老金投资范围。倘若后续得以实施,我们预计对公募养老FOF产品的发展,将起到重要推动作用。

2.2. 商业养老保险产品

2018年4月,财政部等五部委联合发布《关于开展个人税收递延型商业养老保险试点的通知》,保险型养老产品正式敲定税收优惠政策试点,但是从试点情况来看,效果低于预期。“2019年10月,中国银行保险监督管理委员会副主席黄洪表示,税延养老保险试点一年多来,已有23家公司参与税延养老保险试点,66款产品上市,累计实现了保费收入2亿元,参保人数4.52万人。”(资料来源:中国新闻网),试点效果低于预期的原因,一方面与税延政策有关外,另一方面也与申报流程较为复杂且税收优惠较低有关。对此,2020年1月银保监会发文将完善个人税收型商业养老保险试点政策,以加快发展商业养老保险。

据《个人税收递延型商业养老保险业务管理暂行办法》要求,可依据收益类型分为收益确定型(A类产品)、收益保底型(B类产品)、收益浮动型(C类产品)。

平安养老保险的相关产品信息披露相对比较详细,我们以平安养老的产品为例进行分析。

A类产品

先来看平安个人税收递延型养老年金保险 A 款产品,确定收益型产品。

账户价值:产品账户的保证利率为年利率3.5%。

领取方式:终身月(或年)领,每期领取金额根据产品账户价值以及开始领取年龄确定;固定期限15(或20年)月(或年)领。

B类产品

平安个人税收递延型养老年金保险 B 款产品,收益保底型产品。

账户价值:产品账户的保证利率为年利率2.5%+投资管理收益。

领取方式:终身月(或年)领,每期领取金额根据产品账户价值以及开始领取年龄确定;固定期限15(或20年)月(或年)领。

C类产品

平安个人税收递延型养老年金保险 C 款产品,收益浮动型产品。

账户价值:收益浮动,至少每周评估。适合中高风险承受能力投资者

投资比例:“投资于权益类资产的比例不低于账户价值的60%;流动性资产的比例不低于账户价值的5%;基础设施投资计划、不动产相关金融产品、其他金融资产的投资余额不得超过账户价值的75%,其中单一项目的投资余额不得超过账户价值的50%;本账户可进行债券正回购,正回购比例不高于账户价值的100%”(产品说明书)

业绩比较基准:沪深300指数收益率*80%+中债综合指数收益率*20%

领取方式:终身月(或年)领,每期领取金额根据产品账户价值以及开始领取年龄确定;固定期限15(或20年)月(或年)领。

2.3. 公募基金投顾型养老产品

2019年10月,证监会下发《关于做好公开募集证券投资基金投资顾问业务试点工作的通知》,业内翘首以盼的买方投顾业务正式破冰。买方投顾业务的推出意义重大,顺应了中国财富管理行业变革趋势,对促使公募基金行业从销售导向转向客户资产保值增值导向起到积极作用。

基金投顾业务的核心,是接受客户委托,按照协议约定向其提供基金投资组合策略建议,并直接或者间接获得经济利益,标的应为公募基金产品或证监会认可的同类产品。目前,第一批部分试点机构已陆续推出投顾产品,多家推出了满足不同群体养老目标的养老场景型策略,我们以华夏财富推出的养老智投系列为例进行分析。

养老智投系列按照年龄阶层分为4款策略,风险类型均为中风险(R3),适合平衡型以上人群。其投资目标是满足不同年龄层的长期养老需求,力争获取超越业绩基准的稳健回报(相对收益),具体来看其资产配置策略采用TDF生命周期理论,并随着用户退休日期的临近根据下滑轨道降低组合中权益资产的配比,配置标的为公募基金,通过定量加定性的方式进行基金标的筛选。具体见下表:

2.4. 银行理财养老型产品

商业银行养老理财产品起步相对较晚,投资期限一般为一个季度、半年、1年、3年,主要投资于高流动性、短期固定收益类金融产品,产品类型多采用固定收益型,与市场上大多数理财产品之间存在同质化问题。(资料观点来源于“中国养老金融50人论坛”收录《张岚、高骛远、李志淦:资管新规下商业银行养老理财产品的突围之道》2019年第9期间)。从严格意义上来说,银行理财市场目前存续的养老产品仅是一个概念,并非如公募FOF市场存续的真正意义上的养老产品(公募FOF养老产品在策略设计上有严格界定)。

鉴于养老市场未来的发展空间广阔,新近成立的银行理财子公司在产品布局规划上,多数表示会把养老产品作为一个重要布局。如中银理财在开业仪式上,就提出要推出“稳富”系列产品,致力于为养老客群提供长期投资、策略稳健的理财产品,以金融力量落实国家养老服务发展部署。招银理财已推出两款养老型产品,尤其是其第二款养老产品——“招睿颐养五年封闭1号”仅开售半天就宣布募集完成,募集资金达到10亿元上限。2020年2月19日,光大理财推出了首款公募理财产品“阳光金养老1号”,该产品定位于居民养老,投资策略上采用固收+策略,业绩比较基准设定为4.70%-6.10%。此外,阳光金养老1号”在产品设计上还引入了流动性安排,即“产品成立满两年后,每年将向投资者返还25%的份额”,以用于满足投资者支付生活费用、医养费用、旅游费用等日常开销的需求,从而实现长期投资目标下的短期流动性安排。

下表列出了部分已经发行的银行理财子公司养老产品信息,大部分产品风险等级定位中低,期限一、三、五年不等,与公募基金产品封闭期一致。其中中银理财的养老产品“稳富(封闭式)2019年01期”运行时间较长,封闭期一年,业绩比较基准4%,当前(周频公布净值,截止到2020年1月2日)净值1.012161元。

2.5. 不同机构养老产品的对比分析

从不同机构养老产品的对比来看,保险公司的养老产品(以税延型商业养老产品来看)具有较强的保险特色,基于保险公司的业务性质,对于寿命与风险的关联研究更为深入。当前保险公司养老产品很多是保证确定收益或在确定收益上小幅变动,少部分净值型产品对风险、管理等方面限制也较多,对于风险厌恶的投资者来说是很好的选择,且在产品条例中对各类风险赔付条例约定清晰,尤其对于可能面临的长寿风险,保险公司的养老产品可以采取直到寿命终结的每期固定支付以解决长寿风险的问题。对于公募基金产品,则不可避免带有投资产品的属性,对长寿风险的应对不及保险养老产品,但是基于公募基金长期积累投资经验更丰富,推出的产品可以覆盖不同风险偏好的人群,对于想要长期财富积累的投资者来说不失为较好的选择,且从长期来看,对于通胀风险的应对更优。对于银行系养老产品,其优势则在于:一是非标投资,银行在非标投资领域的投资经验丰富,可以借助与对公企业的长期限黏性,挖掘更好的非标投资品种,增厚收益来源;二是银行客户资源丰富,发行渠道优势明显,并可以以账户为基础,更好了解客户,通过大类资产配置,从而实现投资者的期限从短期向中长期和长期的递延,重构中国养老体系的顶层架构。对于投顾业务下的养老型FOF产品,其优势可能有二:一是产品上线较为便捷。买方投顾本质属于投顾业务范畴,只要具备该业务资格即可从事该项业务,具体上线的产品在监管报备的流程上较短。二是产品的费率低廉。买方投顾产品的费率涵盖三部分,费率涵盖所配置基金的申购费与赎回费以及投顾服务费用,但对投顾账户的资金转入转出不再重复收费,且当前的投顾服务费多数有较大折扣。

3. 基于动态生命周期的目标日期型养老FOF策略设计

从策略设计的理念看,目标日期策略设计覆盖了投资人的整个生命周期,在海外养老FOF产品中占据主导地位,且该策略的设计相较更为复杂,滑动路径的设计是策略的核心。本部分我们对目标日期型养老产品的策略设计,尤其是滑动路径的设计进行梳理,并参考海外学术界研究成果,构建了一个双向滑动路径的目标日期策略。

3.1. 目标日期策略的主要设计思路

目标日期策略设计的重点在于下滑轨道的设计,因此我们首先从理论角度入手,展示现有的下滑轨道理论思路;其次,以我国公募市场目标日期基金为样本,研究我国目前主要运用的下滑轨道设计方法。

不论采用哪一种方法设计下滑轨道,覆盖整个生命周期的目标日期策略都需要全方位了解投资群体的特征,包括工作年限、工资水平及增长率、风险厌恶水平等等,然后才能设计符合用户特征的养老产品。

当前,业内比较认可的下滑轨道设计方案主要有三类,第一种是整个投资过程效用最大化的方法(代表Lyxor);第二种是考虑人力资本与金融资本均衡配置的方法(代表Ibbotson);第三种是资产不同期限风险变化的方法(代表Northern Trust)。

投资效用最大化的方法,即追求在投资结束的时候,整体效用的最大化。以lyxor模型为例,需要考虑风险厌恶水平的变化、人力资本的变化所导致的未来投入资金的变化情况,求解最优的风险资产配置比例。该模型每期风险资产权重的变化主要来源于两方面,其一是风险厌恶水平;另一个是未来投入资金的变化,因此这两个参数与下滑轨道的形态密切相关。(关于lyxor模型的细节介绍可参见3.2)

人力资本与金融资本均衡配置的方法,重点在于分析人力资本在不同阶段的收益风险属性,即不同阶段人力资本可拆解为权益资产与债券资产的占比,这与投资人的工作属性等密切相关。将投资人的资本分为人力资本与金融资本两大类,随着年龄的增加,人力资本不断下降同时金融资本不断上升,最终需要达到的平衡是个人资产中权益资产的配置比例与市场均衡条件下相同。

资产不同期限风险变化的方法,重点在于分析不同阶段资产的波动率变化情况。以Northern Trust机构研究模型为例,认为随着持有期的不断增加,资产的波动率会逐渐降低;此外,权益资产的降低速率要高于债券资产。模型利用这一特征,计算每期权益资产与债券资产的相对波动率relaRiskt,将从开始投资日到t时刻相对波动率的变化总额占从开始投资日到投资结束日相对波动率的变化总额的比例作为t时刻权益资产的权重。

截止到2019年12月底,已发行的目标日期型FOF共34只(不包含C类份额),我们主要从这些基金的招募说明书中获取下滑轨道的设计方法。从各基金的投资策略说明来看,一部分基金采用了投资期效用最大化的方法,如“易方达汇诚养老2033三年”、“工银养老2035三年”、“国泰民安养老2040三年”等。还有一部分基金采用了投资期望收益最大化的方法,如“嘉实养老2030三年” 、“景顺长城养老2045五年”、“天弘养老2035三年”、“兴业养老2035A”等基金。其中采用期望收益最大化方法的基金, 对于风险的约束也各有不同,如利用VaR模型、均方差模型等。其中“兴业养老2035A”基金对下滑轨道的介绍比较详细,该基金也采用了投资效用最大化的方法,且效用函数采用常相对风险规避效用函数(CRRA),并基于统计数据、研究报告等确定投资者的风险厌恶系数、投资金额、投资期限、提取金额、提取期限等参数生成覆盖生命周期的投资下滑轨道。

3.2. 双向滑动路径的动态生命周期策略设计

基于3.1中所述常用的目标日期策略,我们考虑引入收益反馈机制重新设计下滑轨道,即双向滑动路径。双向滑动路径的设计思路来源于文献《Dynamic Lifecycle Strategies for Target Date Retirement Funds》。本文中的双向滑动路径即一方面通过传统下滑轨道理论考虑年龄、风险厌恶、人力资本等确定风险资产比重;另一方面通过当前的年化收益率与目标年化收益率的关系对风险资产权重是否改变进行反馈。引入双向滑动路径的原因在于传统的下滑路径基本遵照当投资者年轻时风险资产比重较高,随着年龄的增长,逐渐用债券等低风险资产进行替代。如此设计的逻辑在于通常认为风险资产的收益更高,相应发生损失的风险也更大。当投资者年轻时即使发生了较大损失,仍然还有较长的时间来弥补,但如果接近退休的时候风险资产仍比较高同时发生了较大亏损,则没有足够的时间来弥补这一亏损,如此设计有一定的道理,但是仍有其局限性。为克服这一缺陷,该文引入了收益反馈的双向滑动路径,该方法的优势在于:

(1)传统下滑路径可能存在的一种现象是,随着年龄的增长风险资产不断下降,但是前期风险资产处于长熊市场,基金整体处于亏损状态;后期风险资产下降到很低的比例,风险资产迎来牛市,但是基金却只能获得较低的固定收益。如果加入收益反馈机制双向滑动设计下滑轨道,则能避免这种情况,在收益不达目标时不会轻易减仓。此外,股票市场一般存在均值回复的现象,目标日期策略属于生命周期内一站式养老的策略,投资时间极长,基本不存在整个投资期间均处于熊市的情况。

(2)对于传统下滑路径设计所担心的问题,接近退休时发生亏损无法弥补的现象。一方面,双向滑动路径并非一直保持高风险资产权重,只是对传统下滑路径增加一个反馈,如果前期达到了目标收益,那么风险资产自然会正常下降,如此不存在退休时风险资产极高发生大幅亏损现象;如果前期未达到目标收益,一种可能是前期长熊,那么后面一直长熊的概率也极低;另一种是前期某个时间段发生了大幅亏损,那么此时的风险资产也只是相对传统下滑路径的风险资产比重高一些,影响不会很大。

由于目前国内公募基金运用较多的为根据生命周期理论,利用投资者效用最大化的思路设计下滑轨道。因此我们以lyxor模型为基础,进行两组测试,一组为单纯的根据lyxor模型设计下滑轨道;另一组结合模型给出的下滑轨迹并根据收益反馈确定下滑轨道,分别对两种方法进行模拟测试。标准的生命周期策略在确定大类资产仓位后,还需利用风险平价等方法将权重分配到细分资产上,本文主要目的在测试收益反馈机制的有效性,因此配置只停留在大类资产的层面上。

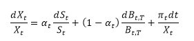
首先来看lyxor模型,该模型的设计参照《How to Design Target-Date Funds?》一文,输入变量为投资者一生的风险厌恶系数以及不同时期对基金的投入金额,以投资者的效用最大化为作为目标,求得每期权益资产的最优配置比例。

该模型的每期资产变化参照如下公式:

基于上述假设,第一组lyxor模型的目标日期策略设计步骤基本确定,但还有两个参数需要确定,其一为风险厌恶系数;另一个为每期投入资金。

风险厌恶系数的确定可以参照《中国居民风险厌恶系数测定及影响因素分析——基于中国居民投资行为数据的实证研究》一文中的分析,文中说明了风险厌恶系数与年龄的关系。刚开始,随着年龄的增加,社会财富、人生阅历随之积累,风险厌恶会有所降低,但是达到某一阈值后,年龄越大,风险厌恶会随之上升。这里,我们采用文中通过实例分析并建模得到的一组年龄与风险厌恶系数参数来简单描述年龄与风险厌恶系数的关系。λ=7.6-0.2118x+0.0022x^2(γ=1-λ)

基于《How to Design Target-Date Funds?》一文中对影响风险暴露(用权益仓位代表)因素的研究,有结论未来投入金额与初始投资金额的比例不变,则风险暴露不变。因此,我们假定初始投资金额为1。未来每期投入金额跟随年龄增加而逐渐增加,但是刚开始时增加较慢,壮年时处于财富积累阶段,增加较快;接近退休时增加较慢。我们简单假设未来每期投入金额与年龄的关系服从如下分段函数:

最后,由于假设股票与债券的期望收益、波动率不随时间变化,在确定这几个参数时,主要参考沪深300指数和中债总财富指数从2005年到2020年1月底的历史数据,求年化波动率与收益率作为波动率与期望收益率的参考。但是考虑到国内股票市场的历史波动较为剧烈,而目标日期策略的投资时间一般较长,如长达40年,中国股市当前各项政策都表明国内市场正在向成熟股票市场靠拢,预计市场波动会有所降低,因此我们参考海外市场主要指数的波动情况,将输入的股票资产波动率确定为20%,其它市场参数维持历史数据计算的结果。

根据上述假设与参数设定,我们开始进行测试。根据输入的股票与债券参数进行蒙特卡洛模拟,模拟10000次下滑路径后进行分析。取10000次下滑轨道的均值进行观察,形成的下滑轨道如图中所示。对于每一次模拟,我们计算了每一年的收益率生成了净值曲线,测试结果如表中所示,分别展示了所有回测均值、前25%分位数、中位数以及75%分位数的收益风险等情况。

上述回测结果为当输入股票年化波动率为20%的情况下,进行蒙特卡洛模拟的结果。那么波动率的变化是否会对回测结果产生比较大的影响呢,我们同时对沪深300历史测算波动率(近似取26%)、略低一些的波动率(23%)进行测试,回测结果如下表所示。两个表中分别列出了多次模拟后各指标的均值与中位数。从理论上讲,当股票资产的波动率越大,发生极端情况的可能性越高,即极高或极低的收益。表中所示当股票波动率越高,最大回撤会有所放大是合理的,同时年化波动率相差不大,但是波动率更小的测试情况下年化收益率的均值更高,因为股票价格将更稳定。

第二组我们在第一组lyxor模型的基础上,加入收益反馈机制,仍然先看股票波动率为20%的情况。首先设置目标年化收益率,每年计算当前的年化收益率(由于每年有新增投资,这里以内部收益率进行计算,即在已知过去每期投入金额且假设当前基金的资产为卖出后可获得资产总额的情况下,令资金流入现值总额与流出现值总额相等,净现值等于零时的折现率)如果达到了目标收益,则按照模型原本的轨道下滑权益仓位;如果未达到目标,则本期不进行减仓。其余假设和参数设置与前文第一组模型测试保持一致。同样进行10000次模拟测试,生成平均下滑轨道、收益风险等测评指标。

从下滑轨道来看,引入收益反馈机制后,轨道的下滑更为缓慢,退休时持有的仓位更高,这与设置的目标年化收益大小有关。再来看回测结果对比,当年化收益为10%时,不论是模拟的平均数还是不同分位数的情况下,年化收益均高于原模型,虽然最大回撤和波动率有所增加,但卡玛比率和夏普比率都有所提升。此外,我们还增加了目标收益8%的测试,同样也在各个分位数和均值上均优于原模型。表明10%的目标并非特例,根据目标收益进行双向反馈设置滑动路径的方法是有效的。

在对原始lyxor模型测试时,当输入的股票波动率不同,策略回测的收益、风险等指标也会有所不同,那么我们所测试的双向滑动路径的测试结果是否会因为输入的股票市场波动率不同而对结果产生影响呢?为此,我们选择了几组波动率与目标收益率参数,分别对波动率与目标收益率进行敏感性测试,为了对比方便,表中仅列出了模拟结果的均值和中位数。首先来看在波动率为26%的情况下,改变目标年化收益率设定,策略组合的年化收益率均有所提升,虽然波动率和最大回撤有所扩大,但是Calmar比率和夏普比率则有所提升。再看另外两种波动率情况下,年化收益率也均有所提升。表明双向下滑轨道的表现优于传统单向下滑轨道的结论并非特例,该方法确实是可用的。

综上所述,双向滑动路径对于传统下滑轨道的设计确实有所改善,虽然文中我们所作的只是简单的对比实验,简化了很多真实环境中的参数设计,现实中的设计可能会更复杂,考虑更多投资人的基本特征,但不妨碍双向滑动路径这一方法的有效性。随着人口老龄化的日益严峻,依靠政府财政的养老产业第一支柱逐渐力不从心,第二支柱和第三支柱力量的亟待发挥。未来,对养老产品的需求会日益增强,各方机构也会加紧布局,而有着一站式养老特征的目标日期型策略也将受到更多关注。

加载中...