新浪财经

如何根据不同的经济环境进行资产配置?

新浪财经

关注

来源:XYQUANT

导读

1、作为西学东渐--海外文献推荐系列报告第六十八篇,本文推荐了Antti, Ilmanen, Thomas等于2014年发表的论文《Exploring Macroeconomic Sensitivities: How Investments Respond to Different Economic Environments》。

2、投资组合的表现与宏观环境有着密不可分的关系,而宏观环境风云变幻,资产配置的难度随之加大。本文将直接的投资方式与不可投资的宏观因子联系起来,对不同宏观环境下资产组合和风格组合的表现进行了分析。

3、本文分别探究了传统资产(股票、债券和商品)与多空风格溢价(价值、动量、利差、防御和趋势跟随)在不同的经济环境(经济增长、物价水平等环境)中的表现,发现不同资产类别对宏观环境的敏感性不同,且风格溢价因子对宏观经济环境的敏感性要普遍低于传统资产类别的敏感性。

4、进一步,作者发现分散程度越高的投资组合对宏观环境表现出越低的敏感性,并建议投资者在构建投资组合时应该分散化投资以降低宏观风险敞口。

风险提示:文献中的结果均由相应作者通过历史数据统计、建模和测算完成,在政策、市场环境发生变化时模型存在失效的风险。

1、引言

越来越多的投资者开始将投资组合视为风险因子的组合。不同的投资者对于“基于风险的投资”持有不同的看法,但是大部分观点都在强调提高风险分散程度的重要性。尽管许多投资者将不同资产类别作为风险敞口,但也有投资者可能会考虑潜在的宏观经济敞口,比如通胀敏感性,可是后者的困难在于宏观经济因子是不可以直接投资的。

考虑到以上因素,本文为投资者提供了一种思维框架--如何将可投资的资产与不可投资的宏观因子联系起来。我们从经验数据来探索资产(传统资产多头的价格溢价与风格因子多空的风格溢价)对宏观风险因子(例如经济增长和通货膨胀)的敏感性。本文首先描述了投资者经常关注并使用的关键宏观经济指标,我们遵循早期研究中重点关注的经济增长和通货膨胀维度,并使用美国数据对其进行探索,之后又分析了另外三个维度:实际收益率、波动率和流动性。这样的宏观映射结果可以通过各种视角呈现,在本文中我们关注不同环境下夏普比率的变化,并在附录中补充了相关的统计结果。我们发现风格溢价对宏观经济环境的敏感性低于传统的资产,并且多元化的组合比单一资产类别或单一风格的投资组合更具有适应能力。

在展开本文的详细描述之前,我们必须指出这种分析方法的局限性。在一定程度上,任何结果都会受到样本周期的选择(本文为1972年至2013年)和方法选择的影响。此外,如果投资者希望将宏观环境分析用于战术择时,那么他们必须确保资产对宏观环境敏感性分析的正确性和对未来宏观环境预测的准确性。我们认为本文更有价值的应用是构建多样化的投资组合,以更好地应对意外的宏观冲击。

2、重要宏观因子的介绍

大家对于最重要的宏观经济指标各执己见,但传统的观点认为经济增长和通货膨胀对投资回报的影响最大。我们同意此观点并从这两个因子着手研究,进一步我们还研究了其他三种可能对投资造成影响的因子:实际收益率、波动性和流动性。尽管我们研究的是全球资产类别和风格的溢价,但是数据限制了我们只能使用美国宏观指标(我们可以追溯到40年之前),但是实际上这可能并不重要,因为美国经济在市场趋势中起着主导作用,尤其在最近的几十年中,美国已经占据全球资本市场规模的一半左右,其经济发展的经验也将影响其他国家。(俗话说,“当美国打喷嚏时,世界的其他地方都会感冒”)。

在构建宏观指标时,需要做出许多设计决策,每种构建方式也都有其优缺点。例如,经济增长可以通过市场中部分资产数据来描述,例如周期性产业或商品的表现,甚至可以使用股票市场收益率作为经济指标。但是,由此得到的高相关性和解释能力只能表明因变量和自变量的联系非常强而已。(比如用加拿大股市的收益率来解释美国股票市场表现是否有意义呢?)为了努力捕捉金融市场与宏观环境之间更深层的关系,我们选择使用经济数据,但是这种选择也有它存在的问题,特别是在时间的处理上,因为宏观经济数据是对过去的描述,其发布是滞后的而且会进行数据修正,而资产价格具有前瞻性。通过使用更长的时间窗口,我们可以减轻宏观数据发布滞后的影响以及前后视角之间的不匹配问题。因此,在整个分析过程中,我们使用同期的年度经济数据和资产回报率(季度观察值)。

图表1展示了我们选用的宏观指标,每个宏观指标均由两组数据合成,首先对每个观察值减去历史平均值并除以历史波动率,即进行z-score标准化。因为因子的处理不存在唯一且绝对正确的方法,所以取均值的处理方式可能会使结果更可靠并更加朴素。对于实际收益率、波动率、流动性指标,我们在两个序列中都使用了其绝对水平指标和变化幅度指标。每个指标所使用的数据如下:

1、经济增长:芝加哥联储全国活动指数(CFNAI)和美国工业生产增长速率的预期差。

2、通货膨胀:同比(YoY)通胀率和美国消费者物价指数(CPI)的预期差。

3、实际收益率:实际的长债收益率(十年期国债的收益率减去经调研得到的长期通胀预期数据)和实际的短债收益率(三个月国库券的收益率减去经调研得到的明年通胀预期数据)。

4、波动率:根据过去一年标准普尔500指数和十年期美国国债的表现所计算的股票和债券市场的波动率。

5、流动性:货币市场中的TED价差(TED价差是欧洲美元和国库券之间的收益率差(三个月期限),当市场对信贷风险的担忧上升或资金流动性状况恶化时,这种利差往往会扩大)和在成熟股市的价格冲击成本。

尽管经过标准化之后的宏观因子均值为零,但是我们发现标准化的经济增长指标为正的数量更多,这与部分时期的快速经济衰退相关(1974、1980、1981、1990、2001和2008年)。与之不同的是,其他宏观指标通常为负值(低于平均值),并且偶尔会出现急剧的上升峰值。因此,我们通过将因子数值与其中位数进行比较,将每个宏观因子所处的环境分为“向上”(up)和“向下”(down)两档,这样做是为了确保在我们所划分的两种环境中具有等量的观察样本。

3、资产在不同经济增长和通胀环境下的表现

在实际投资中,投资者可以选择一系列投资组合,在此我们专注于三种传统资产:

1、全球股票(以美元计价的MSCI世界指数)

2、全球债券(根据GDP加权的六种十年期政府债券)

3、商品(24种商品等资金加权的构建组合)

我们同时考虑了五种风格溢价的多空组合:

1、价值(根据基本面判断,做多便宜的资产,做空昂贵的资产)

2、动量(做多近期表现优于同类的资产,做空近期表现弱于同类的资产)

3、利差Carry(做多高收益率的资产,做空低收益的资产)

4、 防御(做多低风险的优质资产,做空高风险的投机性资产)

5、趋势跟随(做多近期价格上涨的资产,做空价格下跌的资产)

市场中性的风格溢价更难编制,尤其因为我们将这些溢价应用于众多资产类别中:股票选择、行业分配、权益资产、固定收益和货币资产的国别配置以及商品。在前四种使用广泛的风格组合中,无论是在股票选择还是在资产配置时均采用了等权的分配方式,均以10%的年化波动率为目标,并且我们不考虑交易成本或费用。

除了前四种市场中性的风格溢价外,我们还囊括了市场方向性的趋势风格,该趋势风格在主要资产类别中使用时间窗口为12个月的趋势跟随策略。从长远来看,这种风格几乎与股票市场无关,但在任何时间点上它的方向都是非多即空。

图表2使用宏观指标将不同时间段的宏观环境分为“向上”或“向下”两种状态,以便我们可以独立比较不同经济增长和通胀环境中的夏普比率(中间的两组柱状图),然后比较其交互状态时的夏普比率(右边的四根柱状图)。为了获得视觉可比性,我们对每种资产的Y轴使用相同的比例尺。通常,资产对宏观环境的敏感性通过同一行中(即在不同环境中)柱状图高低的变化来表示。

我们发现资产类别对宏观风险因子的敏感性比风格溢价普遍更为敏感(从图上可以看出从左至右移动时柱状图的变化更为明显)。上方的三张图表显示,每种资产类别都对特定环境有明确的偏好。具体而言,股票资产在经济增长的时候表现更好;债券在通货紧缩时表现更优;而商品在通货膨胀的环境下表现较好。当我们观察经济增长和物价水平的环境组合时,以上表现更加明显。当通货膨胀加剧而经济下行时,股票资产受到的影响最大;若经济上行且通货膨胀上升,债券受到的冲击最大。我们还发现债券和商品表现出特别相反的增长-通胀风险,考虑到商品的对冲通胀特征和债券的经济衰退保护特征,这也是有道理的。毫不奇怪的是,经济下行且通胀高企(滞胀)的宏观环境对大宗商品的表现是相对最好的。

受股票市场风险影响较大的投资组合可能会表现出与股票相似的宏观敏感性--具体来说,当经济下行且通货膨胀上升时,组合的业绩会受到影响(并且可能为负)。但是投资者若增加对债券和大宗商品的配置则可以使风险敞口更加均衡,这种方法能实现风险的分散化,也通常是风险平价投资者所追求的结果。

传统资产并不是投资者分散风险的唯一选择,风格溢价因子可能有更好的效果,因为风格溢价因子在各种宏观环境中的表现更加一致。尽管这些风格因子在学术界具有悠久的历史,但机构很少在建立组合时使用它们。我们认为它们理应占有一席之地,这五种不同的风格溢价在所有经济和通胀环境下均具有正的夏普比率(可以看出图表2对应的图中从左向右移动时柱状图的高度较为稳定)。

不同风格溢价因子的表现也不尽相同。价值和利差策略的表现和债券具有一定的相似性,在经济下行且通货紧缩的环境中表现出色。相反,动量策略似乎与大宗商品的表现更为相近,在经济增长且通货膨胀的环境中表现更好。然而,不同的风格溢价因子在不同的环境下表现区别并不大,并且在统计上并不显著。换句话说,我们没有极具说服力的证据表明在不同的经济增长和通胀环境中各个风格溢价因子的表现是不同的,它们的结果并不会随着时间的推移而发生明显的改变。

我们的重点是比较各种投资方式夏普比率的差异,而不是绝对业绩的表现。风格溢价因子比资产类别具有更高的夏普比率,部分原因是前者在各个成分之间的相关性较低(更好的多元化),而且我们没有考虑交易成本和费用。

需要强调的是,以上结果可能只基于本文的样本区间以及本文所测试的风格溢价和宏观环境。举例而言,在一个具有风格倾斜的多头组合中,宏观因子的敏感性可能更重要,这可能是具有市场方向性的。甚至在某些资产类别中,多空的风格溢价也可能比我们上文中分散化的风格因子更具有市场方向性,货币利差就是一个明显的例子。

4、经济增长和通胀以外的宏观视角

尽管经济增长和通货膨胀可能是最重要的宏观维度,但它们并非唯一。下面我们来分析另外三个维度:实际收益率,波动率和流动性状况。

图表3扩展了先前的分析,显示了这三种宏观风险因子夏普比率的变化。从前三行可以看出,股票对动荡的环境特别敏感,而债券在实际收益率上升时会遭受损失(显而易见);而商品受实际收益率、波动率和流动性环境的影响较小,这可能是因为商品是由多种资产合成的,在这里我们使用的是等权的投资组合。

关于风格溢价因子,动量似乎对宏观风险的敏感性最强。当波动率上升时,动量往往表现不佳,反之当波动率下降时表现非常出色。价值策略似乎对实际收益率变化和市场波动并不敏感,但仍然表现出对流动性的敏感性。即便如此,无论宏观环境如何,所有风格因子的夏普比率都是正的。

整体而言,无论是资产投资还是风格投资似乎都倾向于较低的波动性和流动性充足的宏观环境,而不是高波动且流动性差的环境。但是,在经济增长、通胀和实际收益率等宏观风险方面,风格溢价因子似乎具有明显的优势:它们表现出更具适应力的表现、较低的宏观经济敏感性以及容易获取更高的Alpha。

5、投资组合的应用

我们之前的结果表明,由单一资产或风格策略控制的投资组合更容易受到宏观环境的影响,组合投资可能是减少宏观风险敞口的有效方法。为了评估该想法,我们构建了三个简单的投资组合:全球60/40股债投资组合,朴素的全球风险平价投资组合,以及价值、动量、利差、防御和趋势跟随五个风格因子等权的投资组合策略(我们将此风格组合称为Style-5)。

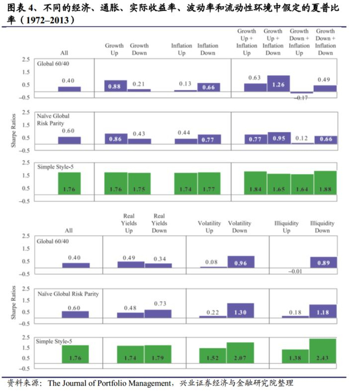
我们研究了这三种投资组合的夏普比率在不同宏观环境下的变化。和上文相同,直接对各个投资组合的夏普比率进行直接的比较可能会产生误导,因为若将交易成本和费用考虑在内会对风格因子组合的表现产生非常大的影响。所以我们致力于在不同宏观环境下对单个投资组合进行比较。图表4重点展示了投资组合对宏观环境的敏感程度,并为多元化投资组合占优提供了更多的证据。

5.1

资产类别分散化的优势

全球60/40投资组合在所有柱状图中的变化幅度是最大的,在经济下行和通胀上行的宏观环境中所受影响最大。考虑到投资组合集中了股票的风险,这些结果是非常直观的。从此处可以看到风险分散的优势,在不利的市场条件下,风险平价投资组合提供了更高的风险调整后收益,只有在经济上行且通货紧缩的环境中落后于60/40组合。当实际收益率下行,波动率上升或流动性收紧时,风险敞口更均衡的风险平价组合的表现要比60/40投资组合更出色。有趣的是,在此样本中,这两个投资组合在实际收益率上升的环境中具有相似的夏普比率。

5.2

风格溢价分散化的优势

多空风格因子的组合展示了更显著的分散化优势。(尤其价值和动量有一定的负相关性,因此分散化的优势将更加明显)。实际上,Style-5投资组合在不同宏观环境下的表现相差无几。换句话说,不管经济是上行或下行、物价是通胀还是通缩或其他环境,组合的平均表现都非常稳定。实际收益率也是如此,但是投资组合对波动率和流动性仍有一定的敏感性。

以上结果与我们的直觉是一致的,即分散程度最低的投资组合(在本例中为60/40的投资组合)对恶劣的宏观环境表现出最强的敏感性。同样重要的是,即使是多元化的多空投资组合(例如Style-5投资组合)在流动性充足的环境中将表现得更好,在流动性不足(甚至导致清算)的市场中会变的更加脆弱。

6、结论

在建立投资组合时,了解投资回报与宏观风险之间的关系可以提供额外有价值的观点。为了建立更稳健的投资组合,我们认为以下的重要发现对投资者是有意义的:

1、部分(恶劣的)宏观环境尤其具有挑战性。经济下行将对许多资产带来冲击,但是经济增长缓慢与通货膨胀、实际收益率、市场波动、流动性不足上升同时发生时,任何资产类别或风格溢价都很难使其能达到或者超越其本身的长期表现。

2、主流的资产类别对宏观环境的敏感性不同。股票和债券对经济增长的敏感性表现相反,以及商品和债券对通胀的敏感性表现相反。我们认为,寻求有效分散化投资的投资者应设法在长期投资组合中平衡这些敞口。

3、多空风格溢价通常具有较小的宏观风险敞口,这可以使它们成为有价值的分散化投资工具。在整个分析期间内,我们所有风格溢价策略在五种宏观环境中(无论是何种状态)均具有正的收益,在资产类别的分析中我们没有观察到这种现象。

4、分散化的投资可能会进一步降低组合的宏观敏感性。使用宏观风险敞口方向相反的投资组合在变化的环境中会表现得更加稳健。然而,这些投资组合并非完全独立于宏观风险因素,例如大多数投资组合在低波动且流动性充足的市场环境中表现将更好。

我们在此处记录的关系不是预测性的,因此对战术决策的作用不如战略决策。举例言之,虽然我们的分析可以帮助投资者建立不同宏观经济环境下均表现尚可的多元化投资组合,但预测宏观环境仍然是一个挑战。

尽管如此,我们相信这些发现对投资者而言是有价值的。由于投资者不能确定未来的经济环境,他们应该尝试为可能的情况准备投资组合。正如可以通过更好地分散可投资资产的风险来提高投资组合的表现一样,我们相信也可以通过更加均衡的宏观风险敞口来提高投资组合的表现。这种分散化投资组合的宏观补充视角可以帮助投资者更好的享受免费午餐。

7、附录

在本部分,我们将展示不同的投资方式与宏观环境之间的简单相关性和偏相关性,以及在不同宏观环境下各种投资方式的累计收益曲线。

7.1

简单相关性

图表5展示了不同投资方式每年的收益率与五种宏观环境以及全球股票的同期相关性。这是全局的相关性,并没有根据“向上”和“向下”对宏观环境进行状态的划分。结果告诉我们各种关系的大致方向,数据结果与本文正文中显示的结果是一致的。

7.2

偏相关性

图表6展示了八种不同的投资方式与宏观风险因子的偏相关性,在此我们将经济增长作为基础风险因子(鉴于该因子对投资组合整体的影响较大)。下图展示了哪些资产或策略更容易受到宏观环境的影响(即位于图表的边缘),哪些资产或策略的宏观风险敞口较低(即更靠近坐标原点)。不难发现,在下面4张子图中很难找到资产(或风格溢价)作为左上象限的投资。正如众所周知的滞胀一样,当经济下行时,实际收益率、波动率和流动性不足的上升也特别具有挑战性。

7.3

累计收益

最后,我们对不同投资方式的累计收益曲线进行分析。图表7展示了当经济或通胀指标处于“向上”状态(深色阴影)和处于“向下”状态(浅色阴影)时每种投资的累计收益曲线;换句话说,在某种状态下,一条收益曲线总是平坦的,而另一条则在不断变化中。使用这种方式展示数据的优势在于我们可以一目了然地看出长期结果是否稳定。

下图的左半部分展示了在不同环境下不同资产类别的累积回报,从图像可以看出各种资产均存在较大且持续的宏观风险敞口;右半部分显示了在不同的经济增长和通胀环境下,多空风格溢价的表现更为一致(无论环境如何两条线都向上移动)。

参考文献

[1] Amihud, Y. “Illiquidity and Stock Returns: Cross-Section and Time-Series Effects.” Journal of Financial Markets (2002), pp. 31-56.

[2] Asness, C., T. Moskowitz, and L. Pedersen. “Value and Momentum Everywhere.” Journal of Finance, Vol. 68, No. 3 (2012), pp. 929-985.

[3] Chen, N., R. Roll, and S. Ross “Economic Forces and the Stock Market.” Journal of Business, Vol. 59, No. 3 (1986), pp. 383-403.

[4] Doskov, D., T. Pekkala, and R. Ribeiro. “Tradable Aggregate Risk Factors and the Cross-Section of Stock Returns.” Social Sciences Research Network working paper series, 2013.

[5] Frazzini, A., and L. Pedersen. “Betting Against Beta.” Working paper, 2013.

加载中...