新浪财经

【华泰金工林晓明团队】不确定性与缓冲机制——华泰周期起源系列研究报告之五20200317

新浪财经

关注

来源:华泰金融工程

摘要

本文以库存为研究对象,解析企业行为的周期性

本文承接前期周期起源系列,以库存作为企业行为代表进行研究。库存是企业应对外部不确定时的一种缓冲机制。在传统以优化模型为代表的库存管理模型中,企业的进货行为呈现类周期性,在需求恒定时是稳定的周期。采用系统动力学对库存控制系统进行建模发现,振荡是一阶系统在应对外部冲击时的自然现象,二阶系统天然带有周期性。因此库存的周期性确实是广泛存在的。以此为例,周期性在企业行为中可能广泛存在。

企业在保持自身生存的情况下需要缓冲机制应对外部不确定性

在宏观国民经济循环流量图中,企业利用劳动、土地、资本等投入来生产商品和服务。企业可以抽象为一个输入为资本、土地、劳动等生产要素,输出商品或服务的生产函数。企业的目标是生存,需要保持自身产品销售与生产要素购买这个循环的畅通。但是经济系统中广泛存在不确定性,不确定性会给企业生产带来冲击。企业为了追求利润的最大化,保证生产循环的畅通,就需要与不确定性和谐共处。企业为了应对不确定性所必备的能力,可以称其为缓冲机制。缓冲机制是必要的,适当的缓冲机制可以保证生产的连续性,并且能够在一定程度上降低成本。

在传统以优化决策为核心的库存管理模型中,库存表现出了类周期性

库存是当供给和需求无法直接即时地匹配时一种良好的解决方案。传统的库存管理模型有EOQ模型、DEL模型和(q,r)模型等。在对库存模型的研究中发现:1、在恒定需求下,库存是稳定的周期;2、当需求周期性波动时,库存与需求耦合出新的周期;3、当需求无规律波动时,库存呈现出平均进货间隔稳定的类周期;4、当需求是随机发生无法预测时,遵循(q,r)决策过程的库存满足进货数量一致、平均进货间隔稳定的类周期。

系统动力学中的库存模型易表现出振荡,二阶模型有稳定周期

系统动力学是一门分析研究信息反馈系统的学科,其更关心系统的变化。利用系统动力学对库存控制系统建立模型并进行动态模拟发现:当需求发生冲击时,库存响应的形式为先振荡再衰减至稳定点,这表明在带有延迟的负反馈系统中,系统消化冲击的主要形式是振荡;周期性在系统中能够良好的传导;随机性在传导的过程中会被弱化。在二阶系统动力学模型中,如果存在一个正反馈和一个负反馈,系统在受到冲击后将表现出稳定的周期性。

微观个体周期可能是不确定性冲击在缓冲机制中的过滤与传导

企业可以抽象为利润最大化的生产函数,在企业内部,正反馈和负反馈都是同时存在的。例如,企业为了追求利润,有天然的涨价动机,价格的上涨会压抑下游需求造成销售量的下降,这是典型的负反馈。如果企业有较好的利润,就有更多的资本获取生产资料扩大生产,这是典型的正反馈。对于单一负反馈系统,外部冲击会导致系统振荡衰减;对于负反馈与正反馈同时存在的系统,外部冲击产生的振荡会被保存下来,系统以周期运动为稳态。同时,随机性在缓冲机制中会被过滤,周期性在缓冲机制中被传导,因此微观个体的周期可能是不确定冲击在缓冲机制下的过滤与传导。

风险提示:传统的库存管理模型和系统动力学模型都是对现实世界的简化,无法完备地刻画现实世界;周期规律基于历史总结,历史规律可能失效;周期规律是对市场长期规律的研究,无法判断短期市场情绪与政策冲击;市场在极端情况下会出现违背规律的交易风险。

企业行为是周期起源研究中的微小单元

在前期报告《从微观同步到宏观周期》中,我们开启了一项有趣而艰深的研究工作,借助于自然科学对复杂系统的研究,我们尝试探讨经济周期的来源。本研究系列的第一篇报告中,我们提出了系统能够诞生周期的四个可能条件:微观个体存在类周期行为、微观个体之间能够良好的交互、系统存在不确定性、存在能量的注入维持系统的运行。在系列的第二篇报告《周期趋同现象的动力学系统模型》中对这四个条件进行了验证,证明这四个条件对产生周期十分重要。四个条件中,第一个条件微观个体存在类周期行为是系统发生同步产生周期的基础。在经济系统中,企业是最重要的微观个体,企业既是生产者也是消费者,是成千上万个企业构建出了经济系统的基础设施,保障了经济系统的稳定运行。因此,在经济系统的研究中,企业也是最重要的微观研究对象。

在经济周期的研究中,库存周期是最基础的周期。基钦周期、朱格拉周期、库兹涅茨周期三大周期中,以库存为代表的基钦周期长度最短,在日常经济活动中最容易观测,与股票市场的方向也最为密切。同时,库存也是被投资者广泛认可具有周期性的宏观经济变量。研究经济参与者的微观行为,库存可能是一个比较合适的变量。同时,库存是联系生产和销售的中间变量,有关库存的决策能够反映出企业的微观行为,是企业一系列微观行为的代表。本文将尝试从库存出发,借助供应链视角对企业微观活动进行研究,探讨企业微观行为的周期性,以此继续我们的周期起源探索之旅。

系统动力学是美国麻省理工学院教授福瑞斯特于1956年左右为分析生产管理及库存管理等企业问题而提出的系统仿真方法,其建模过程借助于动力学方程。在系列的第二篇报告《周期趋同现象的动力学系统模型》中我们发现利用动力学方程能够在一定程度上模拟系统的周期同步现象。在库存管理领域,系统动力学建模同样能够很好的模拟库存控制系统各变量的时变关系,这是我们进行周期起源研究的

企业的行为以维持生存扩大利润为主要目的

企业的目标是生存,是保持生产结构的稳定

企业行为是本篇报告重点研究的基础单元。在宏观国民经济循环流量图中,企业利用劳动、土地、资本等投入来生产商品和服务。土地、资本、劳动作为生产要素归家庭所有,企业需要在生产要素市场向家庭购买,家庭则向企业购买商品和服务。如此形成了经济体的循环。对于单个企业来说,企业所有者更关心的是企业能否在生产要素市场获得生产所需的资料,同时在商品和服务市场,能够将生产的商品或服务销售出去。本质上,企业都可以抽象为输入为资本、土地、劳动等生产要素,输出为商品或服务的一个生产函数。企业的目标是生存,需要保持自身产品销售与生产要素购买这个循环的畅通,一方面需要卖出商品获取利润,另外一方面通过利润购买更多的生产要素。在与家庭发生资本交互的过程中,家庭整体的购买力是有限的,所有企业都在争夺家庭有限的购买力。企业争夺购买力获取利润保证自我循环的过程在市场经济中的表象就是谋求利润的最大化。

经济系统与生态系统类似,产业链上下游对生产要素需求不同

从企业生存的视角可以做一些有趣的类比,企业如同生物个体一样,生存是最核心的主题。经济系统和生态系统都是类似的复杂系统,系统中的个体存在多种交互关系,存在竞争与合作。企业上下游的产业链如同食物链一样丰富了整个系统。

虽然企业从经济循环流量图中都可以抽象为输入生产资料输出产品的函数,但是处于不同产业链上的企业对生产要素的需求不同。上游企业例如资源开采等行业更需要土地、资金等投入,服务业的核心是人力资源的投入。不同的输入输出带来了企业不同的周期表现。更需要土地等固定资产投入的产业可能更容易与建造周期相关;下游企业处于产业链末端、直接对接客户需求,可能更容易与库存周期相关;中游企业是加工制造的核心,可能更容易与产能周期相关。

在报告《市值因子与经济结构的关系中》,我们曾经提出供需失衡是造成企业周期的重要原因,由于处于不同产业链位置的企业调节供需失衡的时间长度不同,所以上游企业和下游企业会表现出不同长度的周期。从生产要素需求的视角来思考,企业调节生产自然需要调节生产要素的投入,若想增加输出,必然需要增加输入,而不同的生产资料获取的难度不同,表现出的现象就是调节供需失衡的周期不同。这与之前对周期的观察不谋而合。而供需失衡,实际上就是下面一章我们需要讨论的企业保持生产结构稳定所必须面临的挑战——外部不确定性。

保持生产结构的稳定需要解决外部的不确定性带来的挑战

不确定性在经济活动中普遍存在

不确定性是金融经济活动的常态,小到一个消费者的购买行为、大到一项科学技术的进步无不充满着随机性。因为随机性的存在才使得这个系统足够复杂与生动。不确定性的存在意味着企业的经营存在风险,你永远无法预知消费者的真实需求,事实上,可能消费者自己也无法准确了解自身的需求,很多消费者的需求是由生产者创造出来的。除了消费者需求的不确定性,供应链本身也存在很大的不确定性,你无法担保生产者的每一个产品都是合格的,也无法担保每一次物流都能准时到达,更无法担保生产设备不出现故障。企业的经营需要去应对这些不确定性带来的风险,尽量让不确定事件不会干扰到企业生产销售的自我循环,尽量减少风险事件对利润的侵蚀。

不确定性可以被度量

对于企业来说,随机性既是风险也是挑战。未来的不确定会对企业经营造成干扰,但是在不确定事件中处理得当也会获得超出同类企业的竞争优势。不确定性意味着无法准确预知,但不代表无法应对。随机性可以被度量,例如一个符合标准正态分布的随机变量,我们无法预知其准确取值,但是我们清楚地知道其落在正负1之间的概率为68.28%。在抛硬币试验中,下次出现正面还是反面我们无法预知,但是在足够多次试验之后,正反两面出现的次数将会大体一致。这说明单次微观随机事件无法被预知,但是多次类似事件的宏观特征可以被度量。

企业经营中需要构造缓冲机制应对不确定性

企业为了追求利润的最大化,保证生产循环的畅通,就需要与不确定性和谐共处。在不确定性可以被度量的情况下,可以有一些机制来保证企业不会因为大部分的不确定性打破生产循环。例如,单一消费者的需求发生时间是随机的,下游经销商需要保持一定的安全库存来匹配随时可能发生的需求;消费者对单一产品的需求随着时间可能发生改变,经销商需要引入库存调节机制来进行适当的匹配,当消费者群体的整体需求波动较大时,甚至需要生产者来调节产能利用率;同样,消费者的需求会升级,这需要生产者不断改进产品;另外,可能随时会有威胁企业利润的竞争者出现,这要求企业不停地自我更新、自我优化。

库存的调节机制、产能的调节机制、产品的更新迭代、自我管理优化都是企业为了应对不确定性所必备的能力,我们可以称其为缓冲机制。以库存为例,企业一般都有原材料库存和产成品库存,原材料库存与上游直接连接,产成品库存与下游直接连接。但两个库存与企业核心的生产结构是弹性连接,所谓弹性连接是指,外部的不确定冲击会直接反映在库存上,但是冲击会经过库存的消化缓冲,然后才会传导至生产结构。库存的结构能够对外部冲击起到一定的过滤作用,使得生产结构不至于直接被冲击,类似减震器的作用。

缓冲机制是必要的,适当的缓冲机制可以保证生产的连续性,并且能够在一定程度上降低成本。设想,如果没有库存在供给与需求之间进行缓冲,当需求发生的时候才开始生产,这种情况下单纯生产线不断启停的成本可能就会导致企业生产循环的崩坏。另一方面,过多的库存也是没有必要的,越多的库存自然能够更容易的应对外部需求,成本上却是企业无法负担的。一个汽车厂,如果保有未来10年的汽车需求库存,自然不会发生缺货的情形,然而巨大的储藏成本又会破坏生产循环。因此,企业经营往往就是在这种状态下寻求平衡,权衡利润与风险。

企业在面对外部风险时可能的决策过程——以库存为例

库存管理的实质:低成本匹配供给与需求

库存是当供给和需求无法直接即时地匹配时一种良好的解决方案。库存管理在企业管理中是一个非常重要的话题。实际上,库存管理的例子在我们身边比比皆是。家中的食品、日用品,办公室的打印用纸等都面临着库存管理的问题。因为他们都需要从商场购买然后储存在家中或者办公室等待被使用,我们不会等到使用时再去商场购买,这将使需求被迫延迟;同样我们也不会在家中购买大量蔬菜或者大量的洗洁精,因为储存会占用空间(成本),而且部分商品长期储存也会导致变质。是不是所有商品都需要库存?也不是,供给和需求能够即时匹配的商品就不需要库存,例如自来水和天然气。这两者都是通过管道直达每个家庭,需要使用时只需要拧开阀门即可,此时需求可以即时并直接地满足。实际上,在这种情形下,库存转嫁给了自来水厂和天然气供应商。另外一种极端的商品——电力也是没有库存的,这是由于这种商品的特殊性,不得不打造电网来即时性地匹配供给与需求。

对于无法直接即时地匹配供给和需求的商品来说,库存就类似这种“管道”,它连接了供给和需求,在一定程度上保证了需求满足的即时性。因此,库存管理的实质就是对供给和需求的匹配,搭建起两者之间顺畅的通道。但是通道都是需要成本的,否则我们可以仿照自来水或者电网对每种商品都搭建类似的网络,这种成本是社会无法负担的。库存管理的决策者需要在匹配供给和需求的同时,尽可能将成本压到最低。这是企业决策者在不同场景下面临的类似的决策情景:平衡效率与成本。

需求恒定下的单一库存模型

在库存管理模型中,最基础、应用最广泛的模型是经济批量订单模型(EOQ Model)。其将库存管理的决策抽象为目标方程的最优化求解问题。目标方程在1915年由哈里斯提出,1934年威尔逊将其引入市场。EOQ模型假设需求是固定不变的,其与时间呈现一个稳定的比例λ,也就是说在一段时间T内,发生的需求数为λT,同时,上游库存充足,向上游发出订单后一定能被满足。此情形下库存的变化如下图所示,库存随着需求的发生而均匀下降,当新订单到达时,库存发生跃变,随后继续稳定下降。从图中可以看出,库存管理的决策涉及到两个问题:1、每次订货量是多少?2、什么时间开始订货?

为了回答这两个问题,我们首先需要明确决策的出发点:第一,保证下游需求的满足,不能出现缺货的情况,也就是库存仅能瞬时为0,不能出现长时间为0的情况;第二,在满足第一条的前提下库存管理成本要最低。因此,我们需要解决的是一个带约束的优化问题。

EOQ模型中的成本与解的性质

简单的EOQ模型涉及到的成本有三个:

1)订货固有成本k:单次订货的固有成本,比如运输费、订单费、通信费等;

2)订货单位成本c:订货中与货物数量有关的成本,主要是货物的单位价格;

3)库存持有成本h:货物的仓储成本,与货物数量和时间相关。

在EOQ模型的假设下,模型最优解有两个性质:

1)新订单总是在库存即将为0的时刻到达;

2)每次订货的数量都是一样的。

我们尽量用通俗的语言来说明这两件事情。若有订单在库存还未到0时到达,考虑新订货策略,推迟订单到达的时间,在这段时间内,订货成本一致(订单量未变),但是库存成本下降(平均库存降低),显然新订货策略成本要低于旧有的订货策略,所以成本最低的订货策略一定是在库存即将为0的时刻,新订单到达。第一个性质回答了我们刚刚提出的订货策略中的第二个问题:什么时间开始订货?订货的时间点只需要保证订单会在库存即将消耗完的时刻到达即可。

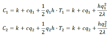
关于第二条性质,每次订货的数量都是一样的,可以借助于类似均值不等式来说明。考虑两个订货周期,分别订货q1和q2。我们计算这两次进货周期的成本。两次进货可以维持需求供应的时间T1和T2如下:

两个进货周期所耗费的成本C1、C2如下:

上式中,单次进货周期库存成本的计算为进货成本(k+cq)和库存持有成本(qh/2),单个周期中的平均库存为q/2。如此,我们需要考虑,在固有的时间长度T1+T2内,如何使C1+C2最小,时间长度固定的情况下,q1+q2为定值,只要通过均值不等式即可知,在q1=q2的时候总成本为最小。

EOQ模型方程与最优解

如此便证明了在需求稳定的情况下,最优的库存管理模式是定期定量进行采购,也就是订单是标准的周期行为。接下来,容易推导出库存管理过程的成本函数。库存管理的成本主要来源于两方面,一个是进货,每次进货都有一个固定成本和与进货量成正比的成本,另一个成本为库存的持有成本,与时间和库存量成正比。假设在一段较长的时间段T内,每次进货量为q,进货次数为λT/q,总成本为:

在理论推导中,一般假设T为一个非常大的值,这样使得T/q可整除,由于上式右边的两项都含有T,且与总成本是线性关系,所以只需要考虑单位时间内的成本C(q):

容易看出,上式是一个类双曲函数,最优点为:

EOQ模型的启示:需求稳定时库存一定是周期性的

EOQ模型的求解比较简单,但在EOQ模型的建模中,蕴含了一些有趣的推论。从EOQ解的性质来看,当需求稳定发生的时候,库存进货行为是标准的周期行为。这为从微观同步到宏观周期中的第一个条件提供了直接的证据。同时,这也值得我们思考,在经济社会中,是不是需求较稳定的行业更容易产生周期?直观印象中,周期行业都是传统行业,需求相对稳定,而新兴行业需求和供给变化都比较快,周期性不明显。这为解释不同行业的周期性又提供了一个新的视角。

EOQ模型中成本主要分为两部分,一部分是与进货次数相关的进货成本,一部分是与平均库存相关的存储成本。为了降低进货成本,则可以增加每次进货的进货量减少进货次数,但是进货量的增加则会导致平均库存的增加,进而使得存储成本升高。所以库存管理是均衡两个成本之后的结果。在EOQ模型中,仅有一个目标函数,没有约束函数,这是因为我们已经将约束带入到了目标函数中。所有库存管理的核心约束是库存不能低于安全库存,这里的安全库存可能为0库存,也可能为其他数值,甚至在允许一定程度的缺货程度下可以为负值。这个约束出现在解的性质中:新订单将在库存下降到0的时刻到达。因此,库存管理的核心就是在保证安全库存的情况下最小化成本。

时变需求下的库存模型

在需求恒定的情况下,EOQ模型能够很好地揭示库存管理的核心。此时,我们需要研究稍微复杂一点的情况,需求不是恒定的,会随着时间发生改变。时变需求下的模型比起恒定需求显然更符合实际情况。日常中,对于生活必需品的需求可能会接近需求恒定的理想情况,但也会在均值附近有微小的波动;对于服装类的需求会有显著的季节性效应;对于电子产品,会因为技术的升级而使得需求发生变化。

时变需求模型相比恒定需求模型稍显复杂,EOQ模型告诉了我们成本主要分为两部分,一部分是与进货次数更为相关的进货成本,另一部分是与平均持仓更为相关的存储成本。此时暂不考虑变化的随机性,假设需求的变化是完全可预测的,或者说是已知的。此时可以对库存管理模型进行离散情况下的动态建模,也就是动态经济批量模型(DEL)。这个模型是在EOQ模型的基础之上,将时间定义离散化,然后用函数表达出任意时刻的库存管理成本,之后求目标函数的最小值。此模型的优势在于,我们可以模拟出库存随需求变化的情形。

DEL模型的具体形式

DEL模型考虑在时间T内每一时刻的成本,模型中的每一个参数都可以是随时间变化的。因此EOQ模型中的成本参数k、c、h变为时间t的函数k(t)、c(t)、h(t),分别代表t时刻订货的固有成本、订货的单位成本和单位存货的存储成本。d(t)、x(t)、z(t)分别代表t时刻的需求、库存和订单量。如此可以用递推的情形写出任意时刻的库存量,从而得到整个区间的成本函数。

初始情形库存:

库存的动态递推:

库存和订单的基本约束:

需要最小化的成本函数:

其中δ(⋅)为符号函数,变量为正时取1,其余情况为0。在DEL模型下,一般假设T时刻没有订单,实际上,最优解将会在T时刻使得库存刚好为0。

当k(t)>0时,此问题为整数优化与线性优化的复合问题,较难求解。但是问题的解和EOQ中的解类似拥有一个较好的性质,即DEL问题解的形式应该满足:只有当x(t)=0时,z(t)>0。也就是在库存为0的时刻,订单到达。这条性质容易理解,因为在需求可预测的情况下,没有必要增加额外的库存成本。

DEL模型的迭代求解

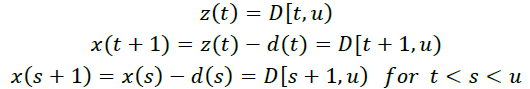
假设V*(t)代表0到t时刻DEL模型的最优解,那么问题转化为求解V*(T)。DEL模型求解的核心是找到最优进货点,每一个可行解都是一条由若干个进货点组成的路径。假设(t,u)代表一条路径,t时刻为订单时刻,且订单量刚好满足t时刻至u-1时刻的需求。令k[t,u)代表这个决策下的总成本,即t时刻至u-1时刻的总成本,D[t,u)代表t时刻至u-1时刻的需求。那么DEL模型中的变量满足:

上式的意义为:t时刻的订单等于t时刻到u-1时刻的需求,t+1时刻的库存为t时刻的订单减去t时刻的需求,其余时刻的库存为前一日库存减去前一日的需求。在此情况下,成本函数k[t,u):

其中c ̃[t,s)代表仅在t时刻发生订单持有至s时刻的成本,表达式为:

DEL模型迭代求解的向前算法:考虑s*(t)代表0到t时间内最后的进货时间,设s*(t)=s,那么V*(s)+k[s,t)=V*(s,t),找到最优的s需要计算V*(s,t)的最小值。

算法步骤:

令V*(0)=0

对于t=1,⋯,T:

s*(t)为达到最小值的最大的s。

DEL模型数值算例

依照如上的计算方法,我们可以模拟出随着需求的变化,库存整体的变化情况。我们分别考察四种情况:

需求恒定(检验EOQ模型与DEL模型的兼容性);

需求在均值附近微小波动;

需求在均值附近较大幅度波动;

需求以随机的形式发生。

四种情况中,暂时假设成本一致。成本参数统一设置为:k=50,c=2,h=1。

1)需求恒定时的库存变化

设定需求d(t)=1,此时DEL模型结果与EOQ模型结果一致,库存呈现10天左右的进货周期。这验证了需求稳定时库存的周期性。

2)需求小幅波动时的库存变化

设定需求d(t)=1+0.05×sin⁡(2π/30t),此时需求在均值附近小幅波动,且波动周期为30天,此时库存10天左右的周期略微被破坏,依然是10天进一次货,但是进货数量不再完全相同,同时出现了一个标准的30天的周期,这是因为30天刚好是库存原有周期与需求周期的共同倍数。试验表明,如果需求是25天的周期,结合后新的库存周期将会变为50天。这表明,库存存在一个固有周期,固有周期的长度与成本和需求的长期平均值相关,同时,需求的波动周期会叠加到库存周期上,形成一个新的周期。

3)需求大幅波动时的库存变化

设定需求d(t)=1+0.5×sin⁡(2π/30t),此时波动较第二种更为剧烈,最大波动是需求平均值的一半。此时,库存的原有周期被破坏的更为严重,不仅每次进货数量不再相同,且进货时间间隔也不再完全一致,但依然呈现了两种周期叠加的状态,最终形成了30天的周期。与前两种情形不同,在此情形下周期是在一段时间后开始稳定,也就是说需求大幅波动的情况下形成稳定的周期需要一定的时间。

4)需求随机变化时的库存变化

设定需求d(t)为随机变量,由于需求不能为0,因此假设d(t)服从只取正值、均值为1的截断正态分布N(1,1)。此时通过DEL模型计算出的最优库存没有稳定的周期规律,但是仍然呈现类周期的特征。此情景下进货间隔和进货数量都不稳定,但是整个区间平均进货间隔仍然在10天左右。这说明,DEL模型解的特点在进货时间上的周期性要强于进货数量上的稳定性,虽然完全随机的需求会打破稳定的周期,但是库存变化依然呈现类周期性。

随机需求下的库存模型

在EOQ模型与DEL模型中,都存在一个强假设:需求是可以被精准预测的。在DEL模型的数值模拟中,虽然模拟了需求随机变化的情形,但是需求的随机变化是可以被库存管理人完全预测的,即库存管理人清晰地知道下一时刻的需求具体是多少。而随机需求下的库存模型,指的是需求的发生带有随机性,库存管理人无法预知下一时刻的准确需求。在这种情景下,与EOQ模型和DEL模型不同,无法保证在库存恰好为0的时刻使新订单刚好到达。留有更多的安全库存是必要的。此时企业管理者必须对需求的不确定性进行管理。一种常见的做法是当净库存小于等于安全库存时向上游发起订单,货物将在L天后到达,安全库存的作用是尽量保证L天内不发生缺货的情况。

例如,假设一个产品的需求符合标准的泊松分布,令安全库存为5个单位,每当净库存小于等于5时向上游发出订单,每次订货20个单位,货物将在5天后到达,净库存和总库存的变化如图表17所示。图中有6个进货周期,四个进货周期没有发生缺货,两个进货周期发生了缺货现象。因此,大部分的随机需求下的库存模型重点在决策两件事情:安全库存是多少?每次进货量是多少?所谓的安全库存,又被称为进货点,常用r来代表,每次进货量一般用q来代表,这种库存管理模型被成为(q,r)模型,目标是确定最优订货批量q和再订货时间点r。此时的成本函数相比EOQ模型会多一个缺货惩罚项,目标函数的形式与EOQ类似:

其中(OF) ̅、I ̅、B ̅分别代表当需求是一个随机过程时,期望下的进货次数、平均库存和平均缺货。问题的求解需要对每种随机分布进行独立的数学推导。本文的核心关注点在于企业的决策过程以及决策的性质,我们在此不对推导过程进行详述。重点探讨(q,r)模型所代表的企业决策性质。

最优进货点r的选择本质上是风险偏好的表达。当进货延迟参数L确定时,L时间段内所发生的需求数量服从一个确定的分布,对于任意的r,都可以估计发生缺货的概率。相对较大的r,意味着企业管理者比较保守,不希望缺货的发生;取值相对较小的r意味着企业管理者接受一定程度的缺货,并愿意为缺货付出损失。在库存成本函数中,对风险偏好的刻画是缺货所带来的惩罚成本b。

最优的(q,r)决策和任意的(q,r)决策在我们所关注的周期性上,表现是一致的,即每次进货数量都相同,但是进货时间不同。进货时间取决于随机过程的一条路径,这条路径是无法预知的,但是路径的一些性质比如均值、方差等是可以观测和度量的,最优的(q,r)决策与路径性质有关而与具体路径无关。同样的(q,r)决策在不同的随机路径下最终表现出的库存曲线不同,但拉长时间来看,进货间隔的平均时间是稳定的,在固定的进货量q下与随机过程的均值成反比。此时,库存变化也是类周期的,因为库存的进货间隔均值长期稳定,每次进货量保持一致。实际中在金融经济活动中观察到的周期也是与此类似的,多轮周期长度的均值保持稳定,但是每轮周期的路径并不一致。在周期起源首篇报告《从微观同步到宏观周期》中,我们曾经提出“周期是不确定下的稳态”的思想,本质上周期的性质就像是一种随机分布的宏观特征,拥有确定性,周期的具体形式如同随机过程中的一条路径,拥有随机性。(q,r)决策下库存变化呈现出的类周期性就恰好表达了这种性质。

库存管理模型总结——库存类周期性广泛存在

如上我们分析了三种类型的库存模型:恒定需求下的EOQ模型、时变需求下的DEL模型、随机需求下的(q,r)决策过程。这三种类型的模型都证明了一个结论:库存管理中库存的类周期性广泛存在。不同情况下库存的类周期表现如下:

在恒定需求下,库存是稳定的周期;

当需求周期性波动时,库存与需求耦合出新的周期;

当需求无规律波动时,库存呈现出平均进货间隔稳定的类周期;

当需求是随机发生无法预测时,遵循(q,r)决策过程的库存满足进货数量一致、平均进货间隔稳定的类周期。

借助系统动力学研究库存管理中的时变规律

在随机需求的库存模型中,我们介绍了企业需要对需求的不确定性进行管理,需求的不确定性仅仅只是企业面临的不确定之一。在库存管理中,还有一个不确定性是运作周期的不确定性,这个不确定性指的是在补货过程中,无法保证产品到货始终如一,在(q,r)模型中,意味着到货延迟L是不稳定的,这将为库存管理带来新的变数。L的不稳定来源于企业上游供货方的生产不稳定或者是物流运输的不稳定。需求的不确定性和运作周期的不确定性是企业外部不确定性的两个核心表现,一个来源于下游、一个来源于上游。而且这种不确定会在供应链之间传导,一个企业的下游可能是另外一个企业的上游,供应链中一个环节的失效会导致整条供应链的危机。

在上一部分中,我们发现企业在应对需求的不确定时,常见的优化决策都会使库存呈现出类周期性。在本部分,我们更关心不确定性或者周期在供应链中是如何传导的。单纯从库存角度考虑,库存管理是一个优化模型,而且通常是一个静态模型,即根据面临的需求状态决定当下的抉择,目标是在维持安全库存的情况下尽量使库存成本最低。通过对库存管理整个过程的建模可以建立系统动力学模型,系统动力学建模更关心变量之间的反馈机制,研究的是系统的时变过程。库存的周期性本身就是一种时变过程,系统动力学建模能够更好地描述整个过程。

系统动力学(System Dynamics)是一门分析研究信息反馈系统的学科,也是一门认识系统问题和解决系统问题交叉的新型综合性学科。1956年系统动力学才正式出现,美国麻省理工学院教授福瑞斯特(J.W.Forrester)在分析生产管理及库存管理等企业问题的时候提出了系统仿真方法,最初叫工业动态学。随着这种研究方法的推广,系统动力学很快应用在其他社会、经济、生态系统等问题的研究中,不单单局限于工业项目管理领域,所以改名为系统动力学。20世纪70年代,福瑞斯特教授领导的研究小组曾经在多家公司和美国政府的资助下历时11年完成了一个方程数达4000多个的美国系统动力学国家模型,为解释美国的社会问题和经济问题提供了非常具有价值的结果。

库存管理的系统动力学模型搭建

系统动力学建模与传统的库存管理模型很大的区别就是,没有了批量经济的假设。在EOQ模型中,最重要的假设就是订单在达到一定规模以上最为经济,因此会有单次进货的固有成本,这也是EOQ模型命名为经济批量模型的原因。因为这个假设在传统的库存管理模型中,都会出现离散的进货行为。但是在系统动力学建模中,系统是动态的、连续的,进货行为也是一个连续过程,会在模型中以发货率的概念出现。系统动力学中没有成本,其关注的是系统的动态变化过程。

系统动力学认为系统的行为模式与特性主要取决于于内部的动态结构与反馈机制。常用两种图形来描述系统内部的因果关系和动态过程,前者被称为因果与相互关系图,后者被称为流图。以简单的库存系统为例,系统中的核心状态变量为库存,对下游的发货会导致库存减少,因此在因果关系图中“发货”连接到“库存”的箭头旁边有一个负号,代表发货对库存变量是负向影响,库存减少到一定程度会促使订货,因此库存与订货也是负向关系。订货会增加到达的货物,货物到达将使库存增加,因此“货物到达”连接到“库存”的箭头为正。期望库存是这个系统中的一个外部变量,期货库存的上升会引起订货量的增加。在简化版的流图中,变量只有三个:库存、订货率与发货率。流图描述了库存的过程:从某处订货再将货物发向某处,货物从何而来到何处去不是当前系统关心的问题,因此属于系统以外,在流图中用云状图形代表。

基于流图,可以直接写出库存系统的变量方程:

其中inflow和outflow分别代表系统的输入率(订货率)和输出率(发货率)。上式的实际意义是库存这个状态变量的值等于一段时间变化率的积分。积分方程也可以写为离散形式:

用大写的N代表库存,小写的i、o代表输入率与输出率,可以将上式写成微分形式的动力学方程:

在系统动力学的建模过程中,积分方程和离散方程较为常见,因为在模拟时更为方便。

系统动力学模型更关注系统的变化和变量之间的关系。系统动力学中的输出率(发货率)可以理解为传统优化模型中的需求。利用系统动力学模型也可以模拟不同的需求类型所引起的系统状态的变化。王其藩教授在《系统动力学》一书中,给出了一个简单的库存系统动力学模型,其形式如图表21所述,这是一个叠加了因果图的流图。这个模型用于模拟对发货率施加一个测试函数之后整个系统的变化。 

在这个模型中,引入了延迟的概念,订货率是发货率一定程度的延迟。当然从订货率到发货率,并不是直接延迟处理,中间有一些变量增加了从发货率到订货率的逻辑链条。实际上并不复杂,我们逐条分析从发货率到订货率的传导过程:

1、首先,在模型中,正常发货率(NSHIP)、期望库存覆盖时间(DIC)、延迟时间(DEL)、库存调节时间(IAT)、发货率平滑时间(TAS)都是模型中的常数;

2、实际发货率(SHIP)是正常发货率(NSHIP)与测试函数冲击(TEST)之和;

3、期望库存(DSINV)是期望库存覆盖时间(DIC)与正常发货率(NSHIP)的乘积;

4、库存调节率(INVADJ)是期望库存(DSINV)与当前库存(INV)之差,再除以库存调节时间(IAT);

5、平均发货率(AVSHIP)是发货率(SHIP)在发货率平滑时间(TAS)内的均值;

6、订货率(ORDERS)是延迟时间(DEL)之前的库存调节率(INVADJ)与平均发货率(AVSHIP)之和。

在这个过程中,可能容易迷惑的是库存调节率这个变量,实际上这个变量代表的是模型总是期望在库存调节时间内将库存调节为期望库存。基于以上的过程分析,可以写出这个库存管理模型的动力学方程,首先最主要的是库存这个状态变量的计算方程:

其他辅助变量的关系方程为:

其中Delay、Smooth分别代表延迟函数和平滑函数。构建此模型的目标是模拟在输入不同的测试函数的时候,系统状态变量库存的变化过程。本质上也就是下游需求的变化对库存的影响过程,系统中以测试函数的形式来进行表示。

对简单库存控制系统的数值模拟

基于对库存控制系统的建模,设定参数值:NSHIP=100,DEL=3,IAT=3,DIC=3,TAS=2,初始值INV(t0)=300。假设模型中的时间频率为周。

需求突变会使库存发生振荡

考虑测试函数为一个阶跃函数(分段函数),即从一个平台突然跃升为另一个平台,具体形式如下:

系统原本正常的发货率为100,在第二周突然变成110,发货率增加了10%,从模拟结果上来看,库存首先明显下降,在第7周达到最小值,发货率由于库存的负反馈开始上升,但是因为滞后性,与库存的下降节奏有一点错位,这种错位导致了库存回归期望库存之后继续上升,从而形成了一种振荡。

需求线性增长也会使库存出现震荡

考虑测试函数为一个线性增长的函数,斜率为10,与阶跃函数带来的冲击类似,库存首先会因为发货率的上升而快速下降,之后震荡回归定点。但是库存的恒定水平不在是300,而是下降到了150。

脉冲函数使库存震荡后回归定点

考虑测试函数是一个单点的脉冲函数,第三周为10,其余时刻为0,也就是发货率在第三周有一个单点的脉冲。脉冲函数同样造成了库存的震荡,在震荡三四个周期后基本回归定点。

周期会从需求传导至库存

考虑测试函数是一个周期函数,周期为20周,波动幅度为10,此时库存也将会呈现出一个周期性波动的状态。直观上这一点容易理解,库存的核心是匹配需求和供给,需求的周期性容易传导至库存上。

随机性需求会引发库存随机振荡

考虑测试函数为满足正态分布的白噪声,在此情况下库存也出现了类随机的振荡,但是经过库存控制系统的反馈调节之后,库存的振荡的无序程度要明显弱于需求,库存的趋势性更强,振荡周期更长。也就是说经过系统的反馈调节之后,需求的随机性在传导的过程中变弱了。这也真正体现了库存缓冲机制的作用,将随机性进行了一定的过滤。

系统动力学库存模型的模拟总结

如上一共测试了五种不同类型的测试函数输入,分别为阶跃函数、线性增长函数、脉冲函数、周期函数和随机振荡。在阶跃函数、线性增长函数、脉冲函数三种输入测试中,库存响应的形式均为先振荡再衰减至稳定点,这表明在带有延迟的负反馈系统中,系统消化冲击的主要形式是振荡。当输入为周期函数时,库存也表现出了标准的周期性,这表明周期性在系统中能够良好的传导。与周期性不同,随机性在系统中并不能良好地传导,随机性在传导的过程中会被弱化。这证明了类似库存等缓冲机制,在企业管理中确实起到了弱化冲击的作用。

简单库存控制系统本质上是一阶负反馈系统

库存控制系统中,当库存偏离期望库存时,库存调节率的存在会使库存朝着期望库存回归,这是一个典型的负反馈系统。简单库存控制系统中的状态变量只有一个,所以是一阶负反馈系统。系统的微分方程可以表示为如下的形式:

其中f表示变量为期望库存k减去当前库存x的时滞函数,g表示变量为发货率s的平滑函数。当库存x大于期望库存k时,f的值为负数,当库存x小于期望库存k时,f的值为正数,如此整个系统会催动库存朝着期望库存移动。这是系统的负反馈来源。

负反馈系统的特点是,能自动寻求给定的目标,未达到(或者未趋近)目标时将不断做出响应。由于系统存在一定的时滞,达到目标后由于惯性仍然会延续之前的运动方向形成新的偏离,于是系统呈现出振荡收敛的特征。现实世界中,系统可能会经常受到不同的冲击,这种振荡可能会持续存在。随机性的影响经过平滑函数后被过滤,周期性会被保留,这可能是库存系统总是容易呈现出周期振荡的原因。

二阶的库存-劳动力系统受冲击后产生周期

一阶自反馈系统在没有持续外部冲击的情况下总会收敛至定点。但是二阶系统则容易产生振荡的现象。在库存控制系统的基础上,增加一个状态变量劳动力,使产品的产量(原模型的进货率)与劳动力水平(雇佣人数)相关,库存水平影响劳动力的雇用率。所谓二阶系统,就是有两个状态变量。这里面,库存的升高会引起劳动雇用率的降低,使得劳动力下降,劳动力的下降会使得产量下降,从而库存也会出现下降。和一阶系统相比,二阶系统的反馈过程更长。在原一阶系统中,外部冲击会造成的库存下降直接引起进货率的上升,由于滞后性的存在,将会产生围绕稳定点的振荡,振荡会随着冲击的消失而逐渐衰减。在二阶系统中,这种周期振荡不会衰减。我们先从方程的视角了解这个模型。

二阶库存-劳动力模型的离散方程为:

上述方程所代表的意义为:

1、库存INV的变化等于产品产量PR与销售率SR之差;

2、产品产量PR等于劳动力WF与劳动生产率PPM的乘积;

3、劳动力WF等于纯雇用率HFR的积分;

4、纯雇用率FHR正比于期望库存DINV与库存INV之差。

当库存明显高于期望库存时,纯雇用率为负,这会导致企业减少劳动力数量;当库存明显低于期望库存时,纯雇用率为正,企业会增加劳动力的雇用。劳动力水平与产品产量直接相关。系统将呈现库存低于期望库存-纯雇用率上升-劳动力水平上升-产量增加-库存上行、库存高于期望库存-纯雇用率下降-劳动力水平下降-产量下降-库存下行的两条反馈回路。

在对系统进行模拟时,当SR为定值,模型初值INV=DINV,WF=SR/PPM时,库存与劳动力水平都不会发生改变,模型处于稳定状态,但是一旦销售率SR出现变化,系统将会呈现周期振荡的形式。看上去就像是一阶系统受外部冲击引起的振荡在二阶系统中被保存了下来。实际上,可以通过定性分析说明,库存-劳动力这个二阶系统受到外部冲击之后,无法回归静态的稳定点,受冲击后的稳态是周期。根据系统的设置,我们可以发现,当库存处于最低水平的时候,此时纯雇用率最高,纯雇用率是劳动力的变化率,也就是此时是劳动力增长速度最快的时候,当库存水平达到期望水平时,此时纯雇用率为0,是劳动力增长的拐点,也是劳动力最高的时刻,同时也对应着此时库存的上升速度最快。也就是说,库存的最低点对应着劳动力上升速度最快,劳动力最高点对应着库存上升速度最快,库存的最高点对应着劳动力下降速度最快,劳动力最低点对应着库存下降速度最快。两个状态变量刚好存在这90度的相位差。因此,冲击引起的振荡在这个系统中没有衰减,被完整地传导了下去,呈现出等幅振荡的特征,是标准的周期。

实际上,库存-劳动力模型的微分方程是一个典型的同时带有正负反馈的二阶微分方程,考虑产量和库存两个变量,方程可以写为如下形式:

其中产量PR是库存INV的负反馈,库存INV是产量PR的正反馈。在周期起源第三篇报告《周期是不确定性条件下的稳态》中探讨了动力学系统中的稳态:一维系统中,单一负反馈的系统在没有外部影响的情况下总会收敛于恒定点归于静止,单一正反馈的系统会发散导致系统崩溃;二维动力学系统的稳态若非定点,便是周期。周期是如上这个方程的稳定解。

基于如上的分析,我们可以猜想:对于一种缓冲机制,如果是一阶系统,在应对外部冲击时会出现减幅振荡的特征;如果是二阶系统,振荡特征将会被保存,呈现出等幅振荡的特征。类周期现象是广泛存在的。真实的经济系统是一个高维的复杂系统,包含很多种正反馈和负反馈的复杂结构,但是复杂系统在一定程度上也可以看做多个简单系统的复合。一阶系统和二阶系统在外部冲击后都会呈现类周期现象,而周期本身在反馈系统中能够很容易的传导。于是,单一简单系统产生的振荡周期会经过各种连接方式传播到整个系统中去。在经济系统个体之间的连接方式中,缓冲机制这种弹性连接是周期传导的一种“高速公路”。 

总结:周期可能是不确定性冲击在缓冲机制中的过滤与传导

本文关心的是微观个体周期的产生,从两种模型的视角对库存进行了建模,一种是关注成本的优化决策模型,一种是关注系统变化的系统动力学模型。两种模型都是对真实世界的简化,但是各有侧重。在优化决策模型中,模型给出的最优成本决策会使库存具有类周期性,周期性的需求也能够较好的传导至库存,随机性的需求会造成系统扰动,但类周期依然存在。在系统动力学模型中,下游需求的冲击会演变为库存的振荡,周期性需求能够顺畅传导至库存,随机性在传导过程中会衰减。更重要的是,二阶库存-劳动力模型中周期是应对外部冲击后的必然。

结合传统上对库存周期的研究,有理由相信库存的周期性是自然的。在存在批量经济的假设下,进货行为是一个类周期行为,在进货率连续的假设下,为了应对不确定的需求,库存振荡是一种常态。仔细分析库存模型,成本是优化决策模型中的核心关注点,一切围绕着成本最小进行决策,这突出的是企业效率。在注重效率的同时,要保证系统没有缺货的风险,这是优化决策模型中约束的部分。在模型中,成本最小是有限度的最小;在实际生产中,效率最高也是有限度的最高。效率与风险是企业进行决策时的一对矛盾体。因此,传统的库存模型可以理解为效率为目标、风险为约束的一个优化问题。效率的增加会带来风险的增加,对风险的关注将会降低效率来保障安全。

系统动力学中没有将成本作为观察目标,其关注的是系统的变化。在二阶库存-劳动力模型中,库存的减少会使劳动雇用率增加,劳动力的增加带来产量的上升,随之带来库存的上升。但是库存上升会导致劳动雇用率下降,进而带动库存下降。在这个模型中,库存和劳动力就是一对此消彼长的变量。A的上升带来了B的上升,但是B的上升会带来A的下降,这种正反馈和负反馈结合的系统,是周期性的一种天然来源。企业可以抽象为利润最大化的生产函数,在这个生产函数内部,正反馈和负反馈都是同时存在的。例如,企业为了追求利润,有天然的涨价动机,但是价格的上涨会压抑下游需求,造成销售量的下降,这是典型的负反馈。如果企业有较好的收益,就有更多的资本获取生产资料扩大生产,从而使收益进一步上升,这是典型的正反馈。对于单一负反馈的系统,外部冲击会导致系统振荡,但振荡会发生衰减;对于负反馈与正反馈同时存在的系统,外部冲击产生的振荡会被保存下来,系统将以周期运动为稳态。同时,随机性在缓冲机制中被过滤,周期性在缓冲机制中被传导,因此微观个体的周期可能是不确定冲击在缓冲机制下的过滤与传导。

参考文献

王其藩. (2009).系统动力学(2009年修订版).上海财经大学出版社.

Bowersox, J.Closs, Cooper. (2009). Supply Chain Logistics Management. The McGraw-Hill Companies, Inc.

Paul H. Zipkin. (2000). Foundations of inventory management. The McGraw-Hill Companies, Inc. 

风险提示

传统的库存管理模型和系统动力学模型都是对现实世界的简化,无法完备地刻画现实世界;周期规律基于历史总结,历史规律可能失效;周期规律是对市场长期规律的研究,无法判断短期市场情绪与政策冲击;市场在极端情况下会出现违背规律的交易风险。

免责申明

加载中...