新浪财经

深度解密IRR:看透数字背后的故事

新浪财经

关注

来源:好买臻财VIP

好买说

在国内,IRR最经常被LP用来评判一家股权基金的业绩好坏。直觉上,IRR高的基金回报好,IRR低的基金回报差,但事实并非一定如此。

 

 

“事物的现象是外在的表现形式,可能是正确的,也可能是歪曲的”,IRR有许多反直觉的性质。

 

下文好买基金研究中心梳理了股权基金业绩评估现状及多项评估指标的对比分析,希望能抛砖引玉,引发更多的思考。

 

 

01

为什么IRR是最常用的基金评估指标?

 

在国内,IRR最经常被LP用来评判一家股权基金的业绩好坏。

 

首先,IRR考虑了资本的时间价值,考虑基金整个生命周期的现金流;其次,股权基金的特点是前期现金流出多,后期现金流入多,利用IRR则会使收益率趋近于真实收益。最后,计算IRR的时期越长,其结果越稳定,这就意味着计算当期的结果和最终的基金收益之间的偏差较小。

 

举个例子:

 

以10年期股权基金为例,假设投资人认缴金额为1000,分三笔进行缴款,10年后,累计回款总金额为3000。

 

制图:好买基金研究中心

 

若基金整个生命周期实际发生的现金流如上图D列所示,计算出基金的IRR为21.04%;如若不考虑资本的时间价值,投资人初始本金为1000,10年后收到回款3000,计算出的年化复合收益率仅为11.61%。

 

股权投资区别于其他投资的特性在于,锁定资金长期流动性的同时,又释放部分流动性,在基金整个生命周期内不断有正的现金回流,提升资金使用效率。脱离资本的时间价值,去计算股权基金的投资收益,并不能体现股权基金的真实收益。

 

02

IRR究竟如何计算?

 

IRR是指在一定时期内,使投资和回报产生的全部现金流净现值(NPV)为零的折现率,考虑了资本的时间价值。IRR计算过程非常复杂,通过下列公式简单粗暴进行展示,其中:PVi为基金第i年的现金流,当现金流出时,PVi为负;当现金流入时,PVi为正。

 

 

在计算IRR时,首先必须获取基金整个生命周期的全部现金流,要使全部现金流净现值(NPV)为零,则必须有现金流出和现金流入,且第一笔必须是现金流出,否则便不能得出结果。

 

因股权基金前期只存在负现金流,并未有项目退出。故在实际操作中,为计算IRR,管理人通常将项目的公允价值提升作为现金流入。

 

03

IRR的反直觉特性

 

IRR有很多反直觉的性质,短期内快速增值的小项目IRR往往偏高,但其实赚钱并不多;真正赚钱的大项目因为投资周期长,前期投入大,计算出IRR往往偏低。

 

通常我们所见的IRR只是基金存续期内某个时间点的账面IRR,并非基于基金清算后的实际现金流计算的IRR。基金一旦出现明星IPO项目,账面IRR就会大幅提升,但在基金最终清算之前账面IRR都不是完全基于现金流计算的,只能作为参考。

 

举几个例子:

 

情形一

 

假设,基金同时投资项目A、项目B各100。半年后项目A增值至150,IRR为100%;三年后项目B增值至300,IRR为44.22%。

 

项目A的退出回报为1.5倍,项目B的退出回报为3倍,因为IRR的计算考虑了资本的时间价值,反而项目B的IRR比项目A低很多。

 

情形二

 

 

假设,基金总规模1000。半年后基金账面增值至1200,IRR为40%;三年后基金账面增值至2000(其中基金第一年增值300,第二年增值300,三年增值400),IRR为32.45%。

 

短期内,如有项目迅速获得后轮融资,基金账面增值,基金IRR就会大幅提升。几年后,即使基金账面获取更多增值,可能基金的IRR水平反而会下降。

 

情形三

 

 

假设,投资人同时投资基金A、基金B各100。基金A在2年后收回144,IRR为20%;基金B在1年后收回110,IRR为10%。2年后初始成本的IRR是多少?

 

两支基金合并现金流为(-200; 110; 144),计算出相应的IRR为16.70%,并非第一直觉的两支基金IRR的加权平均。

 

04

IRR与多项指标的对比分析

 

 

除了IRR之外,LP们重点关注的数值还有DPI、MOC、TVPI等。这些指标都是如何计算?哪些指标更具有效,更具优势?

 

投入资本分红率(DPI: Distribution over Paid-In)

 

DPI指基金的分配总金额(Distribution)和已缴资本(Paid-In)之间的比例,该指标是一个比较好的现金回报率指标。其中Distribution指股权基金的分配款;Paid-In指已缴资本。

在时间t,基金的已缴资本是PIt,基金分配的现金是Dt。一旦分配金额超过已缴资本,DPI就会超过1。

 

DPI和LP的利益有着更高的一致性。可以认为,DPI值越大,LP到手收益越多。基金成立初期没有任何分配,DPI为0;随着基金不断分配,DPI相应不断增加,DPI等于1时是投资的损益平衡点,代表成本已经收回;只有大于1时,才说明投资者获得超额收益,实现了财务回报。

 

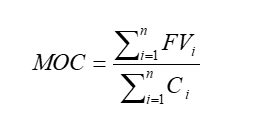
资本回报倍数(MOC: Multiple of Capital Contributed)

 

MOC指基金投资成本的公允价值与基金投资成本之间的比值。

 

FVi为第i个项目投资成本的公允价值,Ci为第i个项目的投资成本。当项目获取后轮融资,项目公允价值提升时,MOC就会超过1。

 

MOC就是我们平时经常看到的“某项目给某机构带来XX倍回报”,是一个简单粗暴的静态指标,能够一目了然投入成本翻了多少倍,不足之处是没有考虑资金的时间价值。应要结合IRR这个指标来使用,这样才可以更好的衡量投资回报水平。

 

投入资本总值倍数(TVPI: Total Value to Paid-In)

 

TVPI表示所有已缴资本预计可以获取多少回报,为基金总价值(Total Value)和已缴资本(Paid-In)之间的比值。

 

NAT为T时的基金净资产,在时间t,基金的已缴资本是PIt,基金分配的现金是Dt。

 

TVPI看上去更为直观,可以直接反映出基金整体的投资回报,但是它也存在一些缺点:因为基金承诺出资制的原因,TVPI公式中的已缴资本数仅仅是T时已实缴的部分,并非全部资本。此外,TVPI既没有考虑到资本的时间价值,也不是基于现金的度量。

 

05

如何最有效评判基金业绩?

 

财务数据是专业化、机构化的LP判断基金业绩水平最基础的硬性指标,但股权投资实操中状况永远比想象多的多。只有通过将数据指标和底层项目资产的实际发展情况相结合,形成一个全面立体的判断,才能揭开基金业绩的真实面目。

 

在对的时间遇见对的指标

 

现阶段,DPI正超越IRR,成为LP评判基金业绩时,更加关注的一项核心指标。一方面与经济形势有关,LP对现金回流的需求增大。另一方面,很多管理人在募下一期基金,有一个不错的DPI,LP才会继续跟投下一期基金。

 

实操中,仅关注于任一指标都无法真实评判基金业绩情况。在评估基金时,建议同时结合多种量化指标进行分析,针对基金的投资策略和所处阶段侧重不同指标,做到真正了解基金状况,以防被数据指标迷惑。

 

在基金成立的早期阶段,MOC可以简单直观的反应出已投项目的增值情况,便于查看已投入成本的账面增长倍数;此阶段如使用IRR作为评判指标,很可能出现高估的情况,基金有很大的可能性在短时间取得惊人IRR。

 

基金成立3-5年之后,基金由投资期开始进入退出期,IRR的计算考虑了资本的时间价值,更加关注投资的效率,IRR开始趋近于真实收益。

 

基金退出后期,DPI与LP的实际回款息息相关,是落袋为安的真实数字。但DPI的缺点在于,无法反映资本的时间价值和剩余未退出部分的项目估值情况。此阶段,注重DPI的同时,IRR和剩余底层资产质量也同样重要。

 

脱离底层资产的数据没有意义

 

数据指标是基金业绩外在的表现形式,可能是正确的,也可能是歪曲的。底层资产质量才是LP最终能否获取高回报的关键。

 

举个近期的例子:

 

今年6月,“跟谁学”登陆纽交所,成为国内首家规模盈利在线教育上市公司,发行价10.5美元;截至2019/9/19,公司股价为14.29美元,总市值33.58亿美元。

 

而上市之前,“跟谁学”于2015年2月完成投后估值为2.5亿美元的A轮融资后,再无后续融资,期间时隔4余年,并无任何账面增值。

 

市场上类似“跟谁学”这类的项目不在少数,DPI、IRR是LP对基金业绩的最直观感受,但不到基金最终清算结束,各项指标并不能完全体现基金最终业绩,LP一定要结合基金底层资产质量去评判。

 

市场上最头部的GP,有些8-10年DPI也没那么好,原因可能是基金对一些特别好的项目坚持拿在手中进行长期投资,而这些项目在未来可以带来超级回报。这种情况下,虽然基金DPI低,但LP也愿意等,因为底层资产足够好。

 

但如果基金为了追求高DPI,在存续期进入第4-5年后,即把基金能赚到钱的优质项目全部卖出。这样虽然可以给LP带来快速的现金回流,DPI大幅增长,但基金可能因此失去这些项目爆发式成长带来的回报空间,使基金失去长期投资的意义,导致最终的IRR没那么理想。

 

最后,只有通过将数据指标和底层项目资产的实际发展情况相结合,形成一个全面立体的判断,才能揭开基金业绩的真实面目。

 

 

 

加载中...