新浪财经

海通证券:基金业绩归因方法论综述

新浪财经

关注

来源:海通量化团队

业绩归因通常用于分析组合的收益来源,是投资经理进行策略评估与修正、投资者度量基金经理各方面能力的重要工具。本文主要对基金业绩归因的经典理论和方法进行梳理和总结,为投资者提供一个业绩归因的基础框架。

业绩归因方法简要回顾

业绩归因主要有两大类方法,基于净值的业绩归因和基于持仓的业绩归因。前者主要是对基金的收益率序列进行分析,而后者则是根据组合的实际持仓进行分析。

基于净值的业绩归因

基于净值的业绩归因是将基金的收益序列对风格因子进行时间序列回归,然后根据回归结果考察每种风格对组合收益的贡献,以及基金经理的主动管理能力(Alpha)对组合收益的贡献。这种方法所需数据较少且易于获取,一些金融服务机构,如晨星,一般会采用此类方法向投资机构提供净值分析的结果。

净值分析起源较早,Treynor和Mazuy(1966)提出的T-M模型,将基金经理的能力分为选股和择时两类。他们在CAPM的基础上,增加了市场风险溢价的二次项,并以二次项的回归系数代表择时能力,以整个模型的截距项代表选股能力。

Henriksson和Merton(1981)对T-M模型进行修正,将二次项改为市场风险溢价与虚拟变量(市场风险溢价大于0时,为1;反之,为0)的乘积,提出了H-M模型。类似地,虚拟变量的系数代表择时能力,而回归截距项代表选股能力。

Chang和Lewellen(1984)在H-M模型的基础上作了进一步修改,加入两个虚拟变量,得到基金在市场风险溢价大于0和小于0时的beta,并通过比较这两个beta的差值来分析基金的特点。

Sharpe(1992)通过一个二次规划问题估计基金的风格头寸,并首次提出基于风格分析来为每只基金单独制定一个业绩基准,以便更加精确地衡量基金经理的贡献。

在此之后,许多学者提出了与Sharpe的风格分析理念非常相似的业绩归因方法。即,用一系列风格因子解释基金收益。不同之处是他们采用了回归模型,而非二次规划。

Fama和French三因子模型(1993):市场因子、规模因子和价值因子;

Carhart四因子模型(1997):在三因子基础上增加了动量因子,适用性更广;

Fama和French五因子模型(2015):市场、规模、价值、投资和盈利;

Hou-Xue-Zhang四因子模型(2015):市场、规模、投资和盈利。

此外,也有学者提出对不同时段分别构建因子模型,得到随时间变化的因子敏感度。通过敏感度的对比来判断基金的投资风格是否出现变化,即风格是否发生了漂移。

基于持仓的业绩归因

归因基于持仓的业绩归因方法是对投资组合在不同时点上的实际持仓进行分析,并将其映射到不同风格中。经典的模型有Brinson绩效归因模型及其多期改进,以及多因子归因模型。

Brinson模型

Brinson模型最早由Brinson、Hood和Beebower提出,该模型从自上而下的角度将组合相对于基准的超额收益分解为资产配置效应、标的选择效应以及交互效应三部分。随后Brinson和Fachler将交互效应与选择效应合并,提出BF版本的Brinson模型。

基于业绩归因的连续性要求,通常需要将单期归因结果合并为多期。但从单期收益到多期收益需要考虑再投资的影响,而不是简单累加。为此,许多学者都对这个问题进行了深入研究,并提出了多种可由单期拓展至多期的归因算法。

Carino算法:通过引入因子,将原来的多期收益乘积关系转变为多期累加形式。基于此,即可将组合超额收益分解为效应相加形式。

超额收益分解算法:基本思想是将组合收益分解为超额收益及其产生的再投资收益。根据再投资收益的归因区间不同,又可以分为GRAP算法和Frongello算法。其中,GRAP算法将每一阶段产生的超额收益在后期的再投资收益归因到超额收益的产生阶段;而Frongello算法则将再投资收益直接归因到其实际发生的阶段,因此在做当期归因时,不会受到未来市场的影响。

概念组合:构建多期概念组合,将多期归因效应用概念组合复合收益率的差来表示。

在实践中,晨星风格盒子是Brinson模型最简单直接的应用。它根据规模和成长/价值两个维度,将股票分成9个资产类别(即Brinson模型中的大类资产)。在对基金进行分析时,先计算基金持仓组合的规模得分和价值得分,然后根据得分找出对基金影响最大的风格类别,并将其作为这只基金的投资风格。

多因子模型

基于持仓的多因子模型从自下而上的角度,将组合超额收益分解为共同因子收益部分和残差收益部分。残差收益部分代表了基金经理的选股能力,而共同因子收益部分则反映了基金经理的风格选择能力。和基于净值的业绩归因不同,这种基于持仓的多因子归因模型中,因子暴露是通过个股暴露加总得来,而不是通过回归估计获取。

基于持仓的多因子模型以Barra模型最具代表性。1975年,Barra公司推出美国市场第一个多因子风险模型——Barra USE1模型。随后的1985年和1997年,又相继发布了USE2和 USE3版本。USE3版本将股票收益拆解为行业因子、风格因子和特质因子三个部分,并于2002年升级,纳入每日因子回报。2011年,Barra使用新技术发布了USE4版本。新版本作了许多改进,如,引入国家因子,将纯行业影响从整个市场中分离出来,构建基于日线级别特殊收益的特殊风险模型等。

基于净值的业绩归因

模型介绍

基于净值的业绩归因是将基金的收益序列对风格因子进行时间序列回归,然后根据回归结果考察每种风格对组合收益的贡献,以及基金经理的主动管理能力。

基于净值的业绩归因通过时间序列回归,将基金超额收益分解为风格因子收益和特质收益两部分,后者一般被认为来自于基金经理选股和择时的能力。

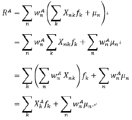
净值归因模型的一般形式为:

其中,Ri为组合收益,F1、F2、…、Fn为因子(各风格资产收益),bi,1、…、bi,j、…、bi,n为组合对因子的敏感度。ai+ei是不能为因子(风格资产)所解释的部分(non-factor)。

将基金的收益率序列对一系列因子运行上述时间序列回归,得到的因子系数bi,j即为基金在因子j上的暴露程度。将其与对应因子相乘,得到的bi,jFj为因子j对基金i的收益贡献;进一步除以基金收益Ri,即可得到风格j对基金i的收益贡献率。

上述模型中,常用的因子包括,市场收益、市值因子收益、估值因子收益、国家收益、行业收益等。在实际应用中,因子收益通常采用分散化的模拟组合进行估算。

例如,在Fama-French三因子模型中,市值因子SMB和估值因子HML是采用2*3分组取交集的方法获得。即,对于市值,以中位数为分界点,将全市场股票分为2组;对于估值,以30%、70%为分界点,将股票分为3组;然后取交集得到2*3=6个组合(如下图所示)。市值因子收益SMB即为3个小市值组合收益均值与3个大市值组合收益均值之差,估值因子收益为2个低估值组合收益均值与2个高估值组合收益均值之差。

净值分析仅需要基金的收益率序列,可以在没有具体持仓的情况下,对基金投资风格进行分析。因此,适用范围广,内外部人员均可使用。

在应用过程中需要注意的是,若因子之间存在较强的相关性,则在回归过程中容易出现多重共线性,导致模型无法识别出基金的实际风险暴露,归因结果失真。因此,在构建因子时,应尽量保证因子间的相关性处在一个相对较低的水平之上。控制相关性的方法通常有两种,一是构建多空组合以剥离市场因素的影响,二是通过回归剥离共同因素的影响。

模型应用示例

本文以基金A为例,对常用业绩归因模型的应用方法和结果进行演示和说明。基金A的投资目标是在控制跟踪误差的基础上,采用量化方法对基准指数进行增强。按照基金契约,股票资产的投资比例不低于基金资产的90%,基准指数指数成分股和备选成分股的资产不低于股票资产的80%,投资范围不包括股指期货品种。

采用基金收益率序列对因子进行回归,可以得到基金相对于基准指数的行业和风格暴露,具体结果如下图所示。

由上图可见,该基金在行业上的控制非常严格,相对于基准指数没有明显的偏离。若从显著性的角度考虑,仅在非银和银行两个板块上存在轻微的低配,在建材上存在轻微的高配。由此推测,该基金在构建投资组合时,可能采取了行业中性的处理方法。

从风格角度来看,该基金相对基准指数存在明显的小市值偏离,但在估值/成长维度上的偏离并不显著。此外,该基金还在盈利与增长两个基本面因子上有非常明显的偏离。

下图展示了基金A近5年的业绩归因结果,其中,黑色柱状图为基金收益,由各因子的贡献(蓝色柱状图)和Alpha(红色柱状图)组成。

除市场因子外,该基金最主要的收益来源是风格因子中的小市值和基本面因子中的盈利与增长,而行业因子几乎不存在明显的收益贡献。按照净值归因模型的定义,因子贡献以外的剩余收益即为基金Alpha,是基金经理通过选股与择时获取的收益。

下图展示了该基金近3年的业绩归因结果。从中可看出,最主要的因子收益来源仍然是小市值、盈利和增长。此外,该基金近三年的剩余Alpha进一步提升,足见基金经理自身管理能力的贡献在基金超额收益中的比重越来越大。

基于持仓的Brinson模型

Brinson模型是业绩归因的经典理论和方法。该模型根据实际持仓自上而下地对组合超额收益进行分解,与实际投资联系紧密,具有直观准确的投资意义。而且,模型对输入数据的要求也不高,只需组合和基准在各大类资产上的配置权重及对应的收益率。故Brinson模型在组合绩效评价领域中,得到了广泛的应用。

Brinson模型主要有两种版本:BHB模型以及BF模型。BHB模型将超额收益分解为资产配置效应、标的选择效应以及两者的交互效应三部分;而BF模型将超额收益分解为资产配置效应和标的选择效应两部分。

需要注意的是,在考察配置效应时,Brinson模型由于对资产采用了定性分类法,因而存在天然的缺陷。即分类维度过高时,处理难度会呈几何倍增长。因此,该模型更适合在较低的分类维度下应用。

单期Brinson归因模型

假设组合中共有I类资产,如,股票、债券、行业(或风格)、基金、衍生品等。以

表示实际投资组合中大类资产i的权重,

表示基准组合中大类资产i的权重;

表示实际组合中大类资产i的收益率,

表示基准组合中大类资产i的收益率。Brinson模型的收益分解过程如下图所示。

上图共设有4个概念组合。其中,Q1代表基准组合,Q2代表基金资产配置组合(大类资产配置权重与基准不同,而大类资产内部的证券标的与基准相同),Q3代表积极选择组合(大类资产配置比例与基准相同,而大类资产内部证券标的不同),Q4为实际投资组合。

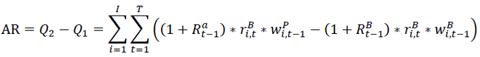
实际投资组合相对于基准的超额收益记为

,按照定义有

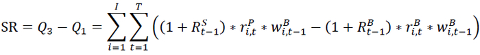
。基于上述4个概念组合可以将超额收益分解为大类资产配置收益(Allocation Return,AR)、选择收益(Selection Return,SR)和交互收益(Interaction Return,IR),即

由以上定义可知,

配置效应(AR)= 超额权重*基准资产收益率,是在不进行证券选择的情况下,通过积极的资产配置,即超配具有正收益、低配具有负收益的资产所能获取的收益。

选择效应(SR)= 基准权重*资产超额收益,是各大类资产配置比例与基准相同,通过在每类资产内部进行积极的证券选择所能获取的超额收益。

交互效应(IR)= 超额权重*超额收益率,是投资组合在资产配置和个股选择逐层归因后的剩余部分。

对于股票型基金,可以将行业定义为资产类别。在这种情况下,配置收益AR表示通过超配收益为正、低配收益为负的行业所能获取的超额收益。选择收益SR表示在行业中性的情况下,通过行业内部的个股选择所能获取的超额收益。交互收益IR则是剩余收益部分。

此外,也可以将风格定义为资产类别。例如,晨星风格盒子就是将基于规模和价值划分的9个风格作为资产类别。

以上是Brinson模型最基础的形式,也称为经典版BHB模型。但是,该模型在实践中却存在一些不合理之处。

首先,该模型配置效应为,即通过超配上涨资产(或行业)、低配下跌资产(或行业)即可获取资产配置收益。但实际上,我们通常认为,超配涨幅超过基准总收益的资产类别、同时低配涨幅小于基准总收益的资产类别,才应是资产配置能力。所以,在配置效应上,基础Brinson模型的定义并不十分合理。其次,BHB模型中交互效应的概念相对模糊,很难从实际投资层面对这部分收益进行解释。

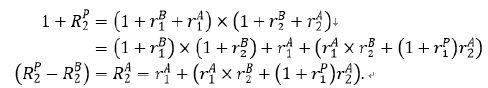
基于此,Brinson和Fachler提出了改进版的Brinson模型——BF模型,这也是在实践时经常使用的版本。

相比于BHB模型,BF主要有两个方面的变化。首先,BF模型增加了基准对资产配置效应AR的影响,即AR变为:

从资产配置总效应角度来讲,BF归因模型与BHB归因模型是相同的,两者的区别主要体现在具体资产(或行业)收益贡献的计算上。

其次,BF模型还将BHB模型中的选择效应和交互效应进行了合并,得到了新的选择效应。

可见,BF模型将投资组合的超额收益分解为配置效应AR和标的选择效应SR两个部分。

Brinson归因采用的是一种自上而下的方式,即第一层归因是将整个组合作为研究对象,从资产配置角度分析组合收益来源。第二层归因则是将大类资产内部的具体证券标的作为研究对象,考察个股选择的收益贡献。在实践中,许多投资经理也常常会采取自上而下的方式进行投资。例如,先判断未来每个行业的景气程度,然后再在行业中选择有代表性的优质公司构建组合,与Brinson模型自上而下的分解思想一致。

多期Brinson归因模型

单期Brinson模型对某个特定时期内,基金的业绩进行了有效分解。但实际的投资组合评价过程中,往往需要对一只基金在多个时间段内的整体业绩表现进行归因,这就需要将模型由单期拓展到多期。

从单期归因到多期归因需要考虑再投资的影响。组合T期的累计收益并不是简单的单期收益加总,而是经过前期累计收益放缩后的单期收益之和,即

其中,

为组合在第t个子期间的收益。因此,业绩归因也并不是将每个子时段的归因效应简单加总,而是需要通过适当放缩来达到目的。

常用的多期归因模型的基本构建思想主要有以下两种。

第一种是将各个概念组合的累计收益率作为各自绩效的放缩因子,例如AKH算法。具体分析框架如下图所示。

其中,

分别是基金实际投资组合(Q4)、积极资产配置组合(Q2)、积极选择组合(Q3)和基准组合(Q1)前t-1期的累计收益率。

与单期Brinson模型类似,资产配置收益AR为

标的选择贡献SR为:

剩余部分Q4-Q2-Q3+Q1即为交叉贡献IR。

第二种是将每期的超额收益分解为前期超额收益投资于基准的再投资收益,与前期累计收益在当期的超额收益之和。

考虑一个2期的投资过程,以表示基金在t期的超额收益,有

由上式可知,对于一个只有2期的投资过程而言,整个投资过程的超额收益可以分解为每一期经过调整后的超额收益之和。而这个超额收益又由两个部分组成,一是前期超额收益在当期投资于基准的再投资收益,二是该期初始投资额,即前期累计收益,在当期的超额收益。

第1期由于尚未累计超额收益,因此第一部分为0;第二部分则是初始投资额在该期的超额收益。第1期的初始投资额为1,因此这一项为

。于是,第1期的调整超额收益即为

对于第2期,由于前期的超额收益为

。另外,第2期的初始投资额为

,其在第2期可获取的超额收益为

。因此,第2期的调整超额收益为

由于每种归因效应都可以理解为一种超额收益,因此根据上述推导,我们可以对各期的原始归因效应按照如上方式进行调整,则整个期间的累计归因效应即为各期调整归因效应之和。其中,调整的归因效应是前期累计投资额与当期归因效应的乘积,加上前期累计归因效应再投资于基准的当期收益。

若以

代表第t期Brinson单期模型得到的归因效应(例如,对于BF模型,归因效应为资产配置效应AR和标的选择效应SR;对于BHB模型,则除这两个效应外,还包括交互效应IR),则经过调整后的t期归因效应为:

简单加总各期调整后的归因效应,即可得到整个区间的归因效应。

模型应用示例

对于基金A,我们分别根据季报(仓位)、半年报(行业和个股,其中行业采用中信一级分类)披露的持仓数据,计算其资产配置和行业配置的比例。并假定相邻报告期之间,持仓比例是均匀变化的。下表给出了Brison模型的归因结果。

由上表可见,资产配置对基金A超额收益的贡献很低,应当是由于该基金一直以来都保持着较高的权益仓位。虽然通过行业配置获取了一部分超额收益,但基金A的主要收益来源还是个股选择。由于Brinson模型将管理费、交易费等成本均归入了个股选择收益,因此,我们认为,个股选择对该基金超额收益的实际贡献应该更高。

下图进一步展示了基金A的超额收益及其中资产配置贡献、行业配置贡献和个股选择贡献的历史表现。

基金A相对基准的超额收益自2014年下半年起,便开始稳步上升。期间即使遭遇小幅回撤,也能迅速恢复并再创新高。根据Brinson模型的归因结果,紫色曲线代表的个股选择贡献是该基金超额收益的主要来源。其中,2015年年中至2016年年中以及2017年6月至7月,是贡献最大的时期;行业配置的贡献主要发生在2014年年末至2015年年中及2017年7月以来;而资产配置的贡献在整个区间内都极其微弱。

下图进一步给出了该基金的行业配置变化。

整体来看,基金A存在一定的行业偏离,具体表现在长期低配非银金融、国防军工、医药、有色金属、计算机和电力及公用事业这几个行业。基金A长期超配的行业较少,更多地体现出了优秀的行业轮动能力。

例如,2017年以来,食品饮料行业表现突出。而根据上图的分析显示,基金A自2017年中报后,便已及时地将食品饮料行业由低配转为超配。又如,电子行业在2017和18年的表现大相径庭,而基金A在其上的超配幅度也保持了相同的变化方向。2017年,行业表现优异,当年中报显示,该基金已将电子行业从前期的低配转向超配。进入2018年后,电子行业整体表现低迷,超配幅度也随之大幅降低。

若考虑行业超低配的贡献,则可以发现,长期低配非银金融为基金A带来了较高的超额收益,低配国防军工和超配建材、银行的贡献次之。但是,对医药行业的低配,则使基金A原本可以更优秀的业绩略有失色。

基于持仓的多因子归因模型

Brinson模型对组合超额收益的分解简单直观,与投资逻辑紧密相连。但由于模型采用的是交叉分组的方法,在分类变量较多时,容易产生“维数灾祸(dimension curse)”,因而在实际使用中存在一定的局限性。此时,多因子模型便是一个很好的替代者,它可以方便地实现多维度、多层次的归因。

多因子模型将组合收益分解为共同因子收益和残差收益两部分。其中,残差收益代表基金经理的选股能力,而共同因子收益则反映了基金经理的风格选择能力。

在基于持仓对组合进行多因子模型归因时,所需的数据是组合的因子暴露和因子收益。其中,前者可直接由所持股票的因子暴露求得,后者则往往通过横截面回归估算。即,将全样本股票对标准化后的因子进行回归,将因子的回归系数作为因子收益。

基于风格的多因子归因模型

在基于风格因子的归因模型下,股票收益是公共因子收益与残差/特质收益之和。

其中,

为股票n的收益率,

表示股票n在风格因子k上的暴露。通过横截面回归即可求得风格因子k的收益率,以及股票n的残差/特质收益。

为降低模型的估计误差,通常采用加权最小二乘法(WLS)估计回归系数。在实践中,常以市值的平方根为权重。若记W为权重矩阵,因子收益可由如下解析表达式求得。

根据多因子模型(1),组合的超额收益率可以分解为:

其中,

是股票n的积极权重,即实际组合中的权重与基准组合中的权重之差。是组合对因子k的积极暴露,即

由上式可知其中,组合的超额收益可以分解为因子的积极配置收益与特质资产选择收益两部分。其中,对于任意因子k,组合对该因子的积极配置超额收益为因子收益fk与积极暴露

之积,即

。特质资产选择收益是组合对每只个股的积极配置权重与个股特质收益乘积之和。

上述分析表明,组合的超额收益来源于对正收益因子的积极暴露和对正特质收益个股的积极配置。

基于风格和行业的多因子归因模型

在同时包含风格(连续变量,

)和行业(虚拟变量,

)的多因子模型下,股票收益可以表示为:

风格因子为连续变量,回归前需标准化,使所有股票风格因子的市值加权均值为0,标准差为1。行业因子为0-1变量。由于每只股票必然属于且仅属于某一行业,即个股在所有行业因子上的暴露之和恒等于1。因此,模型包含截距项时会产生完全共线性,导致最优解不唯一。为避免这种情况,通常会增加一个约束条件。例如,Barra模型将行业因子的市值加权收益设为0,即:

其中,

为行业i所有股票的市值之和与全部股票市值之和的比值,即行业i的市值占比。

对于同时包含风格(连续变量)和行业(虚拟变量)的多因子模型,因子收益率为如下二次规划问题的解。

上式中,

为单只股票n的回归权重,通常设为市值的平方根。

求出因子收益和行业收益后,即可将组合超额收益分解为行业收益部分、风格因子收益部分和特质收益部分。

模型应用示例

我们根据基金A半年度公布的持仓数据,测算其在以下几个因子上的暴露。

市值(size):股票的总市值。

市净率(PB):反映了股票估值水平的高低。

市盈率(PE):反映了股票估值水平的高低。

盈利收益率(Earning Yield):由净资产报酬率、预期净资产报酬率和现金收入比等指标加权而成,综合反映了公司的盈利能力。

增长率(Growth):由公司收入增长率,净利润预计增长率等指标加权而成,反映了公司业绩在未来的增长潜力。

系统性风险(Beta):个股收益对全市场市值加权组合收益的回归系数,是个股对市场波动的反应灵敏度。

波动率(Volatility):由个股股价的振幅、收益波动率等指标加权而得,反映了个股的风险。

动量(Momentum):将个股过往的收益用指数衰减法进行加权,反映了股价在过去一段时间的趋势。

流动性(Liquidity):由个股过去一段时间的换手率加权而得,反映个股交易活跃度。

在计算因子暴露时,为解决量纲不同和指标稳定性等问题,我们将个股的因子值先转化为它在同期全部A股中的分位点,再按照持股比例计算组合整体分位点,以此代表组合的因子暴露。

由下图可见,根据多因子归因模型,基金A在各因子上的暴露展现出以下特征。

(1)     在两个与风险相关的因子(系统性风险和波动率)和两个技术因子(动量和流动性)上没有稳定的暴露,大体围绕基准上下波动。

(2)     在市值上有持续的负向暴露,即偏好市值小于基准的个股。

(3)     在PE上的暴露始终小于基准,在PB上的暴露则没有明显的规律。

(4)     在基本面因子上的暴露明显且稳定,体现为在盈利和增长因子上的暴露一直高于基准。

上文中,我们通过基于净值的时间序列回归发现,基金A的超额收益主要来自市值、盈利和增长三个因子。此处,通过基于持仓的多因子归因模型也得到了相同的结论。在实际应用中,投资者可根据所能获取的数据类型挑选相应的方法。

总结与讨论

基金业绩归因主要有两大类方法:基于净值的时间序列回归法、基于持仓的横截面分析法。其中,基于持仓的业绩归因主要包括Brinson模型和多因子模型。

基于净值的时间序列回归法,将一段时间内基金的超额收益分解为风格因子收益和特质收益两部分。后者一般被认为来自于基金经理选股和择时的能力。净值分析所需数据少,操作简单,适用范围广。在使用过程中,需注意因子的多重共线性,若因子间相关性较高,容易导致结果失真。降低相关性的方法主要有两种,一是构建多空组合,二是通过回归进行正交处理。

基于持仓的横截面分析法是对投资组合在不同时点上的实际持仓进行分析,并将其映射到不同风格中。持仓分析包含更多信息:同时派出了基金大额申购、赎回等对基金的干扰。但需要基金的具体持仓,数据获取难度大。对于外部投资者而言,只能根据较低频的数据在一定假设条件下进行归因分析。

Brinson业绩归因模型采用自上而下的方式将超额收益分解为配置效应和选择效应。它的优点在于归因过程与实际投资逻辑紧密相连,易于理解。

基于持仓的多因子模型采用自下而上的方式将组合超额收益分解为风格因子的积极配置收益与特质资产选择收益两部分。这种方法可以方便地将超额收益进行多维度归因。

下表总结了各种基金业绩归因方法的基本特征与优缺点,以备投资者查询与对比。

风险提示

模型误设风险、因子失效风险、基于历史数据的业绩归因不能代表基金未来的投资业绩。

 

加载中...