新浪财经

10月1日起,上海这些“禁用区”对高排放非道路移动机械说不!

上观新闻

关注

10月1日起,上海这些“禁用区”对高排放非道路移动机械说不!

摘要:违规者可处每台1000元罚款。

 

对于排放尾气超标的高污染非道路移动机械,上海下了“最后通牒”。

 

上海市生态环境局今天宣布,根据《上海市人民政府关于划定高排放非道路移动机械禁止使用区的通告》,今年10月1日起,外环线(含)内区域禁止使用国一及以下标准的非道路移动机械。

 

考虑到这是上海首次对非道路移动机械进行管控,将适当给予一定的缓冲时间,分为两个阶段实施。

 

第一阶段自今年10月1日起,外环线(含)内区域禁止使用国一及以下标准的非道路移动机械,所有机械排放应同时满足《非道路柴油移动机械排气烟度限值及测试方法》(GB 36886-2018)中的Ⅲ类限值要求。

 

第二阶段自明年10月1日起,外环线以外区域禁止使用国一及以下标准(2009年10月1日前生产)的非道路移动机械。

 

自5月1日起,上海已陆续开展非道路移动机械申报登记和标志核发的工作。根据规定,在用的机械必须在今年9月30日前完成申报并“上牌”,新购机械也要在规定期限内完成申报。

 

机械所有者可根据市生态环境局配套出台的《上海市非道路移动机械申报登记和标志管理办法(试行)》,在“上海市非道路机械管理平台”上或到各区指定办事窗口进行申报登记,领取识别标志。

 

市生态环境局强调,今后在上海使用的非道路移动机械都必须悬挂一张专用的“环保号牌”,并按机械的排放等级在符合规定的区域使用,违反者将面临《上海市大气污染防治条例》的处罚。

 

根据《上海市大气污染防治条例》,在禁止使用高排放非道路移动机械的区域使用高排放非道路移动机械,或者非道路移动机械未按照要求粘贴识别标志的,由市或区生态环境部门责令改正,处每台1000元罚款。

 

环保专家表示,在上海划定高排放非道路移动机械“禁用区”,已迫在眉睫。

 

首先,因为非道路移动机械是上海环保管理的薄弱环节。

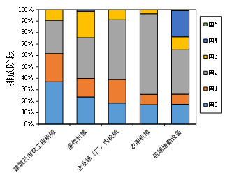
目前,全市非道路移动机械保有量约10万台,其中四成以上是排放等级较低的国零和国一柴油非道路移动机械,排放超标率高达30%以上。

根据上海环保部门2015年公布的上海首张PM2.5“基因谱”,当时对上海空气中PM2.5的贡献率,机动车船、非道路移动机械等流动源已经占到29.2%。

 

各类非道路移动机械的排放情况

 

其次,划定高排放非道路移动机械“禁用区”,也是国家相关规定的要求,且实施条件已经成熟。

国务院发布的《打赢蓝天保卫战三年行动计划》和国家生态环境部发布的《柴油货车污染治理攻坚战行动计划》,均要求重点区域加强非道路移动机械环境监管的要求,在2019年底前完成高排放非道路移动机械禁止使用区的划定。

去年,《上海市大气污染防治条例》修订时,也明确了对非道路移动机加强监管的一系列法律要求和法律责任。

 

【上海高排放非道路移动机械禁止使用区及申报登记和标志管理办法解读】

 

问:高排放非道路移动机械禁止使用区的范围和实施时间?

答:分为两个阶段落实施,从中心城区入手,逐步扩大至全市范围。

 

 

第一阶段:外环线(含)以内区域自2019年10月1日起,禁止使用《非道路移动机械用柴油机排气污染物排放限值及测量方法》(GB20891-2007)中国一及以前标准(2009年10月1日前生产)的非道路移动机械。

在该区域内使用的机械排放应满足《非道路柴油移动机械排气烟度限值及测试方法》(GB 36886-2018)中的III类限值要求。

 

第二阶段:外环线以外区域自2020年10月1日起,禁止使用《非道路移动机械用柴油机排气污染物排放限值及测量方法》(GB20891-2007)中国一及以前标准(2009年10月1日前生产)的非道路移动机械。

 

问:哪些非道路移动机械被纳入到高排放禁止使用区的管控范围?

答:适用范围包括:装配有柴油机从事建筑和市政施工、港口作业、企业厂(场)内作业、农业生产和园林作业、机场地勤服务等作业的移动机械和可运输工业设备,及其他适用于《非道路柴油移动机械排气烟度限值及测试方法》要求的非道路移动机械。

部分机械(但不限于)列举如下,供参考:

 

(1)建筑与市政工程机械包括不限于:土方工程机械(推土机、铲运机、多斗挖掘机、装载机、平碾压路机、打夯机、平板式振动器等)、钢筋混凝土工程机械(混凝土搅拌机、混凝土喷射机、混凝土振动器、钢筋加工机械)、起重机械(桅杆式起重机、履带式起重机和塔式起重机)、桩工机械(钻孔机、柴油打桩机、振动打桩机、破碎锤等)、装修(饰)机械(灰浆制备机械、灰浆喷涂机械、喷料喷刷机械、地面修整机械等)、功率大于37千瓦的非备用发电机等;

 

 

(2)港作机械包括不限于:起重机、输送机、集装箱机械、搬运机械等;

 

 

(3)场(厂)内机械包括不限于:固定平台搬运车、牵引车、推顶车、叉车(平衡重式、前移式、插腿式、侧面式等)、托盘堆垛车、平台堆垛车、操作台可起升的车辆、跨车、托盘搬运车、平台搬运车、非堆垛跨车、拣选车等;

 

 

(4)农用机械包括不限于:稻麦收割机、肥料机械、耕作机、机动插秧机、联合收割机、林果业机械、拖拉机(轮式拖拉机等)、青饲料收获机、施肥车、输送机械、蔬菜移栽机、蔬菜直播机、水稻直播机、田园管理机、油菜收割机、园艺机械、植保机械、种植机械、排灌机械等;

 

 

(5)机场地勤设备包括不限于:搬运车、舱内作业机械、充氧车、除冰车、传送车、登机车、电源车、飞机引导车、高空作业车、行李传送车、加油车、客梯车、空调车、跨运车、垃圾车、冷藏车、气源车、清水车、升降平台车、食品车、污水车等;

 

 

(6)绿化市容机械包括不限于:功率大于19千瓦的草坪机、油锯、割灌机、割草机、链锯、割边机、修边机、绿篱机、梳草机、高枝机、吸叶机等。

 

 

问:申报途径或渠道在哪里?

答:包括线上申报和线下申报,线上申报通过微信小程序“上海市非道路机械管理平台”,线下申报指携带申报资料到区指定办事窗口办理。

 

申报登记二维码

 

申报登记界面

 

问:申报登记和标志申领的流程是怎样的?

答:如下图

 

 

问:何时开始非道路移动机械的申报登记?需要每年报一次吗?

答:自2019年5月1日起开始申报登记,所有在用非道路移动机械应于2019年9月30日前完成申报登记。

机械完成首次申报后无需每年更新,但是已完成申报登记的机械如发生变更(转让、改装、报废等),机械所有者应在10日内向区生态环境部门申请信息变更或注销。

 

问:排放阶段判定原则是什么?

答:排放阶段的判定流程如下:

 

(一)有机械环保信息标签的,从环保信息标签上读取机械环保信息公开编号,环保信息公开编号为24位,第6位是机械对应的排放阶段。

 

 

(二)有发动机铭牌的,从铭牌读取发动机型式核准号/发动机信息公开编号,型式核准号为16位,第6位是发动机对应的排放阶段;发动机的环保信息公开编号/信息入库号均为24位,第6位是对应的排放阶段。

 

 

(三)如果不满足上述条件的,则依据发动机铭牌上载明的生产日期,按以下原则判定并确定相应的排放阶段:

(1)生产日期在2009年9月30日及以前,且没有环保信息公开编号的,适用于国一及以前排放阶段;

(2)生产日期在2009年10月1日至2016年3月31日之间,且没有环保信息公开编号的,适用于国二排放阶段;

(3)生产日期在2016年4月1日及以后,且没有环保信息公开编号的,适用于国三排放阶段;

 

(四)没有资料证明排放阶段的,原则上排放阶段认定为国一及以前,机械所有者可自行举证其排放阶段。

 

问:领取的识别标志后还需做什么?遗失或损坏了怎么办?

答:领取识别标志后,由机械所有者将其固定于机械显著位置(原则上固定于机身外侧靠近驾驶室位置),信息采集卡随机械携带。

识别标志遗失、损毁或无法辨识的,机械所有者应在10日内向区生态环境部门申请补办。

 

问:场内的机动车(客车和货车)是否需要申报?

答:场内使用的机动车暂不属于本次申报范围。

 

问:铭牌遗失或污损,且找不到其他永久性号码的机械如何申报?

答:根据国家生态环境部发放的《非道路移动机械环保号码编制规则》指导意见,需对具有唯一号码的机械进行环保编号,无任何信息的机械暂不纳入环保编号范围,无法进行申报登记、无法领取识别标志。

 

问:如果还有进一步咨询的问题,有何渠道?

答:可通过如下途径:

(1)申报网页的问题留言板块;

(2)申报登记相关问题电话咨询区办事窗口(见附表);

(3)申报过程中遇到系统操作故障,请致电021-52807002。

 

 

栏目主编:张奕题图来源:视觉中国图片编辑:项建英编辑邮箱:shgcggkj@126.com

内文图片来源:上海市生态环境局

(本文来自于上观)

加载中...