新浪财经

外汇市场基差与掉期点—再论外汇掉期一

新浪财经

关注

2019年以来美元兑人民币长期限掉期点显著上行,与汇率预期和利差双锚出现偏离,本系列报告将通过研究国外成熟市场的定价体系,并结合我国政策和市场环境,完善人民币掉期的分析框架。

外汇掉期(汇率掉期与货币掉期)是全球规模最大的场外汇率衍生品,除应用于汇率避险外,作为重要的融资工具在负债管理方面发挥作用。央行间的互换亦可视为掉期,是国际货币政策协调工具,也是建设离岸市场的保障。对外开放过程中,我国应重视掉期市场的建设与掉期工具的完善。

掉期合约有掉期点和基差两种报价模式,基差实际上衡量了掉期定价对抛补利率平价关系(CIP)的偏离。由于流动性差异,成熟市场中长期限掉期点往往由基差推导而出。当前我国缺乏活跃的基差交易,无法直接用于解释长端掉期定价的偏离现象。

外汇掉期、基差

2019年以来,美元兑人民币各期限掉期趋势反转,长期限(1年期及以上)的掉期上涨幅度尤其明显。根据我们此前构建的掉期定价模型,掉期受到利差与汇率预期的影响——而随着即期汇率弹性上升,汇率预期影响逐渐淡化,由此可见中美利差扩大是掉期点上涨的重要动力(见图表 1)[1]。

然而,掉期点上涨的同时人民币汇率预期稳定,中美利差也并没有出现类似幅度的反转,导致长期限掉期与“汇率预期和利差”双锚出现了较为明显的偏离(见图表 2和图表 3)。为了更全面准确地把脉掉期走势,本系列报告旨在通过研究国外成熟掉期市场的定价体系,并结合我国当前的政策和市场条件进一步完善人民币掉期的分析框架。在第一篇中我们重点引入基差作为分析掉期走势的另一视角。

一、为什么重视外汇掉期?

作为全球规模最大的场外汇率交易品种,外汇掉期(包括货币掉期)不仅仅是汇率风险管理的工具,它在负债管理领域也发挥着重要的作用。

掉期是成熟经济体企业跨境融资的重要工具:具有全球化视野的企业通常会在各国市场寻找融资洼地,再通过相应的掉期合约将外币转换成本币以资日常运营之用。例如,2015年美联储货币政策开始紧缩,但欧央行继续加码宽松,这使得欧元融资成本更具吸引力,大量的美国企业通过“发行欧元计价债券+买入欧元兑美元掉期”的方式降低联储加息对融资成本的冲击(见图表 4)。

此外,银行等金融机构经常使用掉期来管控货币错配风险。随着全球化程度提高,企业海外业务和居民海外资产头寸不断扩张。在此过程中本国银行等金融机构是提供外币融资的重要主体。为匹配资产端的外币头寸,除了吸收外币存款外,银行还常常使用回购、同业拆借和外汇(货币)掉期等方式来融入外币。例如,日本的银行利用掉期市场进行外币融资比较常见,因此日本央行特别重视掉期市场的发展对金融稳定性的影响(见图表 5)。

最后,掉期也是央行维持金融市场稳定、进行国际政策协调的重要工具之一。其中最常见的是央行之间的互换额度(Central Bank Swap line),以金融危机时期美联储和欧央行的互换操作为例:美联储出借美元流动性给欧央行,同时收取以当天即期汇率计价的等值欧元作为抵押;期末欧央行归还美元“借款”,收回欧元“抵押品”,并且支付借款利息——该利率(以下简称r)略高于美联储的政策利率。在互换存续期间,欧央行将所获得的美元流动性提供给辖区内的合格金融机构纾困,融资成本也为r,并收取相应的抵押品。这一过程相当于美联储以欧央行作为担保方,向欧元区金融机构提供美元流动性,以保证离岸美元市场的稳定(见图表 6)。2013年10月美联储与欧央行、英国央行、日本央行、瑞士央行达成协议,互换额度成为常备性货币政策工具。

随着对外开放进一步深化,我国需要重视掉期市场的建设和掉期工具的完善。居民部门的外币融资需求逐渐上升。而随着经济的转型,我国传统的创汇渠道——经常账户顺差收窄(见图表 8),使得外币存款增长动力不足。而当前国内银行直接参与外币货币市场进行回购融资或拆借的规模较小,可以发展外汇掉期市场来弥补外币供需的缺口。此外,人民银行若能与美联储达成长期性的互换协议,有助于稳定人民币汇率市场的信心;而在全球范围内发展人民币互换工具将为建设离岸人民币市场提供保障。

二、掉期合约的价格体系:掉期点和互换基差

外汇掉期市场主要有两个产品:汇率掉期(Fx Swap)[2]和货币互换(Currency Swap)。以欧元兑美元为例,买入(欧元)汇率掉期就是期初在即期市场上以汇率S卖出欧元、买入美元,期末则以事先约定好的远期汇率F买入欧元、卖出美元。货币互换(也称为货币基差互换),实际上是一种两端都支付浮动现金流,且交换本金的特殊利率互换。买入(欧元)货币互换,除了在期初与期末以汇率S交换欧元和美元本金外,在合约存续期间双方还需按约定的频率(比如每季度)交换欧元和美元利息(见图表 9)。通常为了反映风险因素和市场相对供需情况,在非美货币利率报价中会加入基差因子(就是常说的Cross Currency Basis,以下简称基差)。基于以上交易结构,按市场惯例,汇率掉期通常以掉期点(也称为远期点,即上述F-S的差值)的形式报价,而货币互换则是用基差来报价。

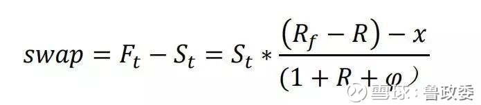
通过无套利原理,可以简单得出掉期点swap和基差x之间的关系。假设两种合约的市场都具备足够的流动性,那么一个欧洲的银行除了直接进行美元融资外,还能通过“欧元融资+掉期工具”的方式曲线达到目的。后者通常有两种方式。为方便表示,我们约定R_f和R分别表示外币和本币无风险利率,φ为银行融资的信用利差,F_t指的是t时刻的远期汇率,S_t表示的是t时刻的即期汇率,两者都是以本币兑美元的形式表示(比如欧元兑美元,以下若不另外说明,汇率均采用此标价方式):

通过买入欧元汇率掉期+欧元融资。成本主要由两部分组成:欧元融资成本(1+R+φ),再将融入的欧元在掉期市场上换成美元,成本为Ft/St,总成本为:

通过买入货币互换+欧元融资。首先融入欧元,成本为(1+R+φ);然后进入货币互换市场,与上述汇率掉期不同之处在于欧洲银行在合约存续期间将定期支付美元利息,同时收取经过基差调整的欧元利息。注意掉期的成本Ft/St是事先确定的,而货币互换的支付和收取的利率都是期间浮动的,为了两者可比,在货币互换交易的基础上使用利率互换将浮动利率转化为固定利率——卖出欧元利率互换并买入美元利率互换(见图表 10),所以成本为[3]:

若假设不存在套利机会,则以上两种方式成本应该一致[4]:

概括来说,

掉期点=f(即期汇率)+g(国内外利差)+h(基差)

掉期市场理论上应该存在 (抛补的)利率平价关系(Coverd Interest Parity, CIP):

上式意在通过签订远期合约,在一段时间内外币存款和本币存款的收益应该是一致的,否则就存在无风险套利的机会。但实际中市场不完备、交易成本、供需失衡等因素使得上式往往不成立。基差一定程度上衡量了掉期价格对(抛补的)利率平价关系(Coverd Interest Parity, CIP)的偏离,令:

经过调整可得:

以上结果与实际基差定价基本吻合(见图表 11,以欧元为例)。

值得注意的是在本币兑美元的汇率标价法中,基差扩大(如负值程度越高),掉期点越大;而在以美元兑本币来标价,基差扩大则意味着掉期点越小。

另外,在实践中由于汇率掉期和货币互换市场流动性存在差异,即使在成熟经济体中,超过2年期的外汇远掉期合约流动性也会剧减。一般而言,在短期限市场中基差往往根据活跃的汇率掉期合约来确定,长期限则正好相反。

那么人民币长端掉期价格对利率锚的偏离是否能用基差扩大来解释呢?答案是并不能,中国境内当前没有活跃的基差报价,揭开掉期定价谜底还需另辟蹊径,我们将在后续的报告中进行系统的分析。

注:

[1]详情见报告《外汇衍生品系列——抽丝剥茧看掉期》。

[2]我们把直接远期作为汇率掉期的一种特殊形式。

[3]在货币市场中,短期限(1年以及之内)的利率互换因为不交换本金,信用风险较小,互换利率可以近似的认为是无风险的,所以此处我们近似使用无风险利率作为利率互换的价格。

[4]在实际中,可以直接使用利率互换+基差互换的组合来模拟外汇掉期的效果。

特别提示:本报告内容仅对宏观经济进行分析,不包含对证券及证券相关产品的投资评级或估值分析,不属于证券报告,也不构成对投资人的建议。

长按上方二维码关注我们

加载中...