谷歌人工智能做高中数学 40题只对14题
雪球
【文 观察者网/赵挪亚】
在围棋这个人类一直以来占据着优势的项目里,谷歌旗下DeepMind开发的人工智能(AI)AlphaGo已经先后击败了柯洁和李世石两位顶尖棋手。但说来难以置信,DeepMind开发的AI能打败人类世界棋王,却无法通过英国高中的数学考试。
《分析神经模型的数学推理能力》
4月2日,谷歌旗下的DeepMind团队公布了一份名为《分析神经模型的数学推理能力》的研究报告(Analysing Mathematical Reasoning Abilities of Neural Models)。在这项研究中,团队让AI接受一项包含了算术、几何、概率和测量的数学测试,考题有 40 题,难度大约是英国高中数学的程度。


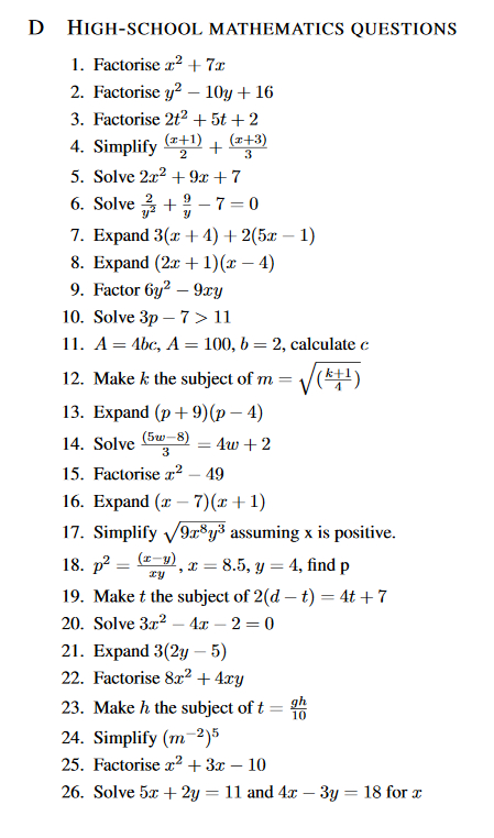
DeepMind给出的40道英国高中数学题
不过,在这40道高中难度的数学题中,拥有强大通用算法和远超人类计算能力的人工智能,却只答对了14题,正确率只有35%,是实打实的不及格。
值得一提的是,在AI参加测试以前,团队已经为其做好了充足训练。据DeepMind介绍,他们为AI建立了一个包含200万道题目的题库,涵盖了算术、代数、概率、微积分等各种题型。
同时,团队也派出了循环神经网络 (RNN) 和Transformer两大当下性能最先进的模型参与测试。
为什么人工智能无法答对高中数学题呢?
原来,最主要的原因是AI“看不懂”题目。DeepMind旗下的AI虽然已经拥有了极强的机器翻译能力,但依然抵不住数学问题的复杂性和语言多样性的压力。

对AI而言,数学符号和题目本身就很难理解
对人类而言,要解决数学问题,要应用到的不只有计算能力,还有各种各样的认知技能。比如理解题干,需要将文字或图标转换为算术运算符。
而对于依赖大量数据分析来寻求解决问题规律的AI而言,数学语言的复杂性是一座难以逾越的高山。
其次,AI“举一反三”的能力,也无法与人类一较高下。它只能处理一些内部存储的问题,无法超越已有的环境去理解新的东西。
而人类在解决数学问题时,会进行推理,从已知的公理中找到最佳策略,而在具体的运算过程中,必须利用工作记忆来完成运算。
据DeepMind研究人员总结,现阶段AI在推论的能力上,还不及人类。在解答问题时,人脑动用了多种认知能力,包括将符号分类、演算、运用工作记忆来储存中间值、还要运用学到的规则或定理等。
相反,AI则擅长模式比对、机器翻译和强化式学习,但弹性远不及人脑。它们不太能将事物推论到已有经验的环境外,更无法处理刻意乱输入的资讯。
不过,虽然目前AI还无法当数学老师,但他们已经称霸了相当多的领域。除了围棋以外,DeepMind旗下的AI又在游戏《星际争霸2》(StarCraft II)的测试赛中,5-0横扫世界顶尖职业选手。
本文系观察者网独家稿件,未经授权,不得转载。