他们不安静、不浪漫,他们中的大多数也不是天才
知几未来研究院
他们不安静、不浪漫,他们中的大多数也不是天才
今天,是第12个“世界提高孤独症意识日(World Autism Awareness Day)”。联合国第62/139号决议呼吁,在每年的4月2日这一天,提高世界各国对自闭症患者的关注。

图片来源:视觉中国
文 | 知几未来研究院
2“就我所知,孤独症是唯一一个既无病因又无法治疗的所谓‘病’。遇到这种病,感觉医院已经不是医院,是人民法院”。
——自闭患儿家长、作家 蔡春猪
“那一个晚上,我躺在床上,没有眼泪。我常常对别人说,我是死过一次的人。上帝给我一个任务,叫我牵一只蜗牛去散步。”
——自闭症患儿家长、康复干预机构“星宝上学”创始人 陈婕
自闭症在2岁时就可以被检测出来,但美国自闭患儿平均得到诊断的年龄是4岁零8个月。
——美国疾病控制和预防中心
“大量的实践经验都已表明,尽管自闭症患者表面上看起来比较冷漠淡然,其实在他们的身心体验上,却比我们普通人群更需要亲情上的调剂与互动。”
——自闭症康教研究者 郁万春
“当你准备长期与自闭症儿童打交道,首先要把自己的心理和脸皮锻炼得像城墙一样厚。否则,长期的单向式交流所累积的心理受挫感,迟早会让你崩溃。”
——某特教老师
编者注:
“自闭症”的医学名称是“孤独症谱系障碍”(Autism Spectrum Disorder),在美国CDC统计中,它的发病率达到可怕的1/59。
在现代医学快速发展的当下,“自闭症”对于我们仍然是一个巨大的谜团。
社会正在经受这种缓慢进展的成本,并目睹这种沉重落入一个个家庭和社区。
知几未来研究院在今天向您推送这份“中国孤独症患者全景报告”,它综合、立体地呈现了孤独症患者的现状,我们会在其中讲到:
你对自闭患者的“刻板印象”可能都是错的
我们在人群中如何辨认一个自闭患者
他们如何被诊断、如何被治疗
自闭儿家庭所面临的社会配套设施
自闭症是著名的医学难题。但你可能不知道的是,近年来,科学对于自闭症的基础研究进入快速发展阶段。
十年来,以肠道为干预靶标的方法正在介入自闭患者的治疗。这类研究的起始点在于:科学家们发现,约四分之三的自闭症患者同时伴随胃肠道问题。
我们将结合知几未来对肠道微生态前沿成果的一贯追踪,总结一些以肠道为靶标的、未来可期的干预方式。比如:
自闭症患儿的肠道菌群分布与健康儿有什么不同
是否出现了益生菌干预而好转的临床案例
益生菌替代疗法所依据的机制是什么
这份报告约2w字。很长,但我们认为值得阅读。
对于自闭患儿,普通人总是存在诸多“浪漫的误解”:
在公益活动里,自闭症的小孩可以画出那些技艺不俗的画作;
或者,就像《雨人》里的Dustin Hoffman、《生活大爆炸》里的谢尔顿,他们要么智商超群,要么只是遵循一种比较古怪的行为模式——这种社交方式在当下甚至还显得有点可爱。

图片来源:视觉中国
文 | 知几未来研究院
2“就我所知,孤独症是唯一一个既无病因又无法治疗的所谓‘病’。遇到这种病,感觉医院已经不是医院,是人民法院”。
——自闭患儿家长、作家 蔡春猪
“那一个晚上,我躺在床上,没有眼泪。我常常对别人说,我是死过一次的人。上帝给我一个任务,叫我牵一只蜗牛去散步。”
——自闭症患儿家长、康复干预机构“星宝上学”创始人 陈婕
自闭症在2岁时就可以被检测出来,但美国自闭患儿平均得到诊断的年龄是4岁零8个月。
——美国疾病控制和预防中心
“大量的实践经验都已表明,尽管自闭症患者表面上看起来比较冷漠淡然,其实在他们的身心体验上,却比我们普通人群更需要亲情上的调剂与互动。”
——自闭症康教研究者 郁万春
“当你准备长期与自闭症儿童打交道,首先要把自己的心理和脸皮锻炼得像城墙一样厚。否则,长期的单向式交流所累积的心理受挫感,迟早会让你崩溃。”
——某特教老师
编者注:
“自闭症”的医学名称是“孤独症谱系障碍”(Autism Spectrum Disorder),在美国CDC统计中,它的发病率达到可怕的1/59。
在现代医学快速发展的当下,“自闭症”对于我们仍然是一个巨大的谜团。
社会正在经受这种缓慢进展的成本,并目睹这种沉重落入一个个家庭和社区。
知几未来研究院在今天向您推送这份“中国孤独症患者全景报告”,它综合、立体地呈现了孤独症患者的现状,我们会在其中讲到:
你对自闭患者的“刻板印象”可能都是错的
我们在人群中如何辨认一个自闭患者
他们如何被诊断、如何被治疗
自闭儿家庭所面临的社会配套设施
自闭症是著名的医学难题。但你可能不知道的是,近年来,科学对于自闭症的基础研究进入快速发展阶段。
十年来,以肠道为干预靶标的方法正在介入自闭患者的治疗。这类研究的起始点在于:科学家们发现,约四分之三的自闭症患者同时伴随胃肠道问题。
我们将结合知几未来对肠道微生态前沿成果的一贯追踪,总结一些以肠道为靶标的、未来可期的干预方式。比如:
自闭症患儿的肠道菌群分布与健康儿有什么不同
是否出现了益生菌干预而好转的临床案例
益生菌替代疗法所依据的机制是什么
这份报告约2w字。很长,但我们认为值得阅读。
对于自闭患儿,普通人总是存在诸多“浪漫的误解”:
在公益活动里,自闭症的小孩可以画出那些技艺不俗的画作;
或者,就像《雨人》里的Dustin Hoffman、《生活大爆炸》里的谢尔顿,他们要么智商超群,要么只是遵循一种比较古怪的行为模式——这种社交方式在当下甚至还显得有点可爱。
刻板印象会带来意想不到的大麻烦。
“Dustin Hoffman对此(大众对自闭症的认知)没有任何帮助”,哈佛公共管理硕士、自闭症行业从业者Jonathan Levy说,“在我职业生涯的大部分时间里,我不得不向人们解释,大多数自闭症患者根本不像Hoffman所表演的那样”。
我们能见到的、常出现于影视作品中的自闭症患者,往往是高功能的,或可被归类于艾斯伯格综合征(Asperger Syndrome)及学者症候群(Savant syndrome)。事实上,后两类占据自闭症的比例不超过15%。
对于很多工作在一线的特教(“特殊教育”的缩写)老师来说,他们可能从没亲眼见过这样的孩子。至于常出现在公益活动中的“自闭症儿童的画作”——一些特教老师倾向于认为是营销手段,“但除此之外我也想不出有什么更好的公益方式”。
误解不甚枚举。
比如,“自闭“的这个叫法,似乎让人与“自我封闭”联想起来,将一些普通人的认知带入误区。事实上,与其他精神障碍患者相比,自闭症儿童的自残(撞击头部、咬手腕)、攻击行为,甚至更为常见。
“自闭症”也并不等同于“智力障碍”。虽然在临床上,智力障碍常常与自闭症伴随出现。
美国精神学会指出,“对于自闭症患者,即使是智力水平较高的个体,也有参差不齐的能力概貌。智力和适应性功能之间的差异常常是巨大的”。你所能看到的、自闭症患者怪异的步态、姿势,往往是运动缺陷的结果。他们虽不擅长精细动作,但通常拥有相对更强的视觉记忆。
对于不同的患病个体,虽然存在“高功能”、“低功能”等不同程度的诊断结果,但对于这部分群体,专家的建议依然是:“需要支持”、“需要多的支持”、“需要非常多的支持”。
那么,如果自闭症患者不聪明、不安静,类似“谢尔顿”的阿斯伯格患者也属于凤毛麟角,真实的情况是什么?
现在我们要从一部电影讲起。
(《海洋天堂》电影截图)
2001年,中国大陆上映一部名为《海洋天堂》的电影。演员文章扮演一名21岁的自闭症患者“大福”。
在片子里,大福处于生活半自理状态,永远无意义地摆动着一只手。走路时,他必须遵循直角直线,日常回避与别人对视的目光。他还喜欢盯着转动的电风扇看。他无法理解基本的语义和感情,但似乎又对亲近的人存在依恋感。经过父亲的基本训练,大福也能对某些指令做出“令人期待”的反应。
业内人士认为,这是至今对自闭症患者状态描画最为真实的一部电影。事实上,“大福”存在现实中的人物原型——我国第一家孤独症患者康复机构“星星雨”创始人田惠平的儿子杨弢。
在中国的自闭症小孩里,他可能是最出名的一个。一部分是因为电影和他的母亲,一部分是因为他本身的康复状态——22岁的杨弢,已经可以在北京一家成人培智单位上班,挣钱养活自己。
这对大部分自闭症家庭来说是奢望。在上海市的记录中,自闭症患者成功全职就业的仅1人——自6年前一位自闭症患者在上图成为图书管理员以来,迄今未见第2例。
不被公众所了解的,是那些镜头背面的大多数。我们甚至还无法确切的知道现在中国自闭症患者的人数。
统计只是第一步。美国疾控预防中心(CDC)的最新数据是,2014年,全美8岁儿童中,每59人中就有一例孤独症(自闭症)患者。
这得益于他们2010年在各地建立的、一个名为“ADDM( Autism and Developmental Disabilities Monitoring)”的孤独症儿童监测报告及干预网络。
然而,中国尚未开展过相关全国性的流行病学调查。
据一些权威机构的推测,我国自闭症患者可能超过1000万。2006年第二次全国残疾人抽样调查显示,自闭症已成为我国儿童精神残疾的最大病种。一份由专业机构发布的报告估计,我国0-14岁自闭症患儿的数量可能超过200万。
自闭症患儿真正的名字:孤独症谱系障碍(ASD)“自闭症”的医学名称是“孤独症谱系障碍”(Autism Spectrum Disorder),国际上统称“ASD”。
它的基本特征是:交互性社交交流和社交互动的持续损害和受限的、重复的行为、兴趣或活动模式。
比如:经常不切实际、不分场合地自言自语或模仿别人曾经讲过的一些语言;重复蹦跳、拍手、用脚尖走路、原地转圈;对人脸缺乏兴趣,没有目光注视或目光注视较少;或者,对亲人没有(通常孩子所能展现的)依恋表现。
对于ASD患者,往往有非常详细的个案描写,但鲜有整体群像——因为ASD本身具有高度个体特征,之所以该病被称为“谱系障碍”,是因为患者的能力和障碍呈光谱式分布,异质性强,没有两个患者的临床表现完全相同。
这些症状从儿童早期出现(一般认为起病于3岁之前,不同标准之间有出入。比如,《国际疾病分类手册》要求症状在3岁以前出现,而DSM-5并未纳入年龄界限),且限制或损害了日常功能。
这些医学概念的诞生,至今不过三四十年。在我国,南京脑科医院的陶国泰教授被称为是“中国研究儿童孤独症第一人”。
(陶国泰,1916-2018)
1982年,陶教授还在南京儿童心理卫生研究所上班。当时,他于《中华神经精神科杂志》发表了题为《婴儿孤独症的诊断和归属问题》的论文,在国内首先发现并报道了4例被确诊的儿童孤独症。
“极度孤独是一项重要诊断标准……但有些儿童似乎与亲人有‘感情’。如,例1较胖,体重24kg,不顾母亲被压得喘不过气,见到妈妈就要背着走。她对母亲一点也不亲,只当作负重行走的工具一样。给她布娃娃,从来不看娃娃的脸,像抱着一块木头”,陶教授在论文中写道,“有些孤独症儿童对父母或其他熟悉的人即使表露出‘感情’。但并无建立亲密关系的意图。在判断情感交流时,两方眼与眼对视是一项重要标志,而孤独症儿童却从来没有这种表情。”
陶教授当时参考的是第3版《精神障碍诊断与统计手册》。它由美国精神医学学会出版,简称“DSM”,目前可被认为是行业标准的制高点。
时至今日,DSM标准已经更新到第5版,发病率、起病时间、疾病分类、病因描述等方面均有较大更新,并逐渐被赋予了更宽泛的含义。
美国CDC在2014年关于全美8岁以下孤独症儿童的全景报告中,将ASD患病率更新至1.7%(或者说1/59)——这个数字比2000年报告的 1/150、2013年报告的1/68又高了些。
WHO最新报告的数字是,全世界每160名儿童就有1名ASD。这一估计值是基于全球各项研究的平均而来,然而报告得出的流行率之间差异很大。“最近一些研究报告的患病率要高得多”。
2006年第二次全国残疾人抽样调查显示,ASD已成为我国儿童精神残疾的最大病种。其中,男孩患病率约为女孩的4倍。一份专业机构的报告估计,中国患病儿童约达200万,ASD患病群体可能超过1000万。
一些研究人员推测,标准的改变可能是目前全球范围内ASD患病率上升的主要原因。但尚不清楚这一结果是因为诊断标准的扩大、公众知晓度增加、研究方法学的差异等情况,还是因为ASD的患病率出现了真正的增长。
孤独症生物标志物暂未被发现,目前临床确诊依靠“量表+医生”尽管孤独症症状大多在孩子2-3岁时出现,但也存在18个月就得到确诊的案例。一些相关症状甚至还可以更早出现。
对于ASD患者的生命质量来说,在早期被识别并得到干预非常关键。这要求父母或者照看者除了对一般儿童的生长发育情况有了解之外,还要对孤独症的早期表现敏感。
( 贾美香、鲍秀兰所著的《孤独症儿童早期发现》较为详细地叙述了如何识别0-6岁儿童的ASD症状)
目前,孤独症儿童的早期确诊是严峻的难题。
通常情况下,ASD在2岁时就可以被诊断出来。但是,即使在ADDM监测网络运行的环境下,美国ASD患儿平均得到诊断的年龄,仍然需要达到4岁零8个月。
另外,据ADDM的报告,有85%的ASD患儿在3岁前得到了诊断,但其中只有42%的患者得到了干预。
目前,临床上使用最广泛的诊断标准是《精神障碍诊断与统计手册第五版》 (DSM-5)和《国际疾病分类手册第十版》 (ICD-10)。
在ASD的诊断中,医生们常常使用一些量表。据《孤独症儿童早期发现》,它们可能包括:
婴幼儿孤独症量表(M-CHAT孤独症儿童ABC行为量表(ABC量表)儿童孤独症评定量表(CARS)《心理教育评估量表》(C-PEP)除了DSM-5或ICD-10等诊断工具,美国儿童与青少年精神病学会(AACAP)、美国神经病学学会(AAN)和美国儿科学会(AAP)还推荐另外一些依靠父母来报告,或者采用直接观察得到结果的测量工具,比如孤独症行为评定量表(ABC)和儿童期孤独症评定量表(CARS)。
这些诊断工具、量表和标准在互联网上都可以免费获取,但仅能用作一般了解。在临床上,医生通常还需要做全面的病史检查(包括家族史、社会心理史等)和体格检查。对于年纪太小的儿童,也可能需要随访一段时间才能确诊。
从一般了解到明确的诊断,是一段漫长而严格的培训学习和反复实践。孤独症的确诊,必须由专业医生做个体化评估,并排除一些其他疾病的可能。
许多父母逃避“孤独症”的诊断,并在反复确诊中,丢失干预ASD患儿的最佳时机当你的孩子被诊断为ASD,作为父母,首先要迅速调整自己的期待——他的未来和这个家庭的未来,都即将遭遇重大调整。
道理是这样。但现实是,“百分之八九十的家长都想过带着孩子自杀”,一名特教老师表示,《海洋天堂》在开片中的一幕是完全真实的——李连杰饰演的父亲带着ASD患儿“大福”,企图一起跳河,但最终未遂。
更为常见的情况是,回避诊断和反复诊断。中国精神残疾人及亲友协会(简称中国精协) 2014年出版的《中国孤独症家庭需求蓝皮书》对71家机构、4100余名家长的调查显示,43.8%的家长不能接受孩子被诊断为孤独症的事实,22.5%的家长不是诊断后即开始对孩子安排康复训练。
在接受访问的家庭中,76.3%的家庭母亲成为孤独症孩子的主要照料者。52.4%的家庭有一人放弃工作专门照看孤独症孩子,大部分是妈妈放弃工作(90.2%)。
ASD患儿家长长期持续承受巨大心理压力,成为出现心理疾病(抑郁、焦虑)的高危群体。
事实上,ASD虽然“病因不明,无药可医”,但后期康复干预的时机和方法,可以给患者带来相当不同的预后。一般认为,发现年龄越早,干预越早,效果越明显,预后则越好。3-6岁为干预的黄金时间段。
一旦确诊了ASD,可能还需要开展其他医学检查(比如基因检测、代谢检查、神经影像学检查和/或脑电图),以尽早地识别和治疗共病。在一项前瞻性研究中,实验人员对85例ASD患儿进行了广泛的病因评估,并在16.5%(14例)患儿中发现了伴随疾病。
据《蓝皮书》,约3/4的ASD患儿精神发育迟滞,约1/4-1/3的患儿合并癫痫,三至七成患者智力低于正常,其感觉统合失调、胃肠道问题、睡眠障碍、饮食问题也多于普通儿童。
不过,由于ASD患儿异质性强,究竟需要干预多久才会出现效果,答案可能是“几个月后有好转”,也可能是“好几年都没有”。
配套设施的隐忧:每1000多万人中,才有1位儿童精神科医生相对于被推测的患病人数,康复机构和从业人员等社会康复系统也面临着一系列问题。
北京市孤独症儿童康复协会副会长、北京大学第六医院儿童门诊主任医师贾美香接受采访说:“中国各年龄段孤独症群体生活状况堪忧,尤其是很多3岁以前的孤独症孩子在早期没有得到诊断”,专业诊断队伍不足、社会及家长知晓度、疾病羞耻感等因素导致孤独症早期诊断难以推进。
《财新》指出,国内真正从事精神卫生专业的队伍人数还不到2万人,其中精神科医生可能只占到1-2%,儿童精神科医生更是少之又少。
中国残联康复部二处处长韩纪斌接受公开采访时说,“全国能够诊断自闭症的医生不超过100人,这是卫计委认可的数字”。
这意味,1000多万人中才有1位儿童精神科医生。
“更为严峻的是,近40年来一批批孤独症的孩子已经步入了成年,他们的父母已经年近古稀,逐渐地丧失了照顾的能力,他们愿意倾其一生继续使孩子在托养机构中得到照料和安置,但由于成年孤独症托养机构严重缺失,他们的愿望难以实现”,贾美香说。
据中国精神残疾人及亲友协会(简称中国精协) 2014年出版的《中国孤独症家庭需求蓝皮书》,中国大部分民办康复机构,从2003年前后开始才集中涌现。
2009年,中国精协委托中国社会科学院进行调查统计,结果显示,当时我国各类民办孤独症服务机构超过400家,其中2003年以后成立的占77.4%;近半机构是由家长(特别是孤独症儿童的妈妈)创办的。
不确定中的确定性:ASD是一种遗传疾病,且具备环境因素现代医学仍然在不断探究ASD的致病机制,但暂未有可靠的结论。历史上,人类对ASD病因的理解也经过了几个不同节点。
奥地利精神科专家布鲁诺•贝特尔海姆(Bruno Bettelheim)提出的“冰箱妈妈”理论曾在20世纪60年代风行一时。此理论将ASD小孩的病因归咎于“冷漠的教养方式”,但后被证伪——贝特尔海姆在研究中使用了虚假的数据。
“造假”的还有“MMR疫苗导致ASD”学说。1998年,《柳叶刀》刊载Andrew Wakefield博士的论文,认为接种麻风腮三联疫苗(麻疹、腮腺炎、风疹,Measles Mumps Rubella,MMR)可能与儿童自闭症相关。此文引起轩然大波,并导致MMR疫苗的接种率急剧降低。但是,没有科学家能重复他的实验。后被证实两者之间不存在关联,CDC认为“证据清楚”,研究也被撤稿。
还有一些理论声称,某些疫苗成分(如硫柳汞)也会导致ASD。但世卫组织委托开展的证据审查工作得出结论认为,在疫苗中使用硫柳汞等防腐剂与泛自闭症障碍之间并无关联。
此外还有说法认为,食物(比如酪蛋白)过敏、自身免疫反应或是营养缺乏导致了ASD,但目前学界对此还没有共识。
1)尽管现代医学对ASD的病因了解还很少,遗传和环境因素已被公认为起重要作用。每个ASD患儿都不尽相同。每个ASD病例在行为和认知维度上的损伤严重程度都具有高度异质性。尽管具有强大的遗传性病因,已知的遗传原因占所有病例的不到20%,其中由单个原因引起的不超过2%。
尽管如此,ASD已被证明是高度可遗传的。最令人信服的证据来自早期的双胞胎研究:同卵双胞胎中显示可高达70%-90%的同病一致率,而在异卵双胞胎中大大下降(6%-10%)。
有关ASD的遗传基础的强有力的证据还来自于单基因疾病,包括脆性X综合征(FXS)、Rett综合征和结节性硬化症。这些障碍与5%的ASD病例相关,且显示出比一般人群显著更高的ASD发生率。
2)鉴于ASD不遵循典型的孟德尔遗传,长期以来,学界一直假设ASD是多基因疾病。已知的ASD风险基因超过100个,但是,每个ASD风险基因仅在小于1%ASD病例中出现。ASD的病因学因素目前包括染色体异常、拷贝数变异(CNV)、小的插入/缺失(indel)、单核苷酸变异(SNV)及其组合。事实上,现在已知的ASD风险基因超过100个,而且预计还有其他几百个风险基因存在。
现有大量证据表明罕见(<1%小的等位基因频率)和新生变异,例如影响特定基因和基因座的拷贝数变异(CNV)是造成ASD的病因之一。
然而,没有单个基因、SNP或DNA突变可以占ASD病例的1%-2%以上。有研究指出,一个可能性是数百种遗传原因仍有待确定,可能涉及基因组的非编码部分。最近的研究已经开始探索基因组“暗物质”(不直接编码蛋白的DNA区域),其含有许多类型的基因调节元素,包括非编码RNA(ncRNA)。然而,这些研究仍然处于婴儿期。
另一个可能性是,ASD是一种复杂的遗传疾病,其中一组的10-50个基因与环境因子相关作用导致ASD。
全基因组测序(WGS)对于临床检测ASD的相关基因突变是高度有效的技术手段。
目前,ASD的患者已经越来越多地进行临床遗传学评估,并且10%的个体具有可识别的遗传病征,例如脆性X染色体综合征。这些致病突变可通过靶基因测序或定量检测分析来检测。
3)导致ASD的环境和围产期因素:环境暴露可能在胎儿发展过程中的重大转折期内介导了表观遗传学改变常用抗癫痫药“丙戊酸盐”的宫内暴露已被确认是ASD的危险因素。
另外,甲基化谱可能也被环境毒素如砷、镉、苯以及大气污染等的暴露改变。如一些研究中所描述的,ASD个体表现出全面的甲基化异常,且这些毒素暴露与此全面的低甲基化水平改变和基因位点上靶向性高甲基化相关。但这些暴露不大可能是ASD的单纯病因,遗传易感区段内表观遗传影响可能也起一定作用。
一篇meta分析纳入了40项关于围生期和新生儿期孤独症危险因素的异质性研究,发现几乎没有证据表明任何单一因素可导致ASD。然而,有一些证据表明,一大类危害围生期和新生儿期健康的情况(例如胎位异常、低出生体重、胎粪吸入等)可能增加ASD发生风险。例如,一项前瞻性研究显示,低胎龄和低出生体重与ASD发生风险增加有关。一项人群研究显示,母体代谢性疾病(例如糖尿病、肥胖和高血压)与后代发生ASD的风险增加有关。
母亲的饮食习惯也会影响孩子。ASD发病的高风险时间是出生前、期间或出生后不久,研究发现,母亲孕期食用含可卡因和酒精的食物会提高孩子患病风险。母亲在围产期摄入高脂、高糖饮食会对后代的中枢奖赏系统的发育产生不良影响,并使后代更偏向高脂高糖食品。
另外,据UPTODATE,环境因素可能造成“二次打击”,从而改变已有的ASD易感性遗传因素。环境暴露的作用似乎取决于暴露的时机和持续时间、毒物的浓度、作用机制以及毒物在中枢神经系统中的分布。
许多因素可以影响ASD疾病风险,其中包括可能会影响甲基化谱变化的因素。比如,一碳单位代谢循环对于为DNA甲基化提供蛋氨酸至关重要。为了减少神经管缺陷的数量,最值得注意的操作是强化和补充叶酸。
叶酸可能具有保护作用,但仍有许多危险因素可能会提升ASD疾病风险,比如双亲的生育年龄越大,可能越增加ASD风险。
随着父亲、母亲、甚至祖父母年龄而增加的疾病风险相关联的机制,很可能包括老龄父母的突变率和遗传易感性,配子中甲基化的维持也可能起一定作用。
各种各样的易感基因和染色体异常(2%-3%的ASD病例存在染色体15q11.2和16p11.2的缺失或重复)和ASD有关,但大多数发现要么没有成功重复,要么证实对发病只有轻微影响。虽然人们普遍认为多基因(和环境因素)可能是ASD的病因,但有多少遗传易感性因素参与其中、并且这些因素如何累积而导致自闭症特定亚型的问题仍然有待解决。
ASD的主流疗法是“早期行为干预”。其中,专业的家庭和机构同样重要ASD的总体治疗原则以早期行为干预为主,药物只起辅助作用。
医生可能也会给ASD患者开药。但用于ASD的药物治疗是完全非特异性的,包括抗精神病、抗抑郁和抗焦虑药物。
美国FDA仅批准将利培酮(≥5岁)和阿立哌唑(6-17岁)专门用于治疗ASD儿童的易激惹性、自我伤害及攻击行为。UPTODATE指南提示,如果需要超适应症用药,则需要医生与监护人一起,仔细衡量收益和风险。
1)早期行为干预:针对ASD儿童的社交解决方法目前,ASD唯一的主流治疗方法是早期行为干预。其中,ABA(applied behavioral analysis,应用行为分析)是ASD康复中应用最广泛的一套方法。
ABA是伟大的发现。1987年,在ASD病因未明的情况下,洛瓦斯(Lovaas)即报道用ABA疗法成功“治愈”9例ASD儿童,给无数家庭带去希望。
据洛瓦斯的描述,“ABA是一种能有效建立自闭儿初步社交行为的方法”。这是一个最基本的模式,主要将目标拆解为多个简易步骤,当ASD孩子出现预期中的结果,就予以奖励,并多次强化,直到孩子的这个行为被成功塑造。
许多在此基础上延展的康复疗法随之发展起来。赫尔芬(Helfin)等人将目前ASD的主要康复方法分为以下4类:
以促进人际关系为基础的疗法,包括格林斯潘(Greenspan)建立的地板时光(Floortime)疗法、古特施泰因(Gutstein)建立的人际关系发展干预(relationship development intervention, RDI)疗法;
以技巧发展为基础(skill-based)的干预疗法,包括图片交换沟通系统(picture exchange communication system, PECS)、回合试验教学(discrete trial training, DTT);
基于生物学的干预疗法(physiologically oriented intervention),包括感觉统合训练、听觉统合训练与饮食疗法;
综合的特殊教育方法,包括孤独症和相关沟通障碍儿童治疗与教育(treatment and education of autistic and related communication handicapped children, TEACCH)、应用行为分析(applied behavioral analysis, ABA)等。
美国国家孤独症研究中心在2009年将目前世界上现存的治疗孤独症的方法分为三类,第一类为已经被实证研究证实有效的方法(主要为ABA),第二类为尚在论证中的方法(比如RDI),第三类为不成熟的方法(比如感觉统合训练、饮食疗法等)。
《蓝皮书》指出,所谓“不成熟的方法”,是指缺乏证据表明该方法对ASD的核心症状有疗效。研究表明,感觉统合疗法对于ASD的核心问题(社会能力缺陷和社交障碍、兴趣狭窄和刻板行为)没有显著疗效,但并未指出它不能改善和肢体协调、感觉失调等有关的技能,因此是否在孩子干预计划中加入感统训练,应在评估基础上根据孩子感知觉发展的具体情况来定。
最近几年,针对ASD儿童的社交解决方法如雨后春笋般涌出。ASD患儿家长、康复干预机构“星宝上学”创始人陈婕认为,“比起前些年大家的关注点仅仅停留在语言和认知上,可谓有了很大进步。不论是专家还是机构老师,都已经意识到了游戏对于ASD儿童社交能力的不可或缺的作用,像RDI、PCI(游戏与文化介入)、地板时光、沙盘以及音乐、美术等一系列的艺术治疗,归根结底都与游戏有关,只是通过不同的媒介产生效果”。
在ASD患儿的康复系统中,特殊教育老师是一个相当重要的角色。与ASD患儿建立密切关系需要特殊的品质,这与我们平常人发展人际关系相当不同。
ASD患儿常常沉浸于重复性的刻板行为,感知不到周围人的态度意味着什么,也很难对他人的主观意图进行解码。
在日常的康复教学中,特教老师用长达数周甚至数月的时间,教患儿系鞋带、拍手,或者对某种指令做出反应。
优秀的专业人员,可以在ASD患儿出现情绪爆发之前,就及时捕捉到令人不安的苗头,将之扼杀在摇篮里。并在熟练掌握康复方法的基础上,设法确定每个孩子身上的优势领域,尤其是他们身上那些对将来的生活举足轻重的长处。
与之相反的,缺乏培训的助教可能会成为很大问题,甚至是激惹患儿的源头。
2)父母的特殊角色:专家比家长更了解孤独症,但家长比专家更了解自己的孩子1986年,天宝葛兰汀(Temple Grandin)出版了她的第一本书《星星的孩子》,这是有史以来首部以第一人称叙述ASD人士生活历程的书。
天宝是畜产学学者、畅销作家、禽畜动物行为顾问,目前任教于科罗拉多州立大学。许多美国和加拿大的牛只畜牧业设施与处理方式,都是出自天宝的设计。
(Temple Grandin)
她是知名的高功能ASD患者。在她的叙述中,母亲、语言训练师以及保姆对她的训练方式,与今天的ABA模式教学法不谋而合。
ASD专家普瑞桑博士认为,“应对ASD最好的方法其实是那些以家庭为中心的方法,几乎没有多少例外。家长对自己孩子的理解总是超过任何其他人。而且,在许多年不断积累起来的无数共同经验的基础上,每一个家庭都会形成自己的语言,从而使共同的沟通、理解和支持成为可能。”
在六七月份,河水不多,鱼可以在河里进行繁殖,但是到了十月、十一月份,水量很多,而且水的温度很低,加上化学成分的影响,三文鱼无法在河里繁殖成功。不过,在不利于繁殖的时间,通过干预改变河水的状况,三文鱼也会存活下去。虽然自闭儿不是在最佳时期到来的人,但也可以成为对社会有用的人。梵高是一个很有天赋的画家,可他的社交能力也很差。梵高就像是六七月份的三文鱼,而自闭儿则是十月、十一月份的三文鱼。所以,不要把自闭儿看作是有障碍的人,要把他们看作是区别于一般人的另一类人。
——ABA疗法创始人伊瓦尔·洛瓦斯博士
然而,康复干预究竟需要多久,这是一个谁也说不清楚的问题。
国际上衡量一个ASD儿童是否康复,往往以其是否能够进入主流社会为标准。而ASD患儿能否融入社会,则是一个社会系统层面的问题。
美国雪城大学教授、教育学家道格拉斯·比克伦(Douglas Biklen)对《三联》表示,人们谈论这个问题时,往往源自病理学角度,但在现实中,“一个特殊学生是会被纳入普通班级接受融合教育,还是会被送进一所特殊学校,这个可能性主要取决于当地的孤独症学生教育政策,而不是任何一种神经功能评估。关于有多少孤独症人可能发展出极好的替代性沟通能力这一问题……百分比很可能是对环境的一种反映”。
在美国,ASD人士的就业率高达30%,英国也有15%-25%之高。据公开报道,某些ASD患者特别适合从事操作机械、软件测试和编程方面的工作,或是送货员、园艺、温室管理、木工。《这世界唯一的你》中记录了一位对复杂地铁线路烂熟于心的ASD患者,从事于地铁线路咨询员的工作。
中国尚未有相关的权威统计数据。公开报道中,只有上海市1个名为栋栋的24岁的ASD人士,以图书管理员身份就职于上海市图书馆。据栋栋的母亲介绍,虽然栋栋已经能基本适应工作,也在不断进步,但仍然需要别人的帮助。
从康复机构、融合机构、福利政策、文化包容性,ASD患者需要的是一个社会性的支持系统。格林克尔教授认为,“自闭症不是疾病,而是一种缺陷……缺陷意味着一个人在某种特定环境中有困难,适应的责任不仅在这个人身上,也在他所生活的社群。如果这个社群懂得宽容,欣赏差异,他们就有更多的机会适应这个世界,并发挥自己的潜能。”
十年间,对ASD的基础研究进入快速发展。以肠道为干预靶标的方法正在介入ASD患者的治疗由于ASD病因不明,干预效果不一,相当多的医生和家庭会同时使用补充和替代疗法(complementary and alternative medicine, 补充和替代医学,简称CAM)。
ASD的补充和替代疗法,通常是指除了早期行为干预之外的疗法,包括饮食干预、服用维生素、益生菌、骑马治疗等等,在临床上使用普遍。
UPTODATE指出, ASD患儿的治疗决策应整合临床专业知识、患者和家庭的价值观和偏好,以及疗效的最佳证据。虽然ASD患儿的家庭经常采用CAM疗法,但在对照试验中证实有效(或无效)或安全的此类疗法很少。虽然缺乏高质量的证据,许多ASD家庭仍采用CAM,一些临床医生也推荐部分CAM疗法。
这类积极使用替代疗法的景象,在孤独症社区中非常常见——孤独症孩子们的家长抱团讨论,关注前沿医学成果,与医生一起互相交流新疗法是否在自己的孩子身上看见成效,或者成效何时到达了天花板。比如:补充维生素和微量元素法、无麸质无酪蛋白饮食(gluten-free casein-free, GFCF)饮食法。
人体肠道中存在数以万亿计的微生物。将ASD与肠道微生物联系在一起,是近年来才发生的事情。十年间,《细胞》、《自然》……各大权威医学刊物集体承载了科学家们对“人体第二基因组”的研究热情。
这类研究起始点在于:他们发现,约四分之三的ASD患者同时伴随胃肠道症状。
事实上,美国精神学会指出,回避性/限制性摄食障碍是ASD患者相当常见的特征,并且可能持续存在极端和有限的食物偏好。
一些ASD儿童只吃固定的几种食物(或某几种颜色的食物),并坚决拒绝饮食方式的改变,挑食严重。在出现胃肠道问题时,也往往因为不会表达而被忽视,或出现易激惹状态。相对于一般儿童,ASD患者感觉统合失调、胃肠道问题、睡眠障碍、饮食问题也更为多发。
2018年发表在《Microbiome》上的一则研究在ASD儿童中联合使用了GFCF饮食法和益生元。Grimaldi和他的同事在30名ASD儿童身上使用了6周低聚半乳糖,并在其中一组(A组)中去除了酪蛋白和谷蛋白。结果显示,干预组胃肠道问题随着干预的时间延长逐渐减少,A组的排便及胃肠胀气方面有了显著改善,但未联合限制性饮食组的肠道微生物多样性显著增加。
随着研究的深入,研究者们还发现,肠道微生物可以影响血脑屏障的通透性。这说明,肠道微生物对人类大脑的影响可能远远超过我们的预期。
其影响机制,可能通过血液系统、内分泌系统和神经系统而作用,这一相互关系被称为“微生物-肠道-大脑轴”(microbiome-gutbrain axis,菌肠脑轴)。
一则研究显示,36.7%的ASD儿童肠道通透性增加(肠漏),使毒性物质易透过肠道进入血液系统,再透过血脑屏障影响大脑发育。
ASD儿童氧化应激水平升高,能量运输能力下降、硫酸盐化作用和解毒能力降低;血液中生物素、谷胱甘肽、红细胞活性腺苷甲硫氨酸、血尿苷、血ATP、红细胞NADH、红细胞 NADPH、血硫酸盐以及血色氨酸等明显降低,而氧化应激生物标记物和血谷氨酸水平显著升高。此外,粪便中的多种短链脂肪酸和氨的含量也显著升高。
综合来看, 饮食可能通过蛋白质和氨基酸代谢、能量代谢、脂肪酸代谢、氧化还原/甲基化等代谢通路以及肠道微生物对ASD产生影响。
(饮食如何对ASD产生影响)
十年间,对ASD的基础研究进入快速发展,聚焦于肠道微生物与ASD的研究正吸引着广泛注意。在一些案例中,饮食干预不仅能改善ASD患者的营养状况,还能缓解一些胃肠道症状以及睡眠、刻板、自残、多动和暴躁等异常行为,甚至社交和语言能力等方面也有所好转。饮食、肠道微生物与ASD的关系,正在成为当前的研究热点。
知几未来将结合对肠道微生态前沿成果的一贯追踪,围绕饮食、肠道微生物与益生菌着重列举部分研究成果及案例,总结一些未来可期的干预方式,为各位医学工作者和ASD家庭提供参考。
1)Cell:脆弱类杆菌改变了ASD小鼠的肠道和行为2013年,加州理工学院的研究人员首次向人们展示,肠道菌群的改变能够影响ASD小鼠模型的行为。论文主要作者、生物学教授Sarkis K. Mazmanian表示:“以往人们只将孤独症看作一种遗传病或脑部疾病。而我们的研究显示,肠道菌也可能引起类似ASD的症状。”
这一发表于《Cell》的研究指出,在孤独症小鼠体内,受微生物调节的代谢产物,可以轻松进入血液循环,影响小鼠的行为。而益生菌疗法能够对这些代谢产物起作用。
实验人员用一种病毒类似物,触发怀孕母鼠的免疫应答,使其后代表现出ASD的主要行为特征。研究显示,这些母鼠的后代除了表现出孤独症症状,也同时患有胃肠道疾病。研究人员指出,这些小鼠的肠道发生了泄漏,使代谢产物能够通过肠道壁进入血液。一些孤独症患者体内也曾出现这种肠道通透的现象。
研究人员将脆弱类杆菌(Bacteroides fragilis)应用于ASD小鼠后,不仅使发生泄漏的肠道恢复正常,还改变了小鼠的ASD行为——更多的交流、更弱的焦虑感和更少的重复性行为。但不同的ASD患者异质性强,“脆弱类杆菌并不一定对每个人都有用”,Mazmanian说。
2)Cell:罗伊氏乳杆菌(Lactobacillus reuteri)逆转小鼠社交行为同样是《Cell》的一篇研究。2016年,美国贝勒医学院的研究人员发现,缺乏一种特定的肠道微生物会导致小鼠社交能力不足(而这种社交能力不足与人类ASD症状相似)。
经由全基因组测序,证实这种微生物是罗伊氏乳杆菌(Lactobacillus reuteri)。Buffington博士和同事将它添加到受影响的小鼠肠道,小鼠社交行为被逆转。
另一个有趣的视角是,我们已知催产素在社交行为中发挥关键作用,且与人类ASD有关。而罗伊氏乳杆菌也可以促进“融合激素” 催产素(oxytocin)的产生。
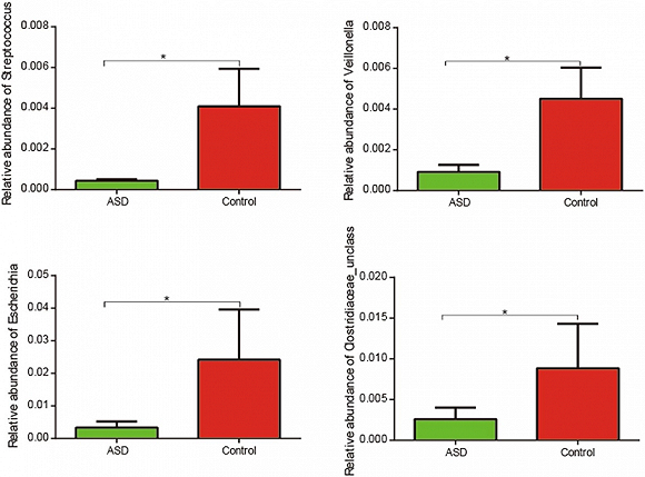
3)Scientific Reports:中国ASD患儿肠道微生物群分布2018年,Mengxiang Zhang团队发表于《Scientific Reports》上对35例ASD儿童和6例正常儿童的粪便检测显示,ASD组的粪便菌群与正常儿童相比:
他们的拟杆菌门/厚壁菌门的比值显著增加;
萨特氏菌、臭气杆菌和丁酸亚胺的相对丰度更高,而韦荣氏球菌和链球菌的丰度显著降低;
丁酸和乳酸产生的量减少。
此外,在人类微生物疾病关联数据库中,发现ASD与牙周病正相关,与1型糖尿病负相关因此,这些结果表明,基于微生物的疾病分析能够预测ASD与其他疾病之间新的联系,并可能在揭示ASD的发病机制方面发挥作用。
4)Microbiome:肠道微生物群转移治疗(MTT)改善ASD儿童胃肠道症状2017年,《Microbiome》刊登一则研究,亚利桑那州立大学的Dae-Wook Kang博士和同事对18名ASD儿童进行肠道微生物群转移治疗(Microbiota Transfer Therapy,MTT),评估改变肠道微生物群组成后对改善ASD儿童胃肠道疾病以及ASD症状的疗效。
MTT需要首先进行为期2周的抗生素治疗,之后再进行一个相对长期的FMT过程。评估结果显示,ASD儿童的胃肠道症状改善了大约80%,便秘、腹泻、消化不良和腹痛等症状都有着明显改善,而这种改善在治疗结束后依然持续了8周。而且,ASD儿童肠道内总细菌的多样性及双歧杆菌属(Bifidobacterium)、普氏菌属(Prevotella)和脱硫弧菌属(Desulfovibrio)细菌的丰度都得到了提升。这种改善也在临床评估显示出相似结果。
5)梭菌属、脱硫弧菌属、萨特菌属、短双歧杆菌或与ASD相关目前的研究发现,某些肠道微生物的异常可能跟ASD相关。
梭菌属(Clostridium)细菌可产生神经毒性物质或其前体物质, 一些晚发型ASD患者(late-onset/regressive autism)肠道菌群明显紊乱,破伤风梭菌(Clostridium tetani)产生的破伤风毒素异常高,并且梭菌属和瘤胃球菌属(Ruminococcus)细菌数量明显高于对照组。
还有研究发现, ASD患者体内的梭状芽孢杆菌(Clostridium bolteae)是正常对照组的46倍, 梭状芽孢杆菌Ⅰ和Ⅺ则分别是正常对照组的9和3.5倍, 并且ASD儿童肠道中的溶组织梭菌(Clostridium histolyticum)比例明显偏高。
除梭菌外, 脱硫弧菌属(Desulfovibrio)和萨特菌属(Sutterella)也可能跟ASD相关。大约50%的ASD儿童肠道中可检测到脱硫弧菌, 超过50%的伴有胃肠功能障碍的ASD儿童肠道中存在萨特菌,而正常人中几乎没有。但目前萨特菌和脱硫弧菌影响ASD的机制仍然不明。
近年来,临床上陆续存在一些使用益生菌或其代谢产物对ASD儿童进行干预的案例。比如,短双歧杆菌(Bifidobacterium breve)在一项涉及20名ASD儿童、持续4周的干预中,让48%的患者腹泻症状明显减轻,52%的患者便秘症状明显好转。然而,这些实验多少存在样本数量、类型的问题,或是缺少对照组和安慰剂组,暂时还不能充分回答所有问题。
如果你对这些前沿研究感兴趣,可以另外下载知几未来研究院出品的《肠道微生物如何影响自闭症》文献汇编,查看更多科学家在益生菌与ASD的探索成果:
在知几未来研究院公众号(微信ID:zhijiDNA)后台对话框回复「孤独症报告」,可免费获取报告全文的PDF版本。
上述这些研究,或许可以部分解释益生菌介入人类神经发育障碍的基础。
北京师范大学认知神经科学与国家重点实验室教授章晓辉表示,“肠胃系统、免疫系统与大脑之间的相互作用,尤其是涉及到神经疾病的发生、发展方面的研究,是近两年的研究热点,而外周神经系统参与自闭症等疾病的发生这一结论,已基本获得了学术界的认可”。
2010年发表的一篇流行病学统计论文揭示,人类母亲怀孕期间发生病毒感染,后代ASD的风险增加3倍。这两者之间的关联性尚未得到确认,美国德克萨斯西南医学中心的Craig M. Powell认为,妊娠期的第一个和第二个阶段的病毒感染很可能是危险因素。
肠道细菌、免疫系统和大脑发育之间的复杂相互作用,为ASD相关的基础研究提供了有价值的突破口。如果肠道微生物与ASD的因果性、关联性在人体中继续得到更多、更明确地证实,那么无论是通过简单的饮食变化还是通过其他的手段,或在孕期就实现早期介入,也不失为降低ASD发生风险的一种可行方法。
参考资料
[1]Barnett, P J, Maticka-Tyndale E. Qualitative Exploration of Sexual Experiences Among Adults on the Autism Spectrum:Implications for Sex Education.Perspectives on Sexual & Reproductive Health, 2015,47(4): 171-180.
[2]CDC:Community Report from the Autism and Developmental Disabilities Monitoring (ADDM) Network;Community Report on Autism 2018
[3]GEN:Autism and Mom’s Microbiome Could Be Linked
[4]Autism Society of Washington
[5]Dustin Hoffman ruined everything:How an Oscar-winning performance changed autism
[6]Grimaldi R etc., A prebiotic intervention study in children with autism spectrum disorders (ASDs), Microbiome. 2018 Aug 2;6(1):133. doi: 10.1186/s40168-018-0523-3.
[7]AUTISM SPEAKS:Applied Behavior Analysis (ABA)
[8]ICD-11 for Mortality and Morbidity Statistics (2018)
[9]Rutter M. Aetiology of autism: Findings and questions. J Intellect Disabil Res, 2005, 49: 231–238
[10]de Magistris L, Familiari V, Pascotto A, et al. Alterations of the intestinal barrier in patients with autism spectrum disorders and in their first-degree relatives. J Pediatric Gastroenterol Nutr, 2010, 51: 418–424
[11]El-Rashidy, O., El-Baz, F., El-Gendy, Y., Khalaf, R., Reda, D., and Saad, K. (2017). Ketogenic diet versus gluten free casein free diet in autistic children: a case-control study. Metabolic brain disease.
[12]Grimaldi, R, Gibson, GR, Vulevic, J, et al. A prebiotic intervention study in children with autism spectrum disorders (ASDs). Microbiome,2018, 6: 133.
[13]Shelly A. Buffington etc., Microbial Reconstitution Reverses Maternal Diet-Induced Social and Synaptic Deficits in Offspring, Cell, JUNE 16, 2016, DOI:https://doi.org/10.1016/j.cell.2016.06.001
[14]Dae-Wook Kang, James B. Adams, Ann C. Gregory, et al. Microbiota Transfer Therapy alters gut ecosystem and improves gastrointestinal and autism symptoms: an open-label study[J]. Microbiome, 2017, 5. DOI: 10.1186/s40168-016-0225-7
[15]Elaine Y. Hsiao, Sara W. McBride, Sophia Hsien, Gil Sharon, Embriette R. Hyde, Tyler McCue, Julian A. Codelli, Janet Chow, Sarah E. Reisman, Joseph F. Petrosino, Paul H. Patterson, Sarkis K. Mazmanian Microbiota Modulate Behavioral and Physiological Abnormalities Associated with Neurodevelopmental Disorders. Cell, 05 December 2013; DOI: 10.1016/j.cell.2013.11.024
[16]Adams J, Audhya T, McDonough Means S, et al. Nutritional and metabolic status of children with autism vs. neurotypical children, and the association with autism severity. Nutr Metab, 2011, 8: 1
[17]Adams J, Audhya T, McDonough Means S, et al. Effect of a vitamin/mineral supplement on children and adults with autism. BMC Pediatr, 2011, 11: 1–30
[18]Finegold S M. State of the art; microbiology in health and disease. Intestinal bacterial flora in autism. Anaerobe, 2011, 17: 367–368
[19]Finegold S M, Downes J, Summanen P H. Microbiology of regressive autism. Anaerobe, 2012, 18: 260–262
[20]美国精神医学学会,张道龙 等译,《精神障碍诊断与统计手册》(第五版),2016年5月,北京大学出版社
[21]陶国泰,婴儿孤独症的诊断和归属问题 [J] . 中华神经精神科杂志,1982,15( 02 ): 104-107.
段云峰,吴晓丽,金锋,《饮食对自闭症的影响研究进展》,2015年6月,《中国科学》杂志社
[22]中国精神残疾人及亲友协会,《中国孤独症家庭需求蓝皮书》,2014年9月,华夏出版社
[23]普瑞桑(Prizant B. M.),菲尔兹-迈耶(Fields-Meyer T.),陈丹 等译,《这世界唯一的你:自闭症人士独特行为背后的真相》,2016年2月,机械工业出版社
[24]陈婕,《蜗牛牵我去散步:自闭症专家妈妈的育儿经》,2016年1月,上海社会学院出版社
[25]贾美香,鲍秀兰,《孤独症儿童早期发现》,2014年6月,华夏出版社
[26]郁万春,《自闭症康教案例研究》,2015年10月,世界图书出版广东有限公司
[27]Valerie Hu,孔学君 译,《自闭症研究前沿:诊断治疗新视野》,2017年5月,人民卫生出版社
[28]新华网:新研究发现百余种与自闭症相关基因
[29]卫生部,《儿童孤独症诊疗康复指南》,卫办医政发〔2010〕123号
[30]世界卫生组织:关于泛自闭症障碍的常见问题
[31]UPTODATE:儿童和青少年孤独症谱系障碍:治疗概述;临床特征;药物干预;专业术语、流行病学和发病机制;儿童和青少年孤独症谱系障碍的补充和替代疗法;初级保健中的监测与筛查;行为和教育干预;孤独症与慢性疾病:没有证据显示疫苗为促发因素
[32]自闭症医学进展:麸质在脑部炎症中的作用;生酮饮食与无麸质无酪蛋白饮食对自闭症儿童的作用;中国孤独症儿童肠道菌群研究益生元与限制性饮食联合改善自闭症症状
[33]《财新》:专家:大量3岁以下孤独症患儿未被诊断;孤独症发病率上升 环境毒素增加胎儿患病风险?;自闭症为何居儿童疾病之首? 美科学家提发病机制新解;数字说:自闭症儿童:无助越久 孤寂越深;报告称中国自闭症患者可能超过千万;残联官员:中国自闭症诊断医生不足百人;研究发现:孕期发烧可能增加胎儿患自闭症的几率;研究揭示孕期炎症导致后代自闭症的触发机制;记者手记:从自闭症家庭负担的中美差距想到的
[34]《三联》:孤独症:遗传之谜;孤独症;自闭症:不一样的心智
[35]腾讯较真:特朗普说打疫苗会引起自闭症,这是错误的
[36]大米和小米:无谷无奶饮食能否拯救自闭症孩子?
来源: 知几未来研究院
原标题:他们不安静、不浪漫,他们中的大多数也不是天才
(本文来自于界面)