新浪财经

抢生猪宝宝?中国人生孩子看属相吗?

澎湃新闻

关注

抢生猪宝宝?中国人生孩子看属相吗?


2019-02-06 12:26
送走狗年,迎来猪年,也许很多家庭现在正酝酿着抢生一个猪宝宝,毕竟传说中的猪宝宝勤劳勇敢、心地善良、为人正直、沉着稳重,虽然刚刚迎来猪年,但是我们还是要友情提示大家抢生猪宝宝的窗口已经越来越小了。

我们曾经用钢铁般的事实证明了“星座里都是骗人的”(扒扒星座那些事:你离明星只差一个天秤座?)。不过,相比于源起西方的星座学,东方的生肖文化似乎被更多的中国人所关注,尤其是对生育的影响上,毕竟控制孩子的生肖比控制孩子的出生月份看起来要容易得多。最近关于生肖对生育影响的关注则更多在生育政策效果的讨论,因为“单独二孩”政策实施的第二年、“全面两孩”政策实施的前一年,即2015年,恰逢羊年,“羊年不生子”的说法使得政策效果变得愈发难以估计。所以,探索一下国人生育的生肖偏好是十分必要的,“严八”自然是义不容辞。

1.  “子鼠丑牛寅虎卯兔”你会背么

早在先秦时期便已经有了较为完整的生肖系统,而现代十二生肖的记载则可以追溯到东汉王充的《论衡》,也就是我们小学课本里的必背篇目“子鼠、丑牛、寅虎、卯兔、辰龙、巳蛇、午马、未羊、申猴、酉鸡、戌狗、亥猪”(不管你要不要背,反正我得背)。而十二生肖的文化起源则众说纷纭,最为人们熟知的可能便是轩辕黄帝选派十二个动物担任宫廷卫士,老鼠忘记替猫报名,从此以后仇人相见分外眼红的传说。不论起源如何,历经数千年的沉淀,十二生肖早已融入人们的生活,也被赋予了更多的文化内涵,受到人们的尊崇和膜拜。

虽然十二生肖受人尊崇,但在一些旧思想中仍然也要分个三六九等。比如“十羊九不全” [1]、“女属羊命不长”、“虎女命不好”等等,日本的“赤马诅咒”(Hinoeuma)[2]认为属马是命硬和不幸的象征,尤其是出生于火马年的女性,而龙年出生则会被视为“属龙行大运”,猴年出生的孩子聪明有出息。另外“吉年生吉子”的心理作用,让很多准备生宝宝的夫妻面对“千禧龙年”、“金猪年”甚至“奥运年”的时候也不再那么淡定。

[1]“十羊九不全”的迷信源自清咸丰年间,本为“十羊九福全”,却被后人误写为“十羊九弗全”,后又被以讹传讹变为“十羊九不全”。

[2]“赤马诅咒”又称“红马赤兔诅咒”,指丙午马年出生的女性命途多舛。1906年和1966年两个丙午马年日本出生率的低谷加深“赤马诅咒”的影响,进而使得所有属马的女性都受到歧视。后来,这个说法流传到韩国,也产生了深远影响。

2.  属相决定命运?不存在的!

虽然这些看起来都是赤裸裸的迷信,但本着“严肃八卦”的精神,小编去搜索了一下娱乐圈。这一搜可不得了,“小绵羊”张艺兴,女神陈乔恩、高圆圆、汤唯、章子怡,还有中国喜剧届扛把子沈腾,男神霍建华、吴尊,以及相声界的颜值担当张云雷都属羊。再看看虎女,不仅有大幂幂、江疏影、孟美岐,还有自带锦鲤光环的杨超越(凭实力为“虎女”带盐)。

But,“严八”还是要用严肃的研究来说话。有一种貌似科学的说法是生肖的吉利与否与太阳的黑子活动有关。然而学者通过对1755年-1990年太阳黑子活动周期的研究发现并非所有羊年都对应太阳黑子高峰年,龙年都对应太阳黑子适中年,所以认为羊年受太阳黑子活动影响较大,生育不吉利是不科学的(吕厚东等,1993)。

那么从人口统计的角度来看,不同生肖的人群是否有着不同的命运呢?生肖龙是整个亚裔文化圈的共同偏好,除了中国,韩国、新加坡以及泰国民众也都普遍相信“属龙行大运“的说法。《福布斯》杂志2002年11月1日的报道中发现若按照中国的生肖来看,美国前400名的富翁中属龙的有43人,占比11%,高于其他生肖,从而认为属龙的人要么更幸运,要么更能够利用自己与生俱来的人力资本。

关于美国亚裔移民的实证调查也发现,属龙的人更加成功。那么“龙”真的这么有魔力吗?一些结果相反的研究很快跳出来啪啪打脸了,有研究利用中国香港人口普查数据来测算教育回报,并未发现属龙命运更好的证据(Wong & Yung,2005)。进一步地,利用美国人群(不受生肖观念影响)的研究,同样未发现龙年出生对收入的显著提升效应(Senbet & Huang,2012)。

该如何理解这些互相矛盾的结果呢?一种解释是一些研究并没有考虑不同生肖人群的出生规模,而另一种更具有说服力的解释是 “龙年生吉子”的信念是一种“自我实现预言”(Johnson & Nye,2011)。“自我实现预言”在心理学中又被称为“皮格马利翁效应”[3],简单来说就是如果你得到了事情会顺利发展的强烈暗示,就会培养出自信的态度和破除万难实现预言的决心,从而在最后更大可能实现预言。

[3]由美国著名心理学罗伯特·罗森塔尔和莱诺尔·雅各布森提出。他们到一所小学对学生进行了“未来发展趋势测验”,并随机挑选出一份名单,谎称是“最有发展前途者”交给了校长和相关老师。这个“谎言”影响了老师们对名单上学生的评价,而老师通过情感、语言和行为将评价传染给学生。8个月后,奇迹出现了:凡是上了名单的学生成绩都有了较大的进步,且性格活泼开朗,自信心强,求知欲旺盛。

在美国的亚裔移民中,“龙年生吉子”的观念普遍存在,而1976年龙年出生的亚洲移民相对于其他年份的移民也确实存在更高的教育水平,而这种明显的差异在其他族裔人群中并不存在。同时研究者发现龙年生育子女的母亲受教育水平更高、更富有并且年龄也更大一些。那么这批龙年出生孩子的教育优势很有可能是家庭主观上对生育计划的调整,并且后来给予这些孩子更好的人力资本投入的结果。一些其他研究运用省级面板数据和中国城市双胞胎数据同样表明,教育回报中的很大一部分是由于能力或家庭效应(Li et.al.,2012;Mocan & Yu, 2017)。所以说,真正起作用的并不是属相本身,而是父母强大的信念与投入。所谓生肖带来的运气和吉祥,不存在的!

另一方面,生肖论命也可能是自毁预言,是个体理性造成的集体非理性。扎堆生育“龙宝宝”将使得短期内无法得到调整的教育资源尤其是高等教育资源变得“紧缺”(Sim,2015),在结婚、就业、医疗、养老等方面都面临着更加激烈的竞争。那么反过来看,羊年或者所谓不吉利年份出生的孩子,并没有体现出生存或者成就上的劣势。这是因为回避生育导致规模缩小的“羊宝宝”们,很有可能因资源竞争压力的减小而获得优势。

3.  “羊年”真的说不生就不生了?

生肖决定命运之说的原因并不在生肖本身,而在于资源禀赋。但是,受文化的影响,不可避免地会有人对某些生肖存在着偏好。那么问题来了,生肖偏好是否真的会影响生育行为?中国人是否真的爱生“龙宝宝”、“猴宝宝”而回避生育“羊宝宝”呢?个体的偏好是否形成了社会显著的人口学特征呢?这又是“严八”最擅长的领域了。

先从出生人口数上来看,1933-2015年间,兔龙蛇3年“倒V”型仅在1933-1945年的第1轮生肖轮回中出现,而马羊猴3年的“V”型波动仅在地3和第4轮中出现(谭远发等,2017)[4] 。新中国成立以来的6个羊年,除1991年外,其他4个羊年的出生人数均比前一年马年有所减少(郭震威等,2017)。虽然1955和1991年两个羊年的出生人数显著少于对应的马年,但之后的猴年出生人数更少,并未出现推迟生育的补偿性生育的情况。而1967和1979年两个羊年出生人数也只是略少于前一年的马年。与猴年相比,仅有1967年和1979年两个羊年的出生人数比后一年猴年的出生人数少(段成荣和王艺佳,2003)。

[4]此研究利用CGSS调查数据,与全国数据可能有所偏差。

来源:谭远发等,2017.

来源:郭震威等,2017.

但是生育偏好的测量并不像得到的票数越高就能够出道那样简单,我们也是有指标的。首先是改造年龄偏好指数得到的羊年偏好指数,计算羊年出生人口相对于马年和猴年的平均水平。利用该指标发现1955年-1999年间4个羊年并不存在显著的生育回避(段成荣&王艺佳,2003)。马妍(2010)用同样的方法构造了所有生肖的偏好指数,并且发现从1949年-2008年期间仅有4个年份有异常变动。因此认为,生肖偏好并未对人们的生育行为产生显著影响。

但是在另一方面,也有作者考虑到“抢生”和“补生”的时效性,将这一指标进行了扩展,前后分别加上蛇年和鸡年的考虑,并且引入强弱阈值的概念(郭震威等,2017)。结果发现,按照强阈值来判断,1955年和1979年两个羊年存在生育的生肖回避,而按照弱阈值来判断,除了1991年以外,1949-2015年间其余4个羊年均存在生育的生肖回避现象。

分地区的考察,北京、辽宁、吉林、黑龙江、四川、贵州、青海等北方和西部省份羊年效应更为明显。分时期考察,1980年之后羊年回避生育的效应有所减弱。专门针对北京1978-2016年间的生肖偏好的研究,也发现了规律性的羊年回避而马年、猴年生育更多的规律,同样印证了北京市生育的生肖偏好情况(马妍,2017)。

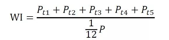
除了生肖偏好指数之外,惠普尔指数和迈耶尔指数也同样被应用于测量生肖偏好。惠普尔指数的计算方法为:

其中Pti表示第t轮某个生肖对应年份的出生人口数,P为考察期间出生人口数的加总。马妍(2010)计算的1949-2008年12个生肖的惠普尔指数,尽管有5个生肖存在微弱的生肖回避或偏好现象,但并不足以认为是真正意义上的偏好或回避。而谭远发(2017)利用CGSS数据计算的结果却显示人们虎和兔的偏好较高,对羊的偏好最低。(迈耶尔指数的构造则更为复杂,用于综合考察生肖偏好情况,在此不做具体介绍,相信聪明的严八粉丝们可以自己搞定的~)

来源:谭远发等,2017.

不过出生人口数会受到育龄妇女规模、分布及生育水平和模式的影响,在充分考虑育龄妇女规模变动的情况下考察一般生育率的变动是衡量生育偏好是否存在的更为合理的方式。

北京市1978-2016年间除1978年外的三个羊年的一般生育率均较其前后的马年和猴年有明显的下降,即存在较为明显羊年回避现象。而全国的一般生育率波动则没有那么明显,同时也未出现明显的羊年低于其前后马年及猴年的情况,2015年的马羊猴“V”型变动可能受生育政策调整的影响居多。

1978-2016 年北京市一般生育率变动趋势

来源:马妍,2017.

1987-2016年中国一般生育率变动趋势

数据来源:《中国人口和就业统计年鉴1988-2017》、《2017中国卫生统计年鉴》

这些复杂和混合的结果显示,生肖偏好和回避现象在全国范围内表现并不显著,但是这并不是说明生肖偏好就不存在,只能说明生肖偏好并没有形成显著的人口学特征,因为家庭生育决策实际上受多种复杂因素的综合影响。同时,这些结果也说明,在我国对生肖的偏好存在明显的地域差异,这些现象在诸如北京等北方和西部地区更为明显,但在南方表现并不显著。然而值得注意的是,随着互联网和社交媒体的普遍使用,一些地域性的观念可能会更快传播,形成更普遍的影响。2015年,回避“羊年”的说法就比以往影响力更深远。

参考文献:

[1]Johnson, N. D. , & Nye, J. V. C. . (2011). Does fortune favor dragons?. Journal of Economic Behavior & Organization, 78(1-2), 0-97. 

[2]Mocan, N. H. , & Yu, H. . (2017). Can superstition create a self-fulfilling prophecy? school outcomes of dragon children of china. Nber Working Papers.

[3]Sim, & Nicholas. (2015). Astronomics in action: the graduate earnings premium and the dragon effect in singapore. Economic Inquiry, 53(2), 922-939.

[4]Wong, K. F. , & Yung, L. . (2005). Do dragons have better fate?. Economic Inquiry, 43(3), 689-697.

[5] 段成荣,王艺佳.从“停电婴儿”到“羊年不宜生子”——兼论如何科学地分析人口现象[J].人口研究,2003(03):72-77.

[6] 郭震威,袁艳,茅倬彦.对羊年生育回避效应的再讨论[J].人口与发展,2017,23(01):24-29.

[7] 马妍.吉年生吉子?中国生肖偏好的实证研究——基于1949~2008年出生人口数[J].人口研究,2010,34(05):104-112.

[8] 马妍.北京出生人口规模变动中的生肖偏好和避讳研究[J].青年研究,2017(06):36-45+92.

[9] 吕厚东,李荣华,白建青,吕厚远.十二生肖与优生[J].中国社会医学,1993(01):41-44.

[10] 孙涛,逯苗苗,张卫国.生肖偏好的经济解释和现实影响[J].经济学动态,2018(03):115-125.

[11] 谭远发,孙炜红,周云.生肖偏好与命运差异——为何“龙年生吉子,羊年忌生子”?[J].人口学刊,2017,39(03):32-43.

本期作者:董浩月   中国人民大学社会与人口学院  硕士研究生 

责任编辑:李婷      中国人民大学社会与人口学院   副教授

稿件首发于“严肃的人口学八卦”微信公众号,转载请注明出处“严肃的人口学八卦”、作者名以及“发自澎湃新闻湃客频道”。转载和合作事宜请联系yansurenkou8gua@163.com

(本文来自于澎湃新闻)

加载中...