【方正金工】量价齐飞,水天一色:基于价量互动的选股因子2——“因子七十二变”系列之三
新浪财经
►报告要点
➢ 系列介绍
走进“量”与“价”的世界,揭示股市微观交易结构的奥秘,本篇报告是“量价互动”选股系列的第二篇。研究发现,“股价与换手率”相关性的强弱,透露了主力资金的交易行踪。
➢ 因子逻辑
过度投机的股票往往股价突然启动,出现价升量涨、量价齐飞的现象,次月股价大概率高位回落。基于这种现象,我们构建了“量价齐飞”FLY 因子,以此来描述股票短期的交易热度。
➢ 选股效果
市值行业中性后的“量价齐飞”因子 IC 为-4.81%,RankIC为-5.93%, ICIR 为-2.32。全部中性后因子 IC 为-3.26%,RankIC为-3.73%,ICIR 为-2.04,拥有较强的独立选股能力。
➢ 下集预告
下一篇报告《量价抢跑,推陈出新》中,我们将探索量价关系的第二个维度:“涨跌幅与换手率”的关系,对当日与隔日之间复杂的量价纠缠现象建模,刻画纯粹的成交量相对涨跌幅抢跑的行为。
►风险提示
本报告基于历史数据进行回溯测试,不构成任何投资建议。 市场未来投资者行为可能发生较大变化,因子面临失效的风险, 本报告仅供参考。

资料来源:wind资讯,方正证券研究所
“落霞与孤鹜齐飞,秋水共长天一色”——《滕王阁序》
夕阳无限好,只是近黄昏。量价齐飞,恐怕只是日落之前,最后一道风景。
引言: 一个量价齐飞的案例 1股市中常见“量价同向”与“量价背离”的走势关系,本篇报告从这种简单的现象出发,通过量价之间的互动关系构造选股因子,在大数据下捕捉主力资金的交易行踪。研究发现,异常的量价互动关系往往蕴藏着独立的Alpha,具有对未来股价稳定的预测能力。
以2017年10月百合花(603823.SH)为例,当月股价突然启动,出现价升量涨、量价齐飞的现象,次月股价高位回落。这种短期量价同步的现象,是否暗示着股价未来的走势?这是本文议论的焦点。
带着这个问题,我们在全市场上进行了探讨,利用量价互动关系,挖掘出新的“量价齐飞”因子。

本篇报告是“量价互动”系列的第二篇专题,距离上一篇相隔了正好一年。一年的沉淀,与友人多做切磋,闲暇之时常做思考,又有颇多心得体悟,近期做了整理,汇编成两篇新的报告,以飨读者。
本系列报告的核心理念是在量价互动之间寻觅Alpha。“金融市场中有价值的信息,必定要通过交易才能兑现,而但凡做过交易的,又必定留下痕迹。”因此,用行为学眼光考察价量数据,会是潜能巨大的alpha之源。
传统量价因子的关注点多逃不出以下三类:反转、换手和波动,本系列报告从价量互动这个独特的视角出发,探索量价之间的关系,构建全新的选股因子。 除了展示因子的定义与测试结果外,报告还将竭力探讨因子Alpha的来源和因子背后的故事。
我有个小心愿,这三篇报告不仅仅为市场带来三个新因子,更能带读者进一步走进“量”与“价”的世界,揭示股市微观交易结构的奥秘。

量价关系可以从两个角度切入,一个是股价与成交量的关系,另一个是涨跌幅与成交量的关系。前者反映的是较为基础的量价关系,量价同向还是量价背离。后者更侧重于反映价格异动与成交的关系,短期价格异动现象是否伴随着换手率的抬升。本篇报告的出发点是前者,即关注股价与成交量之间的同向关系,尤其是“量价齐升”所蕴藏的Alpha,下一篇报告将关注后者。
古老的交易经验告诉我们“天量见天价,地量见地价”,这其中隐含的数学概念是,股价和成交量之间存在着一定正相关的关系,价格越高,成交量越大。
Ying(1966)通过对标普500指数日度收盘价和纽交所日度交易量数据进行实证分析,发现股价下跌时交易量较小,股价上涨时交易量通常较大。李丽(2011)曾对我国股市建立过描述股价和成交量之间内在关系的ARMA-GARCH组合预测模型,发现股价和成交量呈现出时变的正相关关系。

本文聚焦的是“股价与成交量”的关系,股价的代理变量是个股复权收盘价,以修正分红、高送转等影响,成交量的代理变量是自由流通换手率,以修正股票市值大小带来的成交量不可比的影响。
我们对2007年至今的全A股数据进行统计(具体步骤详见文末附注一),将标准化换手率从小到大等量分成1~10组,统计各组标准化价格的均值,见图表4。将标准化价格从小到大等量分成1~10组,统计各组标准化换手率的均值,见图表5。
整体来看两者均呈现出较强的正相关关系,和我们的交易直觉“天量见天价,地量见地价”十分吻合。


上述现象可以简单总结为“量价同向”。特别地,我们发现10分组下第十组数值较大,放量时倾向上涨,上涨倾向于放量。这是股市中常见的一种非理性行为,可以由行为金融学中的“处置效应”和短期市场“过度投机”现象进行解释。
“量价同向”背后的根本原因还是A股市场散户众多,80%-85%的交易量由散户贡献,因而定价中存在诸多非理性的现象。

散户的交易模式往往具有“处置效应”,即散户投资者在处置股票时,倾向卖出赚钱的股票而继续持有赔钱的股票。这种现象出现的原因是,投资者在处于盈利状态时是风险回避者,而处于亏损状态时是风险偏好者;因此在股价下跌时,散户往往都有惜售心理,交易量下降;股价上涨时,散户见好就收,纷纷卖出股票,交易量上升。从这个角度看,散户投资者这种“出赢保亏”的非理性交易行为导致了“量价同向”。

本文侧重于用从股市投机行为来解释上述现象,短期投机现象是指A股市场中存在的短期投机周期,我们试列举一个较为典型的投机周期中可能发生的故事。
首先,庄家会慢慢潜伏进入一支正常交易的股票,获取股票筹码,这个阶段庄家善于隐藏,往往难觅踪迹。
第二阶段,庄家往往通过一系列复杂的价格操纵手法进一步加仓,吸引市场关注度,引诱散户跟风买入。该阶段量价异象较多,如急剧买入可能造成股价短期迅速攀升,换手提高,波动急剧。绝大多数的A股交易行为因子都是在这个阶段,捕捉量价异象。
第三阶段,庄家会在激烈的换手中逐步抛出筹码,散户在这个击鼓传花的游戏中持股持续增加。
第四阶段,当筹码逐渐集中在散户手中时,往往意味着一个投机周期的终结。股票关注度下降,流动性枯竭,市场炒作终结,价格回归正常水平,静待下一个周期的开启。循环往复,生生不息。
总结来说,短期过度投机行为会造成量价异动,在未来一段时间带来负向Alpha。而如何定义量价异动,是量价类Alpha因子挖掘的核心工作。本篇报告关注的量价异象是“量价齐飞”。

本文着重于从短期投机现象出发,构建指标描述投机行为造成的量价同向现象。特别地,我们期待发现“量价齐飞”的互动关系,在单独的“量升”和“价涨”的逻辑外,带来独立的Alpha。
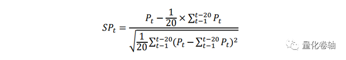
根据上一章的结论,大数据下量价之间呈现出近似于正相关关系。很自然的,我们考虑采用Pearson相关性系数来衡量量价之间的关系。因子初步构建为:
其中P为个股复权收盘价序列,Turn为自由流通换手率序列,两者没有做标准化处理,我们采用过去一个月(20个交易日)的交易数据来构建这个因子。
因子值大,说明量价同向;因子值小,则反应量价背离。在后续的测试中,我们发现因子的Alpha主要来源于因子较大的分组,该组呈现出明显的“量价齐飞”的特点,具有显著的负向Alpha。基于上述关系,我们将因子命名为“量价齐飞”因子,以下简称为“齐飞”因子,英文简记为FLY,力图捕捉量价齐飞的个股。

样本期内,“齐飞”因子均值为0.43,标准差为0.32,中位数为0.49,呈现出左侧厚尾的不对称分布,且因子大概率取值为正,仅有11%的概率取值为负,即股价和交易量多数情况下正相关,与我们的直觉相符。

为进一步分析“齐飞”因子在时间序列上的特征,我们逐月计算了2007/01/01到2018/08/31期间因子在全市场的均值、上10%分位数、50%分位数和下10%分位数。
整体来看,因子的时间序列特征比较稳定,仅在2008年5-8月、2015年8月、2016年1月等市场大波动月份略有下滑,其余时间各分位数的因子值波动不大。

在本章的收益测试中,我们一律采用中性后(原始因子结果与因子风险暴露见下章)的“齐飞”因子,剔除掉中信一级行业、对数市值、反转、波动和换手这些常见因子的影响。具体方法为横截面回归取残差,计算公式如下:

我们首先来看一下“齐飞”因子的月度IC和RankIC序列。因子IC均值为-3.26%,年化ICIR为-2.1,取值为负的频率为72.99%,小于-3%的频率为51.82%。RankIC均值为-3.73%,取值为负的频率为77.37%,小于-3%的频率为59.12%,具有较强的预测能力。


将因子值从小到大依次分成十组,构建组合,统计各组收益。10分组下各组收益有明显的分化,呈现出较强的单调性。因子值小则收益较高,因子值大则收益较低。


假设我们做多“齐飞”因子第一组,做空第十组构建多空组合,下面考察多空组合的收益和回撤情况。在复利情况下,多空组合年化收益达到15.3%,年化波动为6.35%,IR为2.41,最大回撤为6.41%,波动非常小。
由于测试中已经剔除常见量价因子、市值、行业的影响,可以认为“齐飞”因子具有较为明显的增量Alpha。


本章我们将讨论原始(非中性化)“齐飞”因子的因子收益、风险暴露及其现实意义。
首先,通过计算因子截面相关系数,我们可以得到该因子与“对数市值”、“反转”、“波动”、“换手”因子之间的相关性。从图表18可以看到,“齐飞”因子与市值负相关,与反转、换手和波动正相关,这表明“齐飞”因子值较大的股票,作为组合的空头,倾向于市值较小,短期涨幅大,换手高,波动也较大。

若不做中性化处理,因子收益会进一步提升。IC达到-4.32%,RankIC达到-5.64%,因子多空组合年化收益率达到21.5%,但波动会上升。如果只做行业和市值中性处理,不对换手、反转、波动进行回归,IC为-4.81%,RankIC为-5.93%,ICIR为-2.32。

我们再比较中性化前后因子的多空组合净值,由于原始因子空头在小市值上有所暴露,导致在2013-2015年的小市值牛市里,因子表现欠佳,回归行业、市值后效果得到改善。
回归掉行业+市值+波动+反转+换手后,多空组合虽然收益下降,但波动率也明显下降,整体回撤非常小,呈现出明显的Alpha特性。

上一章的因子测试结果表明,“齐飞”因子值越大,暗示量价同向,则股价未来倾向于下跌;“齐飞”因子值越小,则暗示量价背离,股价未来倾向于上涨。
那怎么来直观地理解量价同向与量价背离呢?我们引入量价关系四象限图,试图作进一步的分析。如图表21所示,根据成交量的和股价的相对大小这两个维度,我们可以把所有股票分割成四象限。其中一三象限意味着量价同向,二四象限意味着量价背离,那因子值大到底捕捉的是第一象限、还是第三象限、亦或两者皆而有之?
总结来说,本章研究希望能从一维的量价相关性大小,拓展到二维的量价四象限图进行探讨。

前文研究表明,自然状况下量价呈现出正相关的特点,见图表4与图表5。为了进一步深化讨论,我们进行如下统计,将某支股票的历史标准化价格和标准化换手率按照大小各自等量分成5组,形成25格的矩阵,统计双独立变量出现的概率,方法说明详见文末附注。
根据图表22,双独立变量量价关系概率矩阵在次对角线(左下到右上)明显突出,矩阵大致关于次对角线对称。结合图21的四象限简化模型,可以发现股票位于一三象限的概率要大于二四象限,即股票天然的呈现出更容易放量上涨和缩量下跌的特点。

本文通过构建“齐飞”因子来统计量价互动的关系,我们想探讨的是,如果因子值比较大,量价关系异常的具体表现是什么?这种变化是不是随着因子值的变化,呈现出趋势性的规律?
沿用上述思路,我们根据“齐飞”因子将股票分成十组,分别进行同样的统计。我们力图探索,因子值较大,即“量价同向”,到底描述的是哪种量价组合。
图表23表述的是“齐飞”因子第一组(因子值较小)的量价特征,图表24表述的是“齐飞”因子第十组(因子值较大)的量价特征。前一张图倾向于在主对角线(左上右下)方向概率偏大,后一张图在次对角线(左下右上)方向概率明显突出。
直接观察该矩阵不够直观,这受到两重因素的影响:1是图表23所蕴含的天然概率分布,2是因子分组带来的效应。我们期望进一步剔除天然概率分布的影响,只考察因子自身的分组结果。


我们定义的特质概率是指分组概率分布减去全A股自然概率(图表22)得到的超额概率分布,如图表25和26所示,以此来对图表23、24中的两个矩阵进行优化。
图表25直观体现了“齐飞”因子较小,倾向于选出什么样的股票。因子较为均匀地在次对角线(左下右上)方向上比较小,尤其是右上放量上涨和左下缩量下跌的股票较少。相反,右下放量下跌的股票出现的概率更大一些,左上缩量上涨端,不明显。整体来看,各组相对均匀。
图表26展现了“齐飞”因子较大,倾向于选什么样的股票,这里的结论十分有趣。整个矩阵几乎只在右上角的4个格子里出现了明显较大的概率,尤其是最右上角代表极度放量上涨的股票,超额概率达到13.3%,远远高于基准。这意味着,因子值较大几乎全部集中在量升价涨的股票。即因子值大,倾向于选图表21中第一象限的股票,而较少地选中第三象限的股票。
“量价齐飞”是短期过度投机现象的一种表现形式,它会导致股价未来一个月会下跌,这是整个组合的核心Alpha来源,和我们在第二章阐述的短期投机行为相吻合,也解释了为什么Alpha偏向空头。
因子的命名也来自于此,尽管因子表面上是衡量量价同向/背离,但它的核心逻辑还是捕捉“量价齐飞”的这种特殊的现象,背后所暗含的则是股票市场中的短期过度投机行为。


鉴于Alpha主要来源于“量价齐飞”的股票,我们是不是可以通过剔除一些量低价小的股票(可能是噪音),对因子进行改进?
在因子计算上,我们对原始算法进行一个有趣的调整:根据过去一个月股票换手率(或者收盘价)的大小,在时间序列上丢掉一部分数据,以此计算截尾“齐飞”因子的IC。例如我们可以砍掉价格较低的40%数据,只取价格最高的60%的数据计算得到因子FLY_(cut_p60)

图表28中,根据换手率,依次去掉最小的0%,10%,20%...90%的数据,构成10个新的截尾因子,其对应的IC如灰色曲线所示。依次去掉换手最大的0%,10%,20%...90%的数据,构成10个新的截尾因子,其对应的IC如红色曲线所示。因子在右侧IC损失较快,暗示高换手的股票蕴藏更多的(负向)Alpha。
同理,图表29展示了根据价格截尾计算得到的两组截尾因子IC。较有启发意义的是灰色的曲线,曲线从左到右呈现出先降后升的特点,这意味着去掉部分价格较低的数据可以提升因子的预测能力。


“量价齐升”是本篇报告的核心Alpha来源,在与之相对的缩量和价跌两个方向上,要么Alpha不显著,要么伴随着一定的噪音,这是截尾因子IC可以增强的原因。
前文发现,通过截尾处理价格数据,IC提升到-3.40%,RankIC提升到-3.96%,ICIR提升到-2.37。然而从分组收益来看,结果低于预期。新算法没有显著提升“齐飞”因子多头的效果。去掉一些价格较低的数据确实使得各组数据单调性加强,主要是2/3/7/8等组收益更平滑了一些,带来了IC和ICIR的小幅提升。
我们将在下一篇报告对涨跌幅和换手的相关性指标再做介绍,展示截尾IC为何能显著提升抢跑者因子的选股能力。

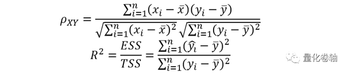
上一章中,我们通过对价格进行截尾处理,对“齐飞”因子进行了一定程度的增强。本章我们想讨论的是如果把相关性指标替换成R^2,会得到什么样的结果。
可以证明,在含截距项的一元线性回归中,R^2等于相关系数的平方(详见文末附注四)。在这一章中,我们只考察线性模型的拟合程度,忽略相关性的方向问题,或者说我们改变原始因子的分布,使得取值为负的因子反转至0右侧,见图表31。

用R^2代替相关系数ρ来计算因子后,我们发现因子的IC从-3.26%提升到-3.47%,年化ICIR从-2.04提升到-2.37,稳定性有所提高。从10分组收益来看,R^2单调性更佳。但改善仍主要集中在空头,并不是我们期待的多头。
总结来说,该方法导致我们将“齐飞”因子值为负的股票从最小的分组里取出,不均匀地分配到了其他各组上,空头上的选股能力得到进一步强化。
如果用作排雷,是一个不错的因子进化方向。

本报告基于历史数据进行回溯测试,不构成任何投资建议。市场未来投资者行为可能发生较大变化,因子面临失效的风险,本报告仅供参考。
附注一、第2章中图表4和5的统计方法
(1)统计时间段为2007/01/01 ~2018/07/31所有交易日数据
(2)在图表4和5中,我们首先对个股复权收盘价和自由流通换手率进行标准化,以去掉个股自身的异质性。
(3)在全部A股中,剔除涨停、跌停、ST和*ST、停牌、超低换手、上市不满180天的新股等异常股票。
(4)标准化股价的定义为当日股价减过去20个交易日的平均股价,再除以过去20个交易日股价的标准差

(5)标准化换手率的定义为当日换手率减过去20个交易日的平均换手率,再除以过去20个交易日换手率的标准差

(6)在对原始数据进行标准化操作后,我们对每只股票在时间序列上的换手率进行排序,从小到大分成1-10组,并计算该股票在每组的股价均值,再在横截面上对于所有股票进行相同操作,依次得到各个股票与每组对应的股价均值,最后对每一组内的股票在横截面上计算股价均值
(7)之所以在时间序列上对换手率和股价进行分组,是因为本文主要关注时间序列上的量价关系。我们也可以在横截面上对进行分组,或者将横截面和时间序列上的数据混合之后做分组。经统计,这三种方法最终得到的统计结果并无太大差别
二、第4章的收益测试
(1)在本章以及全文的后续回测中,时间段均为2007/01/01 ~2018/07/31,其中前两个月为参数提取和因子计算月,真实持仓日期为2007/03/01~2018/07/31,共计2782个交易日。
(2)手续费设为双边3‰,组合月度调仓,月末最后一天按收盘价卖出,月初第一天按开盘价买入。
(3)在全部A股中,剔除涨停、跌停、ST和*ST、停牌、超低换手、上市不满180天的新股等特殊股票。
(4)单因子测试中没有做组合优化和换手率控制。
三、第6章中图表22:量价双独立概率分布(自然)的统计方法
我们首先对每只股票在时间序列上的标准化价格和换手率从小到大各自等量分成1-5组:以价格分组的第1组为例,统计该股票在这些时点的标准化换手率分别落入换手率1-5组的概率,类似地,对每个价格分组重复进行换手率分组统计,可以得到该股票的5×5量价关系概率矩阵。重复上述操作,我们可以得到所有股票的5×5量价关系概率矩阵,再对概率矩阵中的每个格子在横截面上取均值,最终得到全A股自然概率分布。
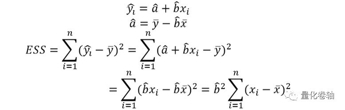
四、第8章中相关系数ρ和拟合优度R^2的关系

下面来分析ESS,根据回归方程和一元回归截距项估计量公式:

再代入一元回归中斜率的估计量公式:
经整理可得:
五、参考文献
[1] Ying, Charles C. . "Stock Market Prices and Volumes of Sales." Econometrica 34.3(1966):676-685.
[2] 李丽. "基于ARMA-GARCH模型的股市量价动态关系研究." 统计与决策 4(2011):144-146.
六、感谢
感谢实习生朱海菁对本文的贡献。
往期报告
基金:“聚沙成塔”创新产品系列
1、《FOF持仓测算:如何破解黑箱?》
2、《解读净值下跌99.96%的VIX基金》
3、《一张表读懂场内货基的计息规则》
4、《杠杆反向基金,意料之外的收益》
5、《战略配售基金:塞翁失马,焉知非福》
6、《7年涨14倍,一天下跌96%的XIV基金》
选股:“因子七十二变”因子挖掘系列
1、《A股“跳一跳”:隔夜跳空选股因子》
2、《超越反转:基于均线的乖离率选股因子》
其他
1、《规矩:方正单因子测试之评价体系》
2、《抢跑者的脚步声:基于价量互动的选股因子》
3、《世界杯上的动量与反转》
本报告作者
分析师: 韩振国 || 执业证书编号:S1220515040002
联系人:朱定豪(微信:1989162746 添加请注明“机构+姓名”)
研究报告
本文节选自方正金工研报《量价齐飞,水天一色:基于价量互动的选股因子2》,报告PDF版本欢迎向我索取
您有两种方式支持我们的研究:
1、佣金客户恳请派点上多多支持
2、非佣金客户恳请关注、转发
分析师声明
作者具有中国证券业协会授予的证券投资咨询执业资格,保证报告所采用的数据和信息均来自公开合规渠道,分析逻辑基于作者的职业理解,本报告清晰准确地反映了作者的研究观点,力求独立、客观和公正,结论不受任何第三方的授意或影响。研究报告对所涉及的证券或发行人的评价是分析师本人通过财务分析预测、数量化方法、或行业比较分析所得出的结论,但使用以上信息和分析方法存在局限性。特此声明。
免责声明
方正证券股份有限公司(以下简称“本公司”)具备证券投资咨询业务资格。本报告仅供本公司客户使用。本报告仅在相关法律许可的情况下发 放,并仅为提供信息而发放,概不构成任何广告。
本报告的信息来源于已公开的资料,本公司对该等信息的准确性、完整性或可靠性不作任何保证。本报告所载的资料、意见及推测仅反映本公司于发布本报告当日的判断。在不同时期,本公司可发出与本报告所载资料、意见及推测不一致的报告。本公司不保证本报告所含信息保持在最新状态。同时,本公司对本报告所含信息可在不发出通知的情形下做出修改,投资者应当自行关注相应的更新或修改。
在任何情况下,本报告中的信息或所表述的意见均不构成对任何人的投资建议。在任何情况下,本公司、本公司员工或者关联机构不承诺投资者一定获利,不与投资者分享投资收益,也不对任何人因使用本报告中的任何内容所引致的任何损失负任何责任。投资者务必注意,其据此做出的任何投资决策与本公司、本公司员工或者关联机构无关。
本公司利用信息隔离制度控制内部一个或多个领域、部门或关联机构之间的信息流动。因此,投资者应注意,在法律许可的情况下,本公司及其所属关联机构可能会持有报告中提到的公司所发行的证券或期权并进行证券或期权交易,也可能为这些公司提供或者争取提供投资银行、财务顾问或者金融产品等相关服务。在法律许可的情况下,本公司的董事、高级职员或员工可能担任本报告所提到的公司的董事。
市场有风险,投资需谨慎。投资者不应将本报告为作出投资决策的惟一参考因素,亦不应认为本报告可以取代自己的判断。
本报告版权仅为本公司所有,未经书面许可,任何机构和个人不得以任何形式翻版、复制、发表或引用。如征得本公司同意进行引用、刊发的,需在允许的范围内使用,并注明出处为“方正证券研究所”,且不得对本报告进行任何有悖原意的引用、删节和修改。
公司投资评级的说明:
强烈推荐:分析师预测未来半年公司股价有20%以上的涨幅;
推荐:分析师预测未来半年公司股价有10%以上的涨幅;
中性:分析师预测未来半年公司股价在-10%和10%之间波动;
减持:分析师预测未来半年公司股价有10%以上的跌幅。
行业投资评级的说明:
推荐:分析师预测未来半年行业表现强于沪深300指数;
中性:分析师预测未来半年行业表现与沪深300指数持平;
减持:分析师预测未来半年行业表现弱于沪深300指数。
北京 | 上海 | 深圳 | 长沙 | |
地址: | 北京市西城区阜外大街甲34号方正证券大厦8楼(100037) | 上海市浦东新区浦东南路360号新上海国际大厦36楼(200120) | 深圳市福田区深南大道4013号兴业银行大厦201(418000) | 长沙市芙蓉中路二段200号华侨国际大厦24楼(410015) |
网址: | http://www.foundersc.com | http://www.foundersc.com | http://www.foundersc.com | http://www.foundersc.com |
E-mail: | yjzx@foundersc.com | yjzx@foundersc.com | yjzx@foundersc.com | yjzx@foundersc.com |